WSDM22 | 用户留存预测挑战赛开启

2021 年 11 月 4 日 图与推荐
用户留存是非常有意思也非常难的一件事,之前有同事用RL来做,效果还不错。



http://challenge.ai.iqiyi.com/detail?raceId=61600f6cef1b65639cd5eaa6

赛题描述

 

爱奇艺是中国和世界领先的高品质视频娱乐流媒体平台,每个月有超过5亿的用户在爱奇艺上享受娱乐服务。爱奇艺秉承“悦享品质”的品牌口号,打造涵盖影剧、综艺、动漫在内的专业正版视频内容库,和“随刻”等海量的用户原创内容,为用户提供丰富的专业视频体验。
 
爱奇艺手机端APP,通过深度学习等最新的AI技术,提升用户个性化的产品体验,更好地让用户享受定制化的娱乐服务。我们用“N日留存分”这一关键指标来衡量用户的满意程度。例如,如果一个用户10月1日的“7日留存分”等于3,代表这个用户接下来的7天里(10月2日~8日),有3天会访问爱奇艺APP。预测用户的留存分是个充满挑战的难题:不同用户本身的偏好、活跃度差异很大,另外用户可支配的娱乐时间、热门内容的流行趋势等其他因素,也有很强的周期性特征。
 
本次大赛基于爱奇艺APP脱敏和采样后的数据信息,预测用户的7日留存分。参赛队伍需要设计相应的算法进行数据分析和预测。

 

数据描述

 

本次比赛提供了丰富的数据集,包含视频数据、用户画像数据、用户启动日志、用户观影和互动行为日志等。针对测试集用户,需要预测每一位用户某一日的“7日留存分”。7日留存分取值范围从0到7,预测结果保留小数点后2位。

 

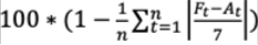
评价指标

 

本次比赛是一个数值预测类问题。评价函数使用:。n是测试集用户数量,F是参赛者对用户的7日留存分预测值,A是真实的7日留存分真实值。


时间线


2021.10.15: 赛事启动,赛题正式发布,开放赛题数据集,开放报名、组队。

2021.11.15: 开放公开排名榜,参赛者可以提交预测结果。

2021.12.20: 报名截止

2022.01.17: 停止提交结果

2022.01.20: 解释文档停止提交(提交方式稍后公布)

2022.01.25: 公布最终成绩

2022.02.17: Top 3队伍报告会及奖项颁发

 

奖项设置  

 

冠军队伍: 一支 ($2000) 

亚军队伍: 一支 ($800) 

季军队伍: 一支 ($500)

登录查看更多
1

相关内容

网络搜索和数据挖掘国际会议(WSDM)是关于Web上的搜索和数据挖掘研究的主要会议之一。WSDM在Web和社会Web上发布与搜索和数据挖掘相关的原始的、高质量的论文,着重于搜索和数据挖掘实用而有原则的新模型、算法设计和分析、经济影响,以及对准确性和性能的深入实验分析。 官网地址:http://dblp.uni-trier.de/db/conf/wsdm/
WSDM'22「京东」个性化会话推荐:异构全局图神经网络
专知会员服务
23+阅读 · 2022年1月7日
WSDM 2022 | 基于图神经网络的协同过滤设计空间研究
专知会员服务
37+阅读 · 2022年1月3日
专知会员服务
26+阅读 · 2021年6月9日
专知会员服务
15+阅读 · 2021年5月18日
【WWW2021】双曲图卷积网络的协同过滤
专知会员服务
40+阅读 · 2021年3月26日
【WSDM2021-Tutorial】偏见感知推荐系统的进展,134页ppt
专知会员服务
50+阅读 · 2021年3月9日
【WSDM2021】多交互注意力网络细粒度特征学习的CTR预测
专知会员服务
25+阅读 · 2020年12月27日
专知会员服务
27+阅读 · 2020年11月5日
你会信任哪些平台的评分评价?
ZEALER订阅号
0+阅读 · 2022年3月20日
H&M个性化商品推荐竞赛来袭!
机器学习与推荐算法
0+阅读 · 2022年2月22日
WSDM'22「Facebook」推荐采样方法哪家强?
图与推荐
0+阅读 · 2022年1月19日
WSDM'22 | 大规模动态图链路预测挑战赛,奖励丰厚
图与推荐
1+阅读 · 2021年11月12日
国家自然科学基金
2+阅读 · 2017年12月31日
国家自然科学基金
6+阅读 · 2017年12月31日
国家自然科学基金
0+阅读 · 2015年12月31日
国家自然科学基金
0+阅读 · 2013年12月31日
国家自然科学基金
0+阅读 · 2012年12月31日
国家自然科学基金
0+阅读 · 2012年12月31日
国家自然科学基金
1+阅读 · 2011年12月31日
国家自然科学基金
2+阅读 · 2011年12月31日
国家自然科学基金
0+阅读 · 2011年12月31日
Arxiv
2+阅读 · 2022年4月20日
Cold-start Sequential Recommendation via Meta Learner
Arxiv
15+阅读 · 2020年12月10日
Arxiv
20+阅读 · 2019年11月23日
VIP会员
相关VIP内容
WSDM'22「京东」个性化会话推荐:异构全局图神经网络
专知会员服务
23+阅读 · 2022年1月7日
WSDM 2022 | 基于图神经网络的协同过滤设计空间研究
专知会员服务
37+阅读 · 2022年1月3日
专知会员服务
26+阅读 · 2021年6月9日
专知会员服务
15+阅读 · 2021年5月18日
【WWW2021】双曲图卷积网络的协同过滤
专知会员服务
40+阅读 · 2021年3月26日
【WSDM2021-Tutorial】偏见感知推荐系统的进展,134页ppt
专知会员服务
50+阅读 · 2021年3月9日
【WSDM2021】多交互注意力网络细粒度特征学习的CTR预测
专知会员服务
25+阅读 · 2020年12月27日
专知会员服务
27+阅读 · 2020年11月5日
相关基金
国家自然科学基金
2+阅读 · 2017年12月31日
国家自然科学基金
6+阅读 · 2017年12月31日
国家自然科学基金
0+阅读 · 2015年12月31日
国家自然科学基金
0+阅读 · 2013年12月31日
国家自然科学基金
0+阅读 · 2012年12月31日
国家自然科学基金
0+阅读 · 2012年12月31日
国家自然科学基金
1+阅读 · 2011年12月31日
国家自然科学基金
2+阅读 · 2011年12月31日
国家自然科学基金
0+阅读 · 2011年12月31日
Top
微信扫码咨询专知VIP会员