成为VIP会员查看完整内容
VIP会员码认证
首页
主题
发现
会员
服务
注册
·
登录
0
多少运动量可抵消10小时久坐带来的健康危害
2020 年 11 月 29 日
学术头条
众所周知,久坐不动会给身体带来各种健康风险。
此前一项荟萃分析表明,每天需要60到75分钟的中到高强度运动才能抵消掉与久坐相关的死亡风险。
但每天单独拿出60分钟运动,恐怕很少有人能做到吧?
北京时间11月26日,发表在《英国医学杂志(BMJ)》子刊
《British Journal of Sports Medicine(英国运动医学杂志)》
上的一项新研究中,
由美国哈佛大学T.H Chan公共卫生学院、瑞典卡罗林斯卡医学院和挪威体育科学学院等机构的40名科学家对9项研究的荟萃分析表明,
每天30到40分钟的中到高强度体育活动,可以抵消掉10小时久坐给身体带来的负面影响,以降低全因死亡率
(各种原因导致的死亡)
。
这听起来,比每天60到70分钟的运动量压力小了一半。当然,任何一种运动,哪怕只是站起来都会对健康有一定的帮助。
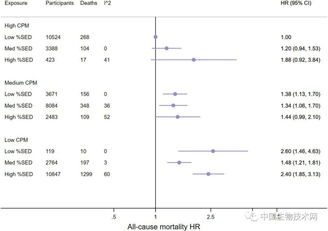
这9项研究涉及的对象,来自四个不同国家的44370人,平均年龄65.8岁(标准差±8.6岁),他们都佩戴了某种类型的可穿戴追踪设备。研究人员对他们进行了4到14.5年的随访。期间3451人死亡。
在这些研究队列中,参与者久坐的平均时间为8.5到10.5小时/天;中到高强度体育活动从8分钟/天到35分钟/天不等。
分析发现,与对照组相比(最高运动量/最少久坐时间),
随着中到高强度体育活动的时间减少,死亡风险也随之上升。
研究人员说:“
在每天达到30到40分钟中等强度到剧烈运动的活跃个体中,久坐时间长与死亡风险之间的关系与那些久坐时间较低的人没有显著差异。换句话说,进行一些频繁的活动,如骑自行车、健步走等,可以将你早逝的风险降低到与不怎么久坐的个体一样。这种联系可以从成千上万人积累的数据中看到。
”
虽然像这样的元分析总是需要在不同的志愿者、时间尺度和条件的不同研究中加入一些精心设计的要素,但这一特定研究的好处在于它依赖于来自可穿戴设备的相对客观数据,而不是参与者自己报告的数据。
这项研究与世界卫生组织更新的《2020版身体活动和久坐行为全球指南》一起发布(见下一篇推送),由来自全球的40名科学家共同完成。
《英国运动医学杂志》的联合编辑、澳大利亚悉尼大学的体育运动和人口健康研究员Emmanuel Stamatakis说:“这些指南非常及时,因为我们正处于一场全球性的新冠大流行之中,新冠肺炎使人们长时间待在室内,导致久坐行为增加。但我们仍然可以保护自己的健康,抵消缺乏运动带来的有害影响。正如这些指南所强调的那样,
所有的体育运动都是有价值的,无论运动量多少,运动总比不动好
。”
这项基于健康追踪器的研究与世卫组织的新指南基本一致,该指南建议每周进行150至300分钟的中等强度的运动,或75至150分钟的高强度运动,以抵消久坐带来的危害。
研究人员建议,
把坐电梯改为爬楼梯、和孩子或宠物玩耍、参加瑜伽或跳舞、做做家务、散步、骑自行车,这些都是人们可以让自己更活跃的方式。如果你不能马上安排好30到40分钟的运动,那就从小事做起。
尽管30到40分钟的运动时间框架与之前的研究相符,但对所有年龄和体型的人提出建议是比较困难的。随着越来越多的数据被公布,我们应该更多地了解如何在不得不长时间坐在办公桌前的情况下保持健康。
Stamatakis说:“尽管新指南反映了现有的最佳科学数据,但我们的知识仍存在一些空白。例如,我们还不清楚对于久坐,多久算久?但这是一个快节奏的研究领域,我们希望在几年内能找到答案。”
参考资料:
https://bjsm.bmj.com/content/54/24/1499
点击
阅读原文
,
为AI城市代言、获得完整城市榜单!
喜欢本篇内容,请
分享、点赞、
在看
登录查看更多
点赞并收藏
0
暂时没有读者
0
权益说明
本文档仅做收录索引使用,若发现您的权益受到侵害,请立即联系客服(微信: zhuanzhi02,邮箱:bd@zhuanzhi.ai),我们会尽快为您处理
相关内容
动量
关注
57
动量方法 (Polyak, 1964) 旨在加速学习,特别是处理高曲率、小但一致的梯度,或是带噪声的梯度。 动量算法积累了之前梯度指数级衰减的移动平均,并且继续沿该方向移动。
最新《因果强化学习:动机,概念,挑战与应用》报告,85页ppt
专知会员服务
98+阅读 · 2020年12月14日
【EMNLP2020最佳论文】无声语音的数字化发声
专知会员服务
12+阅读 · 2020年11月20日
【CMU博士论文】机器人深度强化学习,128页pdf
专知会员服务
133+阅读 · 2020年8月27日
最新《数据因果性学习: 问题与方法》2020综述论文,36页pdf
专知会员服务
154+阅读 · 2020年8月16日
戴口罩抵抗新冠病毒到底如何?针对COVID-19戴口罩的证据性综述,Face Masks Against COVID-19
专知会员服务
6+阅读 · 2020年4月14日
【哈佛大学】美国对新冠肺炎COVID-19住院和ICU床位的需求:来自中国城市的教训
专知会员服务
29+阅读 · 2020年3月11日
【调查研究】人工智能在预防与治疗新冠状病毒中起到多大作用?
专知会员服务
61+阅读 · 2020年3月10日
【Google-普林斯顿】从学习速率中解开自适应梯度法,Disentangling Adaptive Gradient
专知会员服务
19+阅读 · 2020年3月5日
[华盛顿大学】微调预训练的语言模型:权重初始化、数据顺序和早期停止
专知会员服务
23+阅读 · 2019年12月15日
中科院信工所发布《深度学习系统的隐私与安全》综述论文,187篇文献总结
专知会员服务
103+阅读 · 2019年12月5日
这10款APP,让残障人士出行无忧!
智能交通技术
16+阅读 · 2019年4月24日
【愈她·妥妥的希望】双靶方案为HER2阳性晚期乳腺癌带来全新机遇
肿瘤资讯
6+阅读 · 2019年4月22日
关于阿帕替尼副作用,你想知道的都在这里了
肿瘤资讯
9+阅读 · 2019年4月20日
【斯坦福李飞飞等人Nature论文】基于深度学习检测ICU中的患者移动
专知
20+阅读 · 2019年3月2日
Google:数据并行对神经网络训练用时的影响
论智
4+阅读 · 2018年11月27日
2017-2018年抗肿瘤药物行业研究报告
行业研究报告
7+阅读 · 2018年11月1日
孙正义:巨变将至,感觉睡觉都是浪费时间!(附30张PPT)
全球创新论坛
5+阅读 · 2018年5月30日
苦尽甘来:AI为更有效地治疗抑郁症带来希望
英伟达NVIDIA中国
10+阅读 · 2018年3月1日
【智能医疗】如何利用深度学习诊断心脏病?
产业智能官
8+阅读 · 2017年10月3日
下载 ‖ 十大医疗数据集
机械鸡
103+阅读 · 2017年8月5日
Generalized non-stationary bandits
Arxiv
0+阅读 · 2021年2月2日
Probabilistic Learning Vector Quantization on Manifold of Symmetric Positive Definite Matrices
Arxiv
0+阅读 · 2021年2月1日
A perimeter-decreasing and area-conserving algorithm for surface diffusion flow of curves
Arxiv
0+阅读 · 2021年1月31日
Total Stability of SVMs and Localized SVMs
Arxiv
0+阅读 · 2021年1月29日
Distributed Spatial-Keyword kNN Monitoring for Location-aware Pub/Sub
Arxiv
0+阅读 · 2021年1月29日
Byzantine Fault-Tolerance in Peer-to-Peer Distributed Gradient-Descent
Arxiv
0+阅读 · 2021年1月28日
Improved Secure Efficient Delegated Private Set Intersection
Arxiv
0+阅读 · 2021年1月28日
Anomalous Instance Detection in Deep Learning: A Survey
Arxiv
29+阅读 · 2020年3月16日
No Metrics Are Perfect: Adversarial Reward Learning for Visual Storytelling
Arxiv
7+阅读 · 2018年4月24日
Topic Modeling on Health Journals with Regularized Variational Inference
Arxiv
3+阅读 · 2018年1月15日
VIP会员
自助开通(推荐)
客服开通
详情
相关主题
动量
体育
健康
周知
标准差
科学家
相关VIP内容
最新《因果强化学习:动机,概念,挑战与应用》报告,85页ppt
专知会员服务
98+阅读 · 2020年12月14日
【EMNLP2020最佳论文】无声语音的数字化发声
专知会员服务
12+阅读 · 2020年11月20日
【CMU博士论文】机器人深度强化学习,128页pdf
专知会员服务
133+阅读 · 2020年8月27日
最新《数据因果性学习: 问题与方法》2020综述论文,36页pdf
专知会员服务
154+阅读 · 2020年8月16日
戴口罩抵抗新冠病毒到底如何?针对COVID-19戴口罩的证据性综述,Face Masks Against COVID-19
专知会员服务
6+阅读 · 2020年4月14日
【哈佛大学】美国对新冠肺炎COVID-19住院和ICU床位的需求:来自中国城市的教训
专知会员服务
29+阅读 · 2020年3月11日
【调查研究】人工智能在预防与治疗新冠状病毒中起到多大作用?
专知会员服务
61+阅读 · 2020年3月10日
【Google-普林斯顿】从学习速率中解开自适应梯度法,Disentangling Adaptive Gradient
专知会员服务
19+阅读 · 2020年3月5日
[华盛顿大学】微调预训练的语言模型:权重初始化、数据顺序和早期停止
专知会员服务
23+阅读 · 2019年12月15日
中科院信工所发布《深度学习系统的隐私与安全》综述论文,187篇文献总结
专知会员服务
103+阅读 · 2019年12月5日
热门VIP内容
开通专知VIP会员 享更多权益服务
《战役筹划艺术:全局交汇点上的联合规划人员》
生成式推荐综述:数据、模型与任务
《自主海上系统的技术转型与未来展望》
【NYU博士论文】更优激励机制:高性能且注重隐私的机器学习
相关资讯
这10款APP,让残障人士出行无忧!
智能交通技术
16+阅读 · 2019年4月24日
【愈她·妥妥的希望】双靶方案为HER2阳性晚期乳腺癌带来全新机遇
肿瘤资讯
6+阅读 · 2019年4月22日
关于阿帕替尼副作用,你想知道的都在这里了
肿瘤资讯
9+阅读 · 2019年4月20日
【斯坦福李飞飞等人Nature论文】基于深度学习检测ICU中的患者移动
专知
20+阅读 · 2019年3月2日
Google:数据并行对神经网络训练用时的影响
论智
4+阅读 · 2018年11月27日
2017-2018年抗肿瘤药物行业研究报告
行业研究报告
7+阅读 · 2018年11月1日
孙正义:巨变将至,感觉睡觉都是浪费时间!(附30张PPT)
全球创新论坛
5+阅读 · 2018年5月30日
苦尽甘来:AI为更有效地治疗抑郁症带来希望
英伟达NVIDIA中国
10+阅读 · 2018年3月1日
【智能医疗】如何利用深度学习诊断心脏病?
产业智能官
8+阅读 · 2017年10月3日
下载 ‖ 十大医疗数据集
机械鸡
103+阅读 · 2017年8月5日
相关论文
Generalized non-stationary bandits
Arxiv
0+阅读 · 2021年2月2日
Probabilistic Learning Vector Quantization on Manifold of Symmetric Positive Definite Matrices
Arxiv
0+阅读 · 2021年2月1日
A perimeter-decreasing and area-conserving algorithm for surface diffusion flow of curves
Arxiv
0+阅读 · 2021年1月31日
Total Stability of SVMs and Localized SVMs
Arxiv
0+阅读 · 2021年1月29日
Distributed Spatial-Keyword kNN Monitoring for Location-aware Pub/Sub
Arxiv
0+阅读 · 2021年1月29日
Byzantine Fault-Tolerance in Peer-to-Peer Distributed Gradient-Descent
Arxiv
0+阅读 · 2021年1月28日
Improved Secure Efficient Delegated Private Set Intersection
Arxiv
0+阅读 · 2021年1月28日
Anomalous Instance Detection in Deep Learning: A Survey
Arxiv
29+阅读 · 2020年3月16日
No Metrics Are Perfect: Adversarial Reward Learning for Visual Storytelling
Arxiv
7+阅读 · 2018年4月24日
Topic Modeling on Health Journals with Regularized Variational Inference
Arxiv
3+阅读 · 2018年1月15日
大家都在搜
PINN
WOS
2025最新文献
扩散模型
人类控制
朱克爱德华兹家族
国防科技创新
事件相机
突防
再见,TD-SCDMA!
Top
提示
微信扫码
咨询专知VIP会员与技术项目合作
(加微信请备注: "专知")
微信扫码咨询专知VIP会员
Top