自注意力机制和全连接的图卷积网络(GCN)有什么区别联系?

2020 年 7 月 11 日 极市平台

加入极市专业CV交流群,与 10000+来自港科大、北大、清华、中科院、CMU、腾讯、百度 等名校名企视觉开发者互动交流!

同时提供每月大咖直播分享、真实项目需求对接、干货资讯汇总,行业技术交流。关注 极市平台 公众号 ,回复 加群,立刻申请入群~

本文整理自知乎问答,仅用于学术分享,著作权归作者所有。 如有侵权,请联系后台作删文处理。

观点一

作者|Guohao Li

https://www.zhihu.com/question/366088445/answer/1023290162

来说一下自己的理解。
首先结论是大部分GCN和Self-attention都属于Message Passing(消息传递)。GCN中的Message从节点的邻居节点传播来,Self-attention的Message从Query的Key-Value传播来。

Message Passing[4]
先看看什么是Message Passing。我们知道在实现和设计GCN的时候很多时候都是采用Message Passing的框架[3],其思想是把每个节点的领域的特征信息传递到节点上。在这里举例描述一个节点i在第k层GCN卷积的过程:
1)把节点i的每一个邻居j与该节点的特征经过函数变换后形成一条Message(对应公示里函数\phi里面的操作);
2)经过一个Permutation Invariant(置换不变性)函数把该节点领域的所有Message聚合在一起(对应函数\square);
3)再经过函数\gamma把聚合的领域信息和节点特征做一次函数变化,得到该节点在第k层图卷积后的特征X_i。
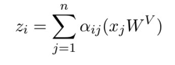
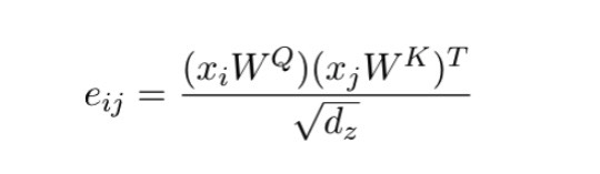
那么Self-attention是否也落在Message Passing的框架内呢?我们先回顾一下Self-attention一般是怎么计算的[2],这里举例一个Query i的经过attention的计算过程:
1】Query i的特征x_i会和每一个Key j的特征计算一个相似度e_ij;
2】得到Query i与所有Key的相似度后经过SoftMax得到Attention coefficient(注意力系数)\alpha_ij;
3】通过Attention coefficient加权Value j计算出Query i最后的输出z_j。
好了,那么我们来看看它们之间的对应关系。首先结论是Self-attention计算中的1】2】3】是对应Message Passing里的1)2)的。
如果用Message Passing来实现Self-attention,那么我们可以这么一一对应:
-1 每个Key-Value j可以看作是Query i的邻居;
-2 相似度和注意力系数的计算和最后3】中Value j与注意力系数相乘的操作可以对应为Message Passing中第一步构成Message的过程;
-3 最后Self-attention的求和运算对应Message Passing中第二步的Permutation Invariant函数,也就是说这里聚合领域信息的过程是通过Query对Key-Value聚合而来。
那么也就是说,Attention的过程是把每一个Query和所有Key相连得到一个Complete Bipartite Graph(左边是Query右边的Key-Value),然后在这图上去对所有Query节点做Message Passing。当然Query和Key-Value一样的Self-attention就是在一般的Complete Graph上做Message Passing了。

Complete Bipartite Graph
看到这里大家可能疑问那么为什么Self attention里面没有了Message Passing中第三步把聚合的信息和节点信息经过\gamma函数做变换的过程呢。是的,如果没有了这一步很可能学习过程中Query的原来特征会丢失,其实这一步在Attention is all your need[1]里还是有的,不信你看:

在每一次经过Self-Attention之后基本上都是有Skip connection+MLP的,这里某种程度上对应了Message Passing里的\gamma函数不是吗?
那么说白了GCN和Self-attention都落在Message Passing(消息传递)框架里。GCN中的Message从节点的邻居节点传播来,Self-attention的Message从Query的Key-Value传播来。如果称所有的Message Passing函数都是GCN的话,那么Self-attention也就是GCN作用Query和Key-Value所构成Complete Garph上的一种特例。也正如乃岩 @Naiyan Wang的回答一样。
可以说NLP中GCN应该大有可为,毕竟Self-attention可以看出是GCN一种,那么肯定存在比Self-attention表达能力更强和适用范围更广的GCN。
感谢评论里  @叶子豪的补充,DGL团队写了个很详尽的用Message Passing实现Transformer的教程。对具体实现感兴趣的同学可以去读一下:DGL Transformer Tutorial。
Reference:
1. Attention is All You Need
2. Self-Attention with Relative Position Representations
3. Pytorch Geometric
4. DeepGCNs for Representation Learning on Graphs

观点二

作者|Houye

https://www.zhihu.com/question/366088445/answer/1022692208

来说一下自己的理解。
GAT中的Attention就是self-attention,作者在论文中已经说了



下面说说个人理解:
GNN,包括GCN,是一种聚合邻居信息来更新节点表示的神经网络模型。下图取自GraphSAGE,感觉比较好的说明了聚合过程。这里我们只关注图2:红色的点u是我们最终需要关注的点,3个蓝色的点{v1,v2,v3}是红色点的一阶邻居。每次更新在红色节点表示的时候,GNN都会收集3个蓝色点的信息并将其聚合,然后通过神经网络来更新红色节点的表示。这里神经网络可以是一个mean-pooling,也是对邻居进行平均,这时候 v1,v2,v3的权重都是1/3。



那这里就有问题了,3个蓝色的点都是邻居,直观的想,不同邻居对于红色的点的重要性是不同的。那么,在GNN聚合邻居的时候能不能考虑到邻居的重要性来加权聚合呢(比如,0.8v1+0.19v2+0.01v3)?手动加权肯定是不实际的。虽然加权感觉好一些,但是不加权也是可以做GNN的,在有些数据集上,不加权的效果甚至更好。
个人感觉在深度学习领域,“加权=attention”。我们这里可以设计一种attention机制来实现对邻居的加权。这里的权重可以理解为边的权重,是针对于一对节点来说的(比如u和v1).
那这里为啥是self-attention,因为GNN在聚合的时候会把自身也当做邻居。也就是说,上图中u的邻居集合实际是{u,v1,v2,v3}。这是很自然的,邻居的信息只能算是补充信息,节点自身的信息才是最重要的。
现在问题转化成了:给定{u,v1,v2,v3}作为输入,如何将u更好的表示出来?这个就很像NLP里面的self-attention了,见下图(引自川陀学者:Attention机制详解(二)——Self-Attention与Transformer)



最后总结一下:GCN和self-attention甚至attention都没有必然联系。对邻居加权来学习更好的节点表示是一个可选项。

推荐阅读



添加极市小助手微信(ID : cv-mart),备注:研究方向-姓名-学校/公司-城市(如:目标检测-小极-北大-深圳),即可申请加入极市技术交流群,更有每月大咖直播分享、真实项目需求对接、求职内推、算法竞赛、干货资讯汇总、行业技术交流一起来让思想之光照的更远吧~


△长按添加极市小助手


△长按关注极市平台,获取最新CV干货


觉得有用麻烦给个在看啦~  

登录查看更多
9

相关内容

系列教程GNN-algorithms之六:《多核卷积拓扑图—TAGCN》
专知会员服务
50+阅读 · 2020年8月8日
GCN如何并行化?分布式图卷积神经网路,13页pdf
专知会员服务
35+阅读 · 2020年7月20日
专知会员服务
43+阅读 · 2020年7月7日
【CVPR2020】图神经网络中的几何原理连接
专知会员服务
57+阅读 · 2020年4月8日
【ICLR2020-哥伦比亚大学】多关系图神经网络CompGCN
专知会员服务
50+阅读 · 2020年4月2日
图神经网络三剑客:GCN、GAT与GraphSAGE
PaperWeekly
65+阅读 · 2020年2月27日
一文读懂图卷积GCN
计算机视觉life
21+阅读 · 2019年12月21日
【论文笔记】自注意力图池化
专知
82+阅读 · 2019年11月18日
GraphSAGE:我寻思GCN也没我牛逼
极市平台
12+阅读 · 2019年8月12日
图卷积网络介绍及进展【附PPT与视频资料】
人工智能前沿讲习班
24+阅读 · 2019年1月3日
自注意力机制在计算机视觉中的应用
GAN生成式对抗网络
19+阅读 · 2018年12月20日
什么是深度学习的卷积?
论智
18+阅读 · 2018年8月14日
基于注意力机制的图卷积网络
科技创新与创业
74+阅读 · 2017年11月8日
Self-Attention Graph Pooling
Arxiv
5+阅读 · 2019年4月17日
Arxiv
6+阅读 · 2019年4月8日
Arxiv
16+阅读 · 2019年4月4日
Arxiv
24+阅读 · 2018年10月24日
Arxiv
10+阅读 · 2018年2月4日
VIP会员
相关VIP内容
相关资讯
图神经网络三剑客:GCN、GAT与GraphSAGE
PaperWeekly
65+阅读 · 2020年2月27日
一文读懂图卷积GCN
计算机视觉life
21+阅读 · 2019年12月21日
【论文笔记】自注意力图池化
专知
82+阅读 · 2019年11月18日
GraphSAGE:我寻思GCN也没我牛逼
极市平台
12+阅读 · 2019年8月12日
图卷积网络介绍及进展【附PPT与视频资料】
人工智能前沿讲习班
24+阅读 · 2019年1月3日
自注意力机制在计算机视觉中的应用
GAN生成式对抗网络
19+阅读 · 2018年12月20日
什么是深度学习的卷积?
论智
18+阅读 · 2018年8月14日
基于注意力机制的图卷积网络
科技创新与创业
74+阅读 · 2017年11月8日
相关论文
Self-Attention Graph Pooling
Arxiv
5+阅读 · 2019年4月17日
Arxiv
6+阅读 · 2019年4月8日
Arxiv
16+阅读 · 2019年4月4日
Arxiv
24+阅读 · 2018年10月24日
Arxiv
10+阅读 · 2018年2月4日
Top
微信扫码咨询专知VIP会员