【干货】神经机器翻译全流程解析,one-shot 和 zero-shot 学习成亮点

2017 年 4 月 2 日 新智元

  新智元编译  

来源:微信AI  授权转载

作者:白明

【新智元导读】从统计机器翻译到神经机器翻译,以及谷歌采用的最先进的 one-shot 和zero-shot 的方式,作者阐述了机器翻译这个特定任务的全流程,并提出思考: NMT 是否可以扩展到如基因序列、社交网络等其他基于建立联系的任务上?



曾经有人好奇,是否自然地认为翻译问题应该是一种密码学问题。被誉为机器翻译之父的Warren Weaver,曾说过:“This is really written in English, but it has been coded in some strange symbols. I will now proceed to decode. ”。希望计算机能够应付翻译问题,理论基础之一是 McCulloch 和 Pitts 于 1943 年证明的定理。定理说明,用某种形式的再生回路构建的机器程序,能够从有限的前提中推断出任何合法的结论。


神经机器翻译(NMT)是近些年基于纯的神经网络(NN)提出的一种机器翻译框架。首先参考文献 [Cho et al., 2014 Sutskever et al.,2014;  Kalchbrenner and Blunsom, 2013] 等,解释最基本的  encoder-decoder 模型。在 2015 年 Bahdanau et al. 把 attention 机制集成到基本的 encoder-decoder 模型中,当时在很多语言(en-fr, en-de, en-tr, en-zh)上得到 state-of-the-art 的机器翻译结果 [Gulcehre et al.,2015Jean et al., 2015]。同时,上述机器翻译的技术框架也成功应用到图像和视频描述产生上 [Xu et al., 2015Li et al., 2015]。



1. 统计机器翻译



首先简述一下基础知识,如果让机器把 A 语言的文本翻译成 B 语言的话,那么称 A 语言为源语言,B 语言为目标语言。不失一般性,本文都以句子翻译为例。机器翻译发展了 20 多年,有多种技术框架,例如:让即懂源语言又懂目标语言的人给出一些规则,显然这不是一种好方法,因为总结出一种语言的通用规则都不是易事。随后,用统计方法尝试从大量语料中显示地或隐式地“提取”这些规则。这些统计方法被统称为统计机器翻译。


简单来说,统计机器翻译就是找一个函数,把源语言映射到目标语言,如下图所示:



机器翻译的重要特性之一是目标函数,不是机器学习的常用应用中的一对一或多对一(例如分类是多对一),而是一对多,即源语言一句可能有目标语言正确的多句对应。所以,我们用条件概率  而不是确定的函数来建模,其中x为源语言,y为目标语言。统计机器翻译系统的第一件重要的事情是获取可用的双语语料,记  和  表示有 n 对样本,样本集合记为 D 。( 对于想自己捣腾一下的可在 Workshop on Statistical Machine Translation 或 International Workshop on Spoken Language Translation上找到数据)。


有了训练数据之后,怎么评价模型的好坏呢?最直观的想法是把每个样本在模型上的 log-likelihood 进行平均来量化。样本的 log-likelihood 是反应模型认为样本的 log-probability(记为)一种方法,其中  是模型参数。于是评价函数如下:


            


如果 log-likelihood 较小,说明当前模型对正确结果给出的概率较小。所以我们希望找到更好的能最大化 log-likelihood,即大家熟悉的MLE。


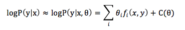
在20多年前,IBM Watson 研究中心采用 log-linear 模型的方法,建模条件概率 [Brown et al., 1993]。此类方法用一些特征的线性组合近似,如下式所示:


   

其中,C 是正则化常量。从而一批论文的贡献集中在寻找好的特征函数,值得一提的是 [Koehn, 2009] 著了一本很好的书。


在统计机器翻译框架下,机器学习主要是为了平衡不同的特征来找到一组参数,或者 re-rank 模型的候选 [Schwenk, 2007]。当前,深度学习已经用作特征函数的一部分或者用作 re-rank 其中 n-best 的候选,如下图所示  [Bahadanau et al., 2015] :




2. 神经机器翻译(NMT)



近些年,NMT 不再依赖预先设计的特征函数。然而,NMT 的目标是设计一个能通过语料可训练的模型(记为 M )。它始于源语言的表达,终于目标语言的表达。


虽然,以 word 作为最小单元,对于自然语言来说可能不够客观,但是,对于基本原理解释,却不失一般性地,用字典中的 index 表示一句话中的每个 word 。设 为源语言序列,为目标语言序列。下面主要讨论建立一个 NN 来近似条件概率 


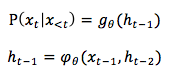
对于NLP的任务有个特点,输入和输出的序列长度 T 或 T’ 都不是固定的。目前大多数算法用 RNN 来解决此问题。广泛使用的前馈 NN ,例如 CNN ,不能保持内部状态,因为当一个 sample 进入前馈 NN 后,网络内部状态或隐层单元的激活都从头计算,不受先前 sample 计算的状态影响。然而,RNN 保留了 word 序列输入的内部状态。假设在 t 步,RNN 依赖之前的积累 计算当前输出向量和内部状态,可简单认为,它体现了之前所有信息,公式如下:

                        

                        


  [Pascanu et al.,2014] 阐述了几种 RNN 类型,框架如下图:




其中 RNN 中的激活函数通常采用变量敏感的非线性函数,以起到仿射变换的目的。


其实,在创新此公式 :上还有很多可做的,前人工作中著名的有 LSTM [Hochreiter and Schmidhuber, 1997]、GRU [Cho et al., 2014]等:


言归正传,用上述 RNN 建模机器翻译中的序列概率问题,需要把问题转成 recurrent 形式:


所以 t 时刻的 RNN 模型可表示如下:

                  

                          

输出基于截止到 t-1 步内的历史的概率分布,即 RNN 在每一步都基于历史预测下一个 word 。



3. 机器翻译的 encoder-decoder 框架



试想一下,我们大脑是怎样把 “ I love you ” 翻译成”我爱你“的呢?一种思路是,翻译过程包括2个过程:一个 encoder 和一个 decoder ,前者把一序列的 words 转换成一系列的神经激活,后者从激活中得到目标语言的序列。在 2013 年 Kalchbrenner and Blunsom 在 Oxford 开始采用此框架,随后著名的工作有 Sutskever et al., 2014Cho et al., 2014Bahdanau et al., 2015 等。此框架本身不对 encoder 和 decoder 的模型做任何限制,只是大多数论文都用 RNN 表示。下图是一个 NMT 的总体框图:



首先,encoder 过程按照 Fig. 4 中可分为 3 步:


1. 把一个 word 表示为 one-hot 向量;


2. one-hot 向量转化成连续空间表达(例如,word2vec);


3. 由 RNN 网络 summarize 成一个序列;


句子中,每个 word 表示成 one-hot 向量或 1-of-K 编码向量,这种表达让 words 之间失去 relation 信息,是一种最简单的表示。encoder 通过矩阵 E 把每个 word 线性映射成一个连续向量,此向量中的每个元素,通过最大化翻译模型目标来更新。把一序列的 words 转换成一序列的连续向量 ,输入到 RNN 中,利用 RNN 能 summarize 序列的能力(长时记忆),使得内部状态能表示完整一句的 summary 信息。 


为了衡量此 summary 信息到底长啥样,Sutskever et al. 2014做了个实验,通过 PCA 把多维向量映射成 2 维空间上,从而在下图能粗略地观察到原始空间中 summary 向量的相互“距离”。



图中我们可以看到 ,相似句子“距离”更近 ,上述 summary 向量一定程度保留了句子的语义(semantics)和句法结构(syntax)信息(请参见http://talks.cam.ac.uk/talk/index/58498)。


然后,decoder 按照 Fig. 4中可分为3步:


1. 计算内部状态向量 


2. 计算下一 word 的概率;


3. 采样下一个 word ;

源语言句子的 summary 向量、前一时刻预测出的词  和前一时刻的内部状态按如下公式计算出 

                    

                       

待 计算完成后,我们能计算出,当前时刻每个候选词的概率分布(总和为1,通常用 softmax [Bridle, 1990] 表示),思想是评价正在翻译的词后面最可能出现的下一个词,下面是方法之一:


                               

当目标 word 向量和中间状态的维度相似(假设接近平行),那么,上述第一项的点乘的结果就大,反之就小(假设接近垂直)。知道点乘含义,是一个向量,向另一向量的投影的长度,就不难理解了。所以,公式所描述的机制给出高分的话,就需要目标 word 向量与解码器中间状态排列很好。得分有了之后,就可以把得分转换成合适的概率:


           


有了目标 word 的概率分布之后,就可以用多项式分布采样的方法选择一个 word 。


假设选择了第 i 个 word ,那么就又回到上述计算这步了,依次循环上述 3 步,直到选择了 <eos> 这个 word 。



4. 最大似然估计



经过上述过程,一个 NMT 模型有了。可是怎么训练它呢?和大多数机器学习模型一样,有多种方法训练。下面,我们只介绍在 encoder-decoder 框架下的最 log-likelihood 的基本方法。


首先,准备好平行训练语料,每个句子中的 word 用整数索引值代替,相当于 one-shot 向量。

 

然后,左乘矩阵(矩阵例如可用 word2vec 表示),得到矩阵的第 i 列( one-hot 中第 i 个元素是1 )。于是给定 计算的log 概率:,所以整个训练语料的 log-likelihood 计算如下:


                            


剩下,就是用类 SGD 的方法簇来最大化 log-likelihood 函数。能通过 backpropagation 方法有效计算,需要做的是画出从最终的 log-probability 到第一层输入的后向传播图。这样就可以对图中每个操作求偏导(可方便地使用 Amber 平台实现,也可以参考 theano.tensor.grad 例子)。有了偏导之后,我们能参考导数的方向逐步更新参数。很多人会在具体的参数更新速度和效果上“踩坑”,这里面就包含技巧又包含技术,更有背后的深刻的底蕴。


很多工程师“随便”调调初始学习率,mini-batch 大小,学习率自变化方案,动量因子及其自动变化方案等就认为很“牛逼“啦。这个话题不是本文的重点,故不展开描述。


目前来看,在机器翻译的模型中使用 Adadelta [Zeiler, 2012] 或 Adam [Kingma and Ba,2015] 得到的结果不会太差(可参考 http://imgur.com/a/Hqolp 在马鞍面上一点,采用不同学习率算法的收敛可视化的例子)


众所周知,深度学习算法绝大部分都用 GPU 计算,NMT 也不例外。我们还是粗略地计算一下,一个样本的 forward 过程的计算量(当然对于一条样本不会包含所有的 word ):


1.源语言 embedding :T×|V|,其中 T 是源句子的 word 个数,|V| 是源语言词表大小;


2. 从源语言 word 的 embedding 到 encoder:,其中  是 embedding的维度, 是 GRU 中 2 个 gate 和 1 个 unit 的隐层状态的维度;


3. 从


4. 从 context 向量到 decoder :


5. 从


6. 从 decoder 到目标 word 的 embedding :其中 T’ 是目标句子 word 的个数,是目标语言词向量的维度;


7. 从目标 word 的 embedding 到输出:其中是目标语言词表大小;


8. softmax 输出:


除了上述前向过程,还有同等量级的后向计算。上述中的 |V| 和 |V’| 通常是十万到百万量级, 在千级别,大部分计算是高维的矩阵与矩阵和矩阵与向量之间的计算,所以,用 GPU 是目前最合适的。



5. 简单encoder-decoder框架的问题



在基本的 encoder-decoder 框架,encoder 转换输入序列到固定长度的向量(即 contex 向量),decoder 有此产生翻译。直观上看,context 向量应该包括源句子每个 word 的信息,无论句子结构怎样复杂,那么 encoder 应该是一个复杂的非线性函数。[Kyunghyun 2014] 阐述了当模型小的时候,翻译质量随着句子长度增加明显下降。Sutskever et al. 2014 论文建议 encoder 的表达能力需要更大,意味着模型需要更大来处理更长的句子。



6. Soft Attention机制



简单的框架不区分输入句子的长度(意指信息含量多少),这显然是违背直觉的。就连 zip 个文件的结果也与文件含有的信息复杂程度相关。


为了后续讨论简单,我们假设句子长度的大小与句子含有信息量成正比。于是想到不把句子表示成固定长度的向量,而是让它体现出“层次”信息,BiRNN 分别从 2 个方向独立地“读”句子一遍。


假设表示从第 1 个 word 到第 j 个 word 的 summary 信息,同理,表示从句子尾部到第 j 个 word 的 summary 信息。由于序列本质,RNN 更倾向记住近期的信息,所以两者合在一起,更好地表示在整句上下文中的表达,所以把上述表达称为 context-dependent 词表达。利用这个机制可以把句子表达成变长形式(相对于固定维度的 summary )。


考虑了源语言句子的变长表示之后,decoder 对于每个目标 word 来说,也需要选择性地把注意力集中在一个或多个 context-dependent 词表达或辅助向量( annotation vector )上。可是每次应该怎么聚焦呢?想象一下,当人已经翻译了 i-1 个 word 后,正在翻译第 i 个 word ,人在翻译时是怎么决定的呢?通常,人在看每个词(或他的 context-dependent 信息 )时,会综合考虑当前已经翻译的结果来决定此时的 应该怎么翻译,也就是说,是否与下一个目标词相关,相关度有多大。下图是反映上述过程的一种方式而已:



Dzmitry Bahdanau 2014 提出在 decoder 中引入一个 NN 来做上述的 attention model(记为 AM )。此 AM 的输入是前一时刻的 decoder 隐状态和 context-dependent 词表达。AM 可用1层 NN 和 1 个标量表示。下图把得分用到了源语言句子中的每一个 word 上:



一旦得到每个源 word 的得分后,就可以用 softmax进行归一化:

                        

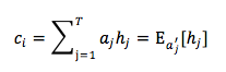
这里做归一化的原因有多种解释,其中一种解释是把 attention 机制纳入到概率论框架中,认为 attention 的权重是 decoder 在所有 T 个源语言 word 中选择第 j 个 context-dependent 词表达的概率。这样就可以在这个分布下计算 context-dependent 词表达的期望:


                            

上述期望向量 以对所有 word 不同的重视程度概括了整个源语言句子的信息。辅助向量( context-dependent 向量)被认为是 AM 根据 attention 的权重来决定的相关性。随后,用代替上面阐述的 decoder 中 3 步中的



7. Soft attention机制的外延



当前 attention mechanism 已经成了 deep learning 中的一个热点,不仅仅体现在 NLP 上 ,也体现在图像研究中  [Cho et al., 2015]。下图表示在没有特意地针对对齐做监督的情况下,模型自己学习到了某种 attention 或对齐的一个例子:



线条的粗细表示 AM 模型给出的 attention 权重大小。通常弱监督形势常被用来表示 reinforcement learning ,在此 attention 机制等同了弱监督效果,除了给定翻译的目标句子外,没有任何中间的对应和对齐的直接监督信息。


此外,再分别对比下 neural turing machine [Graves et al. 2014] 和 memory network [Weston et al. 2014]与带有 attention 机制的 NMT 。首先,假设把 context-dependent 词表达当作 memory 中的内容,把 attention 机制当作 NTM 中 read head ,把 decoder 作为 NTM 的控制器,这样看 NMT 与 NTM 很相似。参考 2015 年 Sukhbaatar et al 描述的 memory network ,除了各自论文中对于特定应用的实现细节不一样之外,基于 attention 的NMT、NTM 和 memory network 的思想是相通的。我们都好奇这类方法最终会以怎样的形态体现,让我们拭目以待吧。

 



8 .机器翻译与image/videocaption




立刻会有人问,机器翻译与 image caption 有什么一毛钱关系吗?回想一下,现在的 NMT 技术路线在做翻译时不需要利用任何一种语言的特定信息,也就是说任何 2 种语言间的翻译在 NMT 来看是一样的。让我们发散一下,这种技术框架,对于需要返回输入数据的定长向量表达,或者寻求一系列它的映射空间下对应向量的需求,很可能是一种不错的选择,只要能把数据合适地灌进框架中。这已经被蒙特利尔大学和多伦多大学的 paper 证实了。论文中用 CNN 替换了 encoder ,在 attention-based encoder-decoder 框架下完成了 image caption 任务,如下图所示:



此外类似的 papers 还有 Donahue et al.,2014; Fang et al., 2014Karpathy and Li, 2014Kiros et al., 2014Mao et al.,2014 等。


值得一提的是,让 decoder 利用 video 的时域结构, Li et al. 2015 和 Venugopalan et al. 2015 用类似的 attention-based 方法产生了 video 描述,如下图所示:


同理,attention 机制 + 从一种结构化的输入映射到另一种结构化的输出的框架已经成功应用到多种任务上。 Vinyals et al.2015  应用到离散优化问题上,解决了旅行商问题。Kyunghyun et al. 2015  应用此框架到更多的多媒体任务中。



9. 展望



关于机器翻译这个特定任务的全流程已经有很多研究者评论了,这里说的展望不特指任何一种 task 。


目前大多数还是以 word 为单一单元建模句子序列,是否应该考虑 hierarchical 单元。在 RNN 中的反向传播算法的时间代价与序列长度成正比。是否有更好的算法能处理更长的序列,例如段落,文档等。在处理序列时,大部分的学习很可能还是局部的,权重还是不加区别地在线更新的,是否可以改变这种传统形式。


NMT 考虑的是自然语言中的逻辑关系,它还可以扩展到以其他机制建立联系的任务上吗?例如:基因序列、社交网络等以 relation 维系的图结构。


虽然 google 已经用 one-shot 和 zero-shot 方式,但是我们还是要思考如何引入其他信息源来做 multimodal learning 。



参考文献



  • Bahdanau, Dzmitry, Kyunghyun Cho, and     Yoshua Bengio. “Neural machine translation by jointly learning to align     and translate.” arXiv preprint arXiv:1409.0473 (2014).


  • Bastien, Frédéric et al. “Theano: new     features and speed improvements.” arXiv preprint arXiv:1211.5590 (2012).


  • Bergstra, James et al. “Theano: a CPU     and GPU math expression compiler.” Proceedings of the Python for     scientific computing conference (SciPy) 30 Jun. 2010: 3.


  • Bridle, J. S. (1990). Training     Stochastic Model Recognition Algorithms as Networks can lead to Maximum     Mutual Information Estimation of Parameters. In Touretzky, D., editor,     Advances in Neural Information Processing Systems, volume 2, (Denver,     1989).


  • Brown, Peter F et al. “The mathematics     of statistical machine translation: Parameter estimation.” Computational     linguistics 19.2 (1993): 263-311.


  • Cho, Kyunghyun et al. “Learning phrase     representations using RNN encoder-decoder for statistical machine     translation.” arXiv preprint arXiv:1406.1078 (2014).


  • Cho, Kyunghyun, Aaron Courville, and     Yoshua Bengio. “Describing Multimedia Content using Attention-based     Encoder–Decoder Networks.” arXiv preprint arXiv:1507.01053 (2015).


  • Denil, Misha et al. “Learning where to     attend with deep architectures for image tracking.” Neural computation     24.8 (2012): 2151-2184.


  • Donahue, Jeff et al. “Long-term     recurrent convolutional networks for visual recognition and description.”     arXiv preprint arXiv:1411.4389 (2014).


  • Fang, Hao et al. “From captions to     visual concepts and back.” arXiv preprint arXiv:1411.4952 (2014).


  • Forcada, Mikel L, and  Ñeco,     Ramón P. “Recursive hetero-associative memories for translation.”     Biological and Artificial Computation: From Neuroscience to Technology     (1997): 453-462.


  • Graves, Alex, Greg Wayne, and Ivo     Danihelka. “Neural Turing Machines.” arXiv preprint arXiv:1410.5401     (2014).


  • Graves, Alex, Greg Wayne, and Ivo     Danihelka. “Neural Turing Machines.” arXiv preprint arXiv:1410.5401     (2014).


  • Gregor, Karol et al. “DRAW: A     recurrent neural network for image generation.” arXiv preprint     arXiv:1502.04623 (2015).


  • Gulcehre, Caglar et al. “On Using     Monolingual Corpora in Neural Machine Translation.” arXiv preprint     arXiv:1503.03535 (2015).


  • Kalchbrenner, Nal, and Phil Blunsom.     “Recurrent Continuous Translation Models.” EMNLP 2013: 1700-1709.


  • Karpathy, Andrej, and Li, Fei-Fei.     “Deep visual-semantic alignments for generating image descriptions.” arXiv     preprint arXiv:1412.2306 (2014).


  • Kingma, D. P., and Ba, J. “A Method     for Stochastic Optimization.” arXiv preprint arXiv:1412.6980 (2014).


  • Kiros, Ryan, Ruslan Salakhutdinov, and     Richard S Zemel. “Unifying visual-semantic embeddings with multimodal     neural language models.” arXiv preprint arXiv:1411.2539 (2014).


  • Koehn, Philipp. Statistical machine     translation. Cambridge University Press, 2009.


  • Mao, Junhua et al. “Deep Captioning     with Multimodal Recurrent Neural Networks (m-RNN).” arXiv preprint     arXiv:1412.6632 (2014).


  • Mnih, Volodymyr, Nicolas Heess, and     Alex Graves. “Recurrent models of visual attention.” Advances in Neural     Information Processing Systems 2014: 2204-2212.


  • Pascanu, Razvan et al. “How to     construct deep recurrent neural networks.” arXiv preprint arXiv:1312.6026     (2013).


  • Schwenk, Holger. “Continuous space     language models.” Computer Speech & Language 21.3 (2007): 492-518.


  • Sukhbaatar, Sainbayar et al.     “End-To-End Memory Networks.”


  • Sutskever, Ilya, Oriol Vinyals, and     Quoc V. Le. “Sequence to sequence learning with neural networks.” Advances     in Neural Information Processing Systems 2014: 3104-3112.


  • Venugopalan, Subhashini et al.     “Sequence to Sequence–Video to Text.” arXiv preprint arXiv:1505.00487     (2015).


  • Weston, Jason, Sumit Chopra, and     Antoine Bordes. “Memory networks.” arXiv preprint arXiv:1410.3916 (2014).


  • Xu, Kelvin et al. “Show, Attend and     Tell: Neural Image Caption Generation with Visual Attention.” arXiv     preprint arXiv:1502.03044 (2015).


  • Yao, Li et al. “Video description     generation incorporating spatio-temporal features and a soft-attention     mechanism.” arXiv preprint arXiv:1502.08029 (2015).



(本文来源微信AI,经作者白明授权转载,特此感谢!)




          

          





3月27日,新智元开源·生态AI技术峰会暨新智元2017创业大赛颁奖盛典隆重召开,包括“BAT”在内的中国主流 AI 公司、600多名行业精英齐聚,共同为2017中国人工智能的发展画上了浓墨重彩的一笔。


文字实录:新智元“春节”引爆AI原力,群星纵论中国AI大棋局


访问以下链接,回顾大会盛况:



登录查看更多
10

相关内容

机器翻译,又称为自动翻译,是利用计算机将一种自然语言(源语言)转换为另一种自然语言(目标语言)的过程。它是计算语言学的一个分支,是人工智能的终极目标之一,具有重要的科学研究价值。

知识荟萃

精品入门和进阶教程、论文和代码整理等

更多

查看相关VIP内容、论文、资讯等
专知会员服务
235+阅读 · 2020年5月6日
【Google】无监督机器翻译,Unsupervised Machine Translation
专知会员服务
36+阅读 · 2020年3月3日
机器翻译深度学习最新综述
专知会员服务
99+阅读 · 2020年2月20日
注意力机制模型最新综述
专知会员服务
271+阅读 · 2019年10月20日
深度学习自然语言处理综述,266篇参考文献
专知会员服务
231+阅读 · 2019年10月12日
自然语言处理中注意力机制综述
Python开发者
11+阅读 · 2019年1月31日
清华大学NLP组年末巨献:机器翻译必读论文列表
机器之心
13+阅读 · 2018年12月30日
干货|从LSTM到Seq2Seq
全球人工智能
15+阅读 · 2018年1月9日
没有数据也能翻译?一文读懂「无监督」机器翻译
人工智能学家
3+阅读 · 2018年1月7日
Question Generation by Transformers
Arxiv
5+阅读 · 2019年9月14日
Arxiv
5+阅读 · 2018年10月23日
Arxiv
19+阅读 · 2018年5月17日
Arxiv
3+阅读 · 2018年5月11日
Arxiv
27+阅读 · 2018年4月12日
Arxiv
9+阅读 · 2018年4月12日
Arxiv
6+阅读 · 2018年2月26日
Arxiv
27+阅读 · 2017年12月6日
Arxiv
4+阅读 · 2017年7月25日
VIP会员
相关VIP内容
相关论文
Question Generation by Transformers
Arxiv
5+阅读 · 2019年9月14日
Arxiv
5+阅读 · 2018年10月23日
Arxiv
19+阅读 · 2018年5月17日
Arxiv
3+阅读 · 2018年5月11日
Arxiv
27+阅读 · 2018年4月12日
Arxiv
9+阅读 · 2018年4月12日
Arxiv
6+阅读 · 2018年2月26日
Arxiv
27+阅读 · 2017年12月6日
Arxiv
4+阅读 · 2017年7月25日
Top
微信扫码咨询专知VIP会员