CIFAR-10上做NAS,仅需单卡半天!华为提出基于进化算法和权值共享CARS模型

2020 年 3 月 5 日 AI科技评论

作者 | VincentLee

编辑 | 贾伟


CVPR 2020 已经公布录用结果,其中有效投稿 6656 篇,最终录用 1470 篇,接收率 22.1 % 。CVPR 2020 将于6月14日-6月19日在美国西雅图举办。 
虽然在近三年来,CVPR 的论文投稿量都在持续大涨(CVPR 2018有 3300 篇有效投稿、CVPR 2019有 5160 篇有效投稿、CVPR 2020有效投稿达6656),然而在接收率方面,已是“二连降”(CVPR 2018 收录论文 979 篇、接收率为 29%左右;CVPR 2019 收录论文 1300 篇,接收率为25%左右;CVPR 2020 收录论文 1470篇、接收率为 22%左右)。


本文转载自微信公众号:晓飞的算法工程笔记


今天要介绍的是华为在 CVPR 2020上被录用的文章《CARS: Continuous Evolution for Efficient Neural Architecture Search》。

论文地址:https://arxiv.org/abs/1909.04977


目前神经网络结构搜索的网络性能已经超越了人类设计的网络,搜索方法大致可以分为强化学习、进化算法以及梯度三种,有研究表明进化算法能比强化学习搜索到更好的模型,但其搜索耗时较多,主要在于对个体的训练验证环节费事。可以借鉴ENSA的权重共享策略进行验证加速,但如果直接应用于进化算法,超网会受到较差的搜索结构的影响,因此需要修改目前神经网络搜索算法中用到的进化算法。为了最大化上一次进化过程学习到的知识的价值,论文提出了连续进化结构搜索方法(continuous evolution architecture search, CARS)。

首先初始化一个有大量cells和blocks的超网(supernet),超网通过几个基准操作(交叉、变异等)产生进化算法中的个体(子网),使用Non-dominated 排序策略来选取几个不同大小和准确率的优秀模型,然后训练子网并更新子网对应的超网中的cells,在下一轮的进化过程会继续基于更新后的超网以及non-dominated排序的解集进行。另外,论文提出一个保护机制来避免小模型陷阱问题。


一、方法


论文使用基因算法(GA)来进行结构进化,GA能提供很大的搜索空间,对于结构集 为种群大小。在结构优化阶段,种群内的结构根据论文提出的pNSGA-III方法逐步更新。为了加速,使用一个超网 用来为不同的结构共享权重 ,能够极大地降低个体训练的计算量。

Supernet of CARS


从超网 中采样不同的网络,每个网络 可以表示为浮点参数集合 以及二值连接参数集合 ,其中0值表示网络不包含此连接,1值则表示使用该连接,即每个网络 可表示为 对。

完整的浮点参数集合 是在网络集合中共享,如果这些网络结构是固定的,最优的 可通过标准反向传播进行优化,优化的参数 适用于所有网络 以提高识别性能。在参数收敛后,通过基因算法优化二值连接 ,参数优化阶段和结构优化阶段是CARS的主要核心。

Parameter Optimization


参数 为网络中的所有参数,参数 为mask操作,只保留 对应位置的参数。对于输入 ,网络的结果为 -th个网络, 为其参数


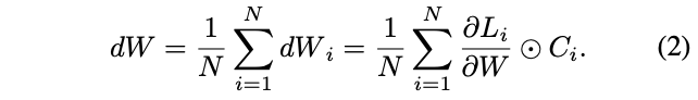
给定GT ,预测的损失为 ,则 的梯度计算如公式1。


由于参数 应该适用于所有个体,因此使用所有个体的梯度来计算 的梯度,计算如公式2,最终配合SGD进行更新,


由于已经得到大量带超网共享参数的结构,每次都集合所有网络梯度进行更新会相当耗时,可以借鉴SGD的思想进行min-batch更新。使用 个不同的网络进行参数更新,编号为 。计算如公式3,使用小批量网络来接近所有网络的梯度,能够极大地减少优化时间,做到效果和性能间的平衡。

Architecture Optimization


对于结构的优化过程,使用NSGA-III算法的non-dominated排序策略进行。标记 个不同的网络, 为希望优化的 个指标,一般这些指标都是有冲突的,例如参数量、浮点运算量、推理时延和准确率,导致同时优化这些指标会比较难。


首先定义支配(dominate)的概念,假设网络 的准确率大于等于网络 ,并且有一个其它指标优于网络 ,则称网络 支配网络 ,在进化过程网络 可被网络 代替。利用这个方法,可以在种群中挑选到一系列优秀的结构,然后使用这些网络来优化超网对应部分的参数。

尽管non-dominated排序能帮助选择的更好网络,但搜索过程仍可能会存在小模型陷阱现象。由于超网的参数仍在训练,所以当前轮次的模型不一定为其最优表现,如果存在一些参数少的小模型但有比较高的准确率,则会统治了整个搜索过程。因此,论文基于NSGA-III提出pNSGA-III,加入准确率提升速度作为考虑。


假设优化目标为模型参数和准确率,对于NSGA-III,会根据两个不同的指标进行non-dominated排序,然后根据帕累托图进行选择。而对于pNSGA-III,额外添加考虑准确率的增长速度的non-dominated排序,最后结合两种排序进行选择。这样,准确率增长较慢的大模型也能得到保留。如图2所示,pNSGA-III很明显保留的模型大小更广,且准确率与NSGA-III相当

Continuous Evolution for CARS



CARS算法的优化包含两个步骤,分别是网络结构优化和参数优化,另外,在初期也会使用参数warmup。

  • Parameter Warmup,由于超网的共享权重是随机初始化的,如果结构集合也是随机初始化,那么出现最多的block的训练次数会多于其它block。因此,使用均分抽样策略来初始化超网的参数,公平地覆盖所有可能的网络,每条路径都有平等地出现概率,每种层操作也是平等概率,在最初几轮使用这种策略来初始化超网的权重;
  • Architecture Optimization,在完成超网初始化后,随机采样 个不同的结构作为父代, 为超参数,后面pNSGA-III的筛选也使用。在进化过程中生成 个子代, 是用于控制子代数的超参,最后使用pNSGA-III从 中选取 个网络用于参数更新;
  • Parameter Optimization,给予网络结构合集,使用公式3进行小批量梯度更新。


Search Time Analysis


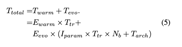
CARS搜索时,将数据集分为数据集和验证集,假设单个网络的训练耗时为 ,验证耗时 ,warmup共 周期,共需要 时间来初始化超网 的参数。假设进化共 轮,每轮参数优化阶段对超网训练 周期,所以每轮进化的参数优化耗时 为mini-batch大小。结构优化阶段,所有个体是并行的,所以搜索耗时为 。CARS的总耗时如公式5:



二、实验


实验设置


supernet Backbones 。超网主干基于DARTS的设置,DARTS搜索空间包含8个不同的操作,包含4种卷积、2种池化、skip连接和无连接,搜索normal cell和reduction cell,分别用于特征提取以及下采样,搜索结束后,根据预设将cell堆叠起来。
Evolution Details 。在DARTS中,每个中间节点与之前的两个节点连接,因此每个节点有其独立的搜索空间,而交叉和变异在搜索空间相对应的节点中进行,占总数的比例均为0.25,其余0.5为随机生成的新结构。对于交叉操作,每个节点有0.5的概率交叉其连接,而对于变异,每个节点有0.5的概率随机赋予新操作。

在CIFAR-10的实验


Small Model Trap


图3训练了3个不同大小的模型,在训练600轮后,模型的准确率与其大小相关,从前50轮的曲线可以看出小模型陷阱的原因:

1、小模型准确率上升速度较快

2、小模型准确率的波动较大

在前50轮模型C一直处于下风,若使用NSGA算法,模型C会直接去掉了,这是需要使用pNSGA-III的第一个原因。对于模型B和C,准确率增长类似,但由于训练导致准确率波动,一旦模型A的准确率高于B,B就会被去掉,这是需要使用pNSGA-III的第二个原因。

NSGA-III vs. pNSGA-III 。如图2所示,使用pNSGA-III能避免小模型陷阱,保留较大的有潜力的网络。

Search on CIFAR-10 。将CIFAR分为25000张训练图和25000张测试图,共搜索500轮,参数warmup共50轮,之后初始化包含128个不同网络的种群,然后使用pNSGA-III逐渐进化,参数优化阶段每轮进化训练10周期,结构优化阶段根据pNSGA-III使用测试集进行结构更新。

Search Time analysis 。对于考量模型大小和准确率的实验,训练时间 为1分钟,测试时间 为5秒,warmup阶段共50轮,大约耗费1小时。而连续进化算法共 轮,对于每轮结构优化阶段,并行测试时间为 ,对于每轮的参数优化阶段,设定 大约为10分钟, 大约为9小时,所以 为0.4 GPU day,考虑结构优化同时要计算时延,最终时间大约为0.5 GPU day。

Evaluate on CIFAR-10 。在完成CARS算法搜索后,保留128个不同的网络,进行更长时间的训练,然后测试准确率。


Comparison on Searched Block

CARS-H与DARTS参数相似,但准确率更高,CARS-H的reduction block包含更多的参数,而normal block包含更少的参数,大概由于EA有更大的搜索空间,而基因操作能更有效地跳出局部最优解,这是EA的优势。


在  ILSVRC2012 上进行评估



将在CIFAR-10上搜索到网络迁移到ILSVRC22012数据集,结果表明搜索到的结构具备迁移能力。


三、结论


为了优化进化算法在神经网络结构搜索时候选网络训练过长的问题,参考ENAS和NSGA-III,论文提出连续进化结构搜索方法(continuous evolution architecture search, CARS),最大化利用学习到的知识,如上一轮进化的结构和参数。首先构造用于参数共享的超网,从超网中产生子网,然后使用None-dominated排序策略来选择不同大小的优秀网络, 整体耗时仅需要0.5 GPU day。
‍‍


登录查看更多
0

相关内容

专知会员服务
109+阅读 · 2020年5月21日
深度解读:小米AI实验室AutoML团队最新成果FairNAS
PaperWeekly
32+阅读 · 2019年7月11日
干货 | 让算法解放算法工程师——NAS 综述
极市平台
16+阅读 · 2019年6月20日
重磅!MobileNetV3 来了!
计算机视觉life
4+阅读 · 2019年5月11日
人脸对齐之GBDT(ERT)算法解读
计算机视觉战队
7+阅读 · 2017年12月6日
Arxiv
7+阅读 · 2018年9月27日
Arxiv
3+阅读 · 2018年6月24日
Arxiv
11+阅读 · 2018年4月25日
Arxiv
17+阅读 · 2018年4月2日
Arxiv
15+阅读 · 2018年2月4日
VIP会员
相关论文
Arxiv
7+阅读 · 2018年9月27日
Arxiv
3+阅读 · 2018年6月24日
Arxiv
11+阅读 · 2018年4月25日
Arxiv
17+阅读 · 2018年4月2日
Arxiv
15+阅读 · 2018年2月4日
Top
微信扫码咨询专知VIP会员