CVPR2020 | 基于点的3D单阶段对象检测器3DSSD

2020 年 8 月 20 日 学术头条


论文原文:3DSSD: Point-based 3D Single Stage Object Detector
论文地址:https://www.aminer.cn/pub/5e54f1813a55acae32a25f25
作者:Zetong Yang,Yanan Sun,Shu Liu,Jiaya Jia
发表会议:CVPR 2020
 

基于体素的 3D 单阶段检测器的普及率与未开发的基于点的方法形成对比。在本文中,作者提出了一种轻量级的基于点的 3D 阶段目标检测器 3DSSD,以实现准确性和效率的良好平衡。在这种范例中,所有现有的基于点的方法中必不可少的上采样层和优化阶段都将被放弃。相反,在下采样过程中提出一种融合采样策略,以使在代表性较小的点上进行检测变得可行。本文为了满足高精度和高速度的要求,开发了一种精细的框预测网络,其中包括候选生成层和具有 3D 中心度分配策略的无锚回归头。3DSSD 范例是一种优雅的单阶段免锚模式,在广泛使用的 KITTI 数据集和更具挑战性的 nuScenes 数据集上对其进行评估,本文的方法大大优于所有基于体素的单阶段方法,甚至可以产生与两阶段基于点的方法相当的性能,推理速度高达 25+ FPS,比以前的最先进的基于点的方法快 2 倍。
 

论文背景

3D 画面理解对于包括自动驾驶和增强现实在内的许多应用都起到了促进,本文聚焦于 3D 的目标检测,即预测点云表示的3D目标的边缘框及其类别标签。

2D 的目标检测已经有了很大突破,但无法直接将其方法应用到 3D 的场景中。与 2D 的图片相比,点云更加稀疏无序,而且对于局部特征十分敏感,这使得我们很难使用 CNN 进行学习,因此 3D 的目标检测的主要问题就是如何利用点云数据。

已有的一些方法如将点云转化为图片、将点云分割为等分布的体素,本文将其称为基于体素的方法,这些方法都是将点云转化为 2D 的目标检测算法可以应用的形式,虽然这些方法直接且有效,但在转化过程中仍然存在着信息损失,这影响了其表现的进一步提升。

还有一些基于点的方法直接将点云作为输入,然后对每一个点进行边界框的预测。其中又分为两个阶段,第一个阶段设置一些集合提取层(SA)用于降采样以及抽取上下文特征,另一个阶段则是使用特征传播层(FP)来进行上采样以及传播点在降采样中丢失的特征。一种 3D 的区域建议网络(RPN)可以为每个点生成建议,从而在第二阶段给出最终的预测结果。这些方法取得了更好的效果,但做 inference 需要更长的时间。其中 FP 的第二阶段耗费了一半的 inference 时间,目前 SA 中的采样策略是基于 3D 欧氏距离的最远点采样(D-FPS),这意味着先前仅有少数内部点的样本或许会在采样后被丢失,从而导致它们无法被检测到。

在 STD 中,如果不使用上采样而仅使用降采样后被保留下来的点做检测,模型的效果将会下降 9%,这就是 FP 必须要用来做上采样的原因。为解决这一问题,本文首先提出了一种基于特征距离的采样策略 F-FPS,并进一步的将 F-FPS 与 D-FPS 进行混合。

为了更好地探索在 SA 之后被保留下来的有代表性的点,本文提出了一个边框预测网络,包括一个候选生成层(CG)、一个无锚回归头和一个 3D 中心分配策略。在 CG 中,首先用 F-FPS 中有代表性的点生成候选点,这一过程收到这些点以及共现例子中的中心点的相对位置的约束。接下来将这些候选点作为中心,从 F-FPS 和 D-FPS 有代表性的点中选取其周围的点,将其特征通过多层感知网络(MLP),这些特征最终被输入到无锚回归头中来预测 3D 边框。本文还设计了一个 3D 中心分配策略,给候选点中更靠近样本中心的点更高的得分。


本文在 KITTI 和 nuScenes 两个数据及上进行了实验,实验结果表明本文提出的方法优于所有基于体素的单阶段方法,在更快的 inference 的基础上与两阶段基于点的方法也具有一定可比性。
 
本文的主要贡献如下:
1. 提出了一个轻量而高效的基于点的单阶段 3D 目标检测器 3DSSD,抛弃了需要大量计算的 FP,这与已有的基于点的方法都不同。
2. 提出了一个混合的采样策略,可以保留先前仅有少数内部点的样本。
3. 设计了一个高效的边框预测网络,实验表明该框架由于所有的单阶段方法,在更快的 inference 的基础上表现出与两阶段方法有可比性的效果。


论文模型


融合采样


3D 目标检测有基于点和基于体素两种框架,前者更加耗时,由候选生成与预测细化两个阶段组成。


在第一个阶段,SA 用于降采样以获得更高的效率以及扩大感受野,FP 用来为降采样过程中丢掉的点传播特征。在第二阶段,一个优化模块最优化 RPN 的结果以获得更准确的预测。SA 对于提取点的特征是必需的。但 FP 和优化模块会限制效率。



首先最容易想到的是直接用 SA 的采样点进行预测,但如果用 D-FPS 的采样方法会使得采样点中有很多背景点,这是由于 D-FPS 是在欧式空间中进行最远点采样,并不会考虑到该点的任何属性特征,从而极大的降低预测效果。



因此本文引入了 F-FPS,以达到保留更多前景点信息的目的,同时为了防止保留很多同一个目标的点导致精度下降,作者将 F-FPS 与 D-FPS 相结合,同时考虑欧式空间和特征空间的采样信息,通过 F-FPS 和 D-FPS 各选择一半的点的方法以保证分类的效果。
 
边框预测网络


已有的工作是在得到每个点的特征后接三层 SA 分别用于中心点选择、周围点特征的提取以及生成语义信息。本文为进一步降低计算成本,候选中心点的生成是直接在 F-FPS 采样后进行的。F-FPS 采样的点由于比 D-FPS 的点更加可能是前景点,所以候选点仅仅只是在 F-FPS 的点上生成。接着作者将这些候选中心点当作候选生成层的中心点。最后根据候选中心点领域选择从 F-FPS 和 D-FPS 中采样得到的代表点进行局部特征提取,采用 MLP 进行特征提取。



在 3D 目标检测中,需要在场景中每隔一段距离就设置一个锚,这些锚有几个不同的朝向,所以每增加一个类别需要线性的增加锚,为了降低计算量,本文的回归头是无锚的。由于没有每个点的先验方位,在方位角回归中采用分类和回归公式的混合表达式。

在训练过程中,需要一种分配策略来为每个候选点打标签。在 2D 但阶段检测中,IoU 阈值或 mask 可以用于标签分配。在 3DLIDAR 数据上,由于点云数据都在物体的表面,因此他们的中心性非常接近的,这会导致不太可能从这些点得到好的预测。因此之前生成候选点的时候要选取采样后再朝中心靠近的点而不是直接用原始采样点。

本文通过两步定义候选点的中心标签:
1.  确定该点是否在一个目标中;
2. 计算该点到这个目标六面体上下左右表面的距离,再通过以下公式得到 l_ctrness:



损失函数

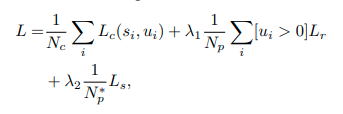
全部损失函数分为分类损失、回归损失和偏移损失(这个是指从采样代表点到候选点得到时的损失函数)。



其中 N_c 为候选点的个数,N_p 为勾选点中前景点的个数,N_P^* 表示 F-FPS 采样得到的候选点。分类损失采用的是交叉熵函数,s_i, u_i 分别表示预测得分和中心性分数。回归损失包括距离回归、大小回归、角度回归和角点回归。
 
论文实验


本文实验使用了 mix-up、随机旋转平移、x 轴尺度变化、z 轴旋转四种数据增强方法。在 KITTI 和 nuScenes 两个数据集上进行了实验。



为验证各模快的有效性,本文还进行了消融实验。



值得注意的是,本文的方法甚至可以与基于体素的单阶段方法保持相似的 inference 速度。在所有现有方法中,本文的方法仅比 PointPillars 慢,而 PointPillars 已通过多种实现优化策略(例如 TensorRT)进行了增强,但是在本文的实现中尚未使用。本文的方法仍有很大的潜力可以进一步加速。
 

结论

本文首次提出了一种轻量级且高效的基于点的 3D 单阶段目标检测框架,并引入了一种新颖的融合采样策略,以删除费时的 FP 和优化模块。在预测网络中,候选生成层利用降采样的代表点进一步降低计算成本。本文提出的带有 3D 中心标签的无锚回归头提高了最终性能。所有这些有效的设计使本文的模型在性能和 inference 时间方面都表现更加出色。




点击 阅读原文 ,查看更多精彩!
喜欢本篇内容,请 分享、点赞、在看
登录查看更多
0

相关内容

专知会员服务
13+阅读 · 2020年9月19日
3D目标检测进展综述
专知会员服务
193+阅读 · 2020年4月24日
CVPR2020 | 商汤-港中文等提出PV-RCNN:3D目标检测新网络
专知会员服务
45+阅读 · 2020年4月17日
ICCV 2019 | 精确的端到端的弱监督目标检测网络
AI科技评论
11+阅读 · 2019年12月9日
Mesh R-CNN
Arxiv
4+阅读 · 2019年6月6日
3D Face Modeling from Diverse Raw Scan Data
Arxiv
5+阅读 · 2019年2月13日
Arxiv
12+阅读 · 2019年1月24日
VIP会员
相关VIP内容
专知会员服务
13+阅读 · 2020年9月19日
3D目标检测进展综述
专知会员服务
193+阅读 · 2020年4月24日
CVPR2020 | 商汤-港中文等提出PV-RCNN:3D目标检测新网络
专知会员服务
45+阅读 · 2020年4月17日
相关论文
Mesh R-CNN
Arxiv
4+阅读 · 2019年6月6日
3D Face Modeling from Diverse Raw Scan Data
Arxiv
5+阅读 · 2019年2月13日
Arxiv
12+阅读 · 2019年1月24日
Top
微信扫码咨询专知VIP会员