ICLR 2022|让绝艺上桌打麻将,腾讯AI Lab全新策略优化算法战胜人类冠军

2022 年 4 月 27 日 机器之心

机器之心专栏

作者:腾讯AI Lab

「绝艺」又有了新成果:在1v1麻将(二人雀神)测试中战胜职业冠军选手。


对于 AI 领域的研究者和从业者来说,腾讯 AI Lab 研发的围棋 AI「绝艺」的名字并不陌生。自 2016 年面世后,它已四次夺得世界顶级赛事冠军,包括 UEC 杯、AI 龙星战、腾讯世界人工智能围棋大赛、世界智能围棋公开赛等,并自 2018 年起无偿担任中国国家围棋队训练专用 AI。

在围棋以外,腾讯 AI Lab 绝艺团队持续深入研究大规模二人零和博弈问题,从完美信息游戏(围棋)逐步拓展至非完美信息游戏(例如麻将)。

4 月 25 日,腾讯 AI Lab 宣布棋牌类 AI「绝艺」取得新突破,在 1v1 麻将(二人雀神)测试中战胜职业冠军选手。团队在大规模强化学习算法框架下提出了一个新的策略优化算法 Actor-Critic Hedge (ACH),部分解决了大规模深度强化学习自博弈收敛不到纳什均衡最优解的问题。该算法及对应二人麻将 benchmark 已通过论文开源,并被机器学习顶会 ICLR 2022 收录。


论文链接: https://openreview.net/pdf?id=DTXZqTNV5nW

非完美信息博弈广泛存在于日常生活的方方面面,如智慧交通、网络安全、金融分析等。腾讯 AI Lab 以麻将 AI 为切入点研究非完美信息博弈,其目标不仅限于打造世界级的国粹麻将 AI,更多的在于探索非完美信息博弈在游戏领域,以及其他广阔的社会生活领域的实际应用价值。

研究背景

棋牌游戏一直以来都是 AI 技术的优质试验场,例如,在围棋上就诞生了 AlphaGo、绝艺等标杆性的 AI。相比于围棋这类「完美信息」游戏,德州扑克,桥牌,麻将这类 “非完美信息” 游戏存在着大量的隐藏信息,例如,玩家无法直接知道对手的手牌,这给游戏带来了更高的不确定性,对 AI 的博弈能力提出更高要求。


具体而言,在完美信息游戏中,始终存在确定性的最优解,即任何状态下都存在一个固定的最优动作。然而在非完美信息游戏中,最优策略往往是随机化的。例如,在二人石头 - 剪刀 - 布游戏中,最优策略(纳什均衡策略)不在是某一个固定的动作,而是关于每个动作的一个概率分布:等概率出石头,剪刀,和布。

二人石头 - 剪刀 - 布

近年来,反事实遗憾值最小化算法(CFR)在德州扑克游戏 AI 上取得了一些列突破性进展,例如 DeepStack(2017 Science 杂志),Libratus(冷扑大师,2017 Science 杂志),和 Pluribus(2019 Science 杂志)。CFR 具有收敛到纳什均衡解的理论保证。然而,由于 CFR 是一种基于表格的算法,并且需要对游戏树做全遍历,CFR 在德州扑克游戏上的应用需要大量的领域知识来对游戏树做剪枝。虽然后续有一些工作尝试将深度学习和 CFR 做结合,但目前还没有看到 CFR 在其他大规模非完美信息游戏上的成功应用。

另一方面,由于深度强化学习高效的可扩展性,深度强化学习结合自博弈广泛用于大规模非完美信息游戏中求解高强度 AI,例如星际 2,Dota2,和王者荣耀。

然而,基于深度强化学习的大部分 AI 的鲁棒性有待提高,集中表现为 AI 容易被针对,最坏情况下的性能没有保证。这些问题的根本原因在于深度强化学习结合自博弈缺乏收敛到纳什均衡解的理论保证。例如下图所示,在一个简单的二人石头 - 剪刀 - 布游戏中,自博弈 Proximal Policy Optimization 无法收敛到(红线为收敛过程)纳什均衡解(蓝点)。
  


方法简介

腾讯 AI Lab 的研究结合经典反事实遗憾值最小化算法 CFR 的思想,在大规模强化学习算法框架下提出了一个新的策略优化算法 Actor-Critic Hedge (ACH)。该算法一方面具备深度强化学习方法的可扩展性,一方面在某些条件下具备收敛到纳什均衡解的理论保证。

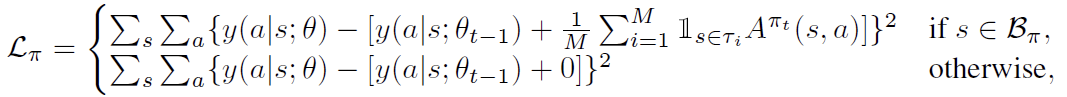
具体来说,我们修改传统深度强化学习策略网络的损失函数:从最大化累计奖励到拟合累计采样 advantage:


累计采样 advantage 与 CFR 中的累计遗憾值存在一定的等价关系。另外,可以证明,相比过去基于采样 regret 的方法,采样 advantage 有更小的 variance:


更小的 variance 在基于神经网络的方法中意味着更稳定的效果。

ACH 具体算法流程如下:


在该工作中,我们引入了一类新的 CFR 算法:Weighted CFR。Weighted CFR 有如下定义:


算法 ACH 可以看作是一类基于神经网络的 Weighted CFR 算法的一个高效实现。我们证明了 Weighted CFR 的算法收敛性,进而近似证明了 ACH 的算法收敛性:


另外,针对 1v1 麻将的具体神经网络设计如下:


实验结果

在对比主流方法的基础上,该算法的优越性在 1v1 麻将(战胜职业冠军)和 1v1 德州扑克上均得到了验证。

二人麻将:「二人雀神」

1v1 麻将(二人雀神)测试中,「绝艺」与世界冠军职业选手对战 1000 回合,平均赢番 0.82 (标准差 0.96,单边 t 检验的 p value 为 0.19)

1v1 麻将环境,主流算法性能对比

1v1 简单德扑环境,各种经典反事实遗憾值最小化算法扩展的对比


© THE END 

转载请联系本公众号获得授权

投稿或寻求报道:content@jiqizhixin.com

登录查看更多
0

相关内容

腾讯AI Lab(Tencent AI Lab),即腾讯人工智能实验室,实验室的愿景是打造腾讯全面AI竞争力,让人工智能未来无处不在(Make AI Everywhere)。
专知会员服务
26+阅读 · 2021年7月13日
专知会员服务
26+阅读 · 2021年6月25日
这款产品发布之后,每款游戏都能有高智商的AI
历史最高分!腾讯「绝悟」AI 斩获 NeurIPS MineRL 竞赛冠军
AI打王者、星际争霸……你还不懂背后技术?这有一份游戏AI综述
中国科学院自动化研究所
2+阅读 · 2021年12月2日
兴军亮Science评述:多人德州扑克博弈新突破
中国科学院自动化研究所
19+阅读 · 2019年7月15日
国家自然科学基金
3+阅读 · 2015年12月31日
国家自然科学基金
0+阅读 · 2014年12月31日
国家自然科学基金
2+阅读 · 2013年12月31日
国家自然科学基金
1+阅读 · 2012年12月31日
国家自然科学基金
0+阅读 · 2012年12月31日
国家自然科学基金
0+阅读 · 2012年12月31日
国家自然科学基金
0+阅读 · 2012年12月31日
Arxiv
0+阅读 · 2022年6月19日
A Multi-Objective Deep Reinforcement Learning Framework
VIP会员
相关基金
国家自然科学基金
3+阅读 · 2015年12月31日
国家自然科学基金
0+阅读 · 2014年12月31日
国家自然科学基金
2+阅读 · 2013年12月31日
国家自然科学基金
1+阅读 · 2012年12月31日
国家自然科学基金
0+阅读 · 2012年12月31日
国家自然科学基金
0+阅读 · 2012年12月31日
国家自然科学基金
0+阅读 · 2012年12月31日
Top
微信扫码咨询专知VIP会员