何恺明大神的「Focal Loss」,如何更好地理解?

2017 年 12 月 28 日 PaperWeekly 苏剑林

作者丨苏剑林

单位丨广州火焰信息科技有限公司

研究方向丨NLP,神经网络

个人主页丨kexue.fm


前言


今天在 QQ 群里的讨论中看到了 Focal Loss,经搜索它是 Kaiming 大神团队在他们的论文 Focal Loss for Dense Object Detection 提出来的损失函数,利用它改善了图像物体检测的效果。不过我很少做图像任务,不怎么关心图像方面的应用。


本质上讲,Focal Loss 就是一个解决分类问题中类别不平衡、分类难度差异的一个 loss,总之这个工作一片好评就是了。大家还可以看知乎的讨论:如何评价 Kaiming 的 Focal Loss for Dense Object Detection?[1]


看到这个 loss,开始感觉很神奇,感觉大有用途。因为在 NLP 中,也存在大量的类别不平衡的任务。


最经典的就是序列标注任务中类别是严重不平衡的,比如在命名实体识别中,显然一句话里边实体是比非实体要少得多,这就是一个类别严重不平衡的情况。我尝试把它用在我的基于序列标注的问答模型中,也有微小提升。嗯,这的确是一个好 loss。 


接着我再仔细对比了一下,我发现这个 loss 跟我昨晚构思的一个 loss 具有异曲同工之理。这就促使我写这篇文章了。我将从我自己的思考角度出发,来分析这个问题,最后得到 Focal Loss,也给出我昨晚得到的类似的 loss。


硬截断


整篇文章都是从二分类问题出发,同样的思想可以用于多分类问题。二分类问题的标准 loss 是交叉熵。



其中 y∈{0,1} 是真实标签,ŷ 是预测值。当然,对于二分类我们几乎都是用 sigmoid 函数激活 ŷ =σ(x),所以相当于:



我们有 1−σ(x)=σ(−x)。


我在上半年写过的文章「文本情感分类(四):更好的损失函数[2]中,曾经针对“集中精力关注难分样本”这个想法提出了一个“硬截断”的 loss,形式为:



其中:



这样的做法就是:正样本的预测值大于 0.5 的,或者负样本的预测值小于 0.5 的,我都不更新了,把注意力集中在预测不准的那些样本,当然这个阈值可以调整。这样做能部分地达到目的,但是所需要的迭代次数会大大增加。


原因是这样的:以正样本为例,我只告诉模型正样本的预测值大于 0.5 就不更新了,却没有告诉它要“保持”大于 0.5,所以下一阶段,它的预测值就很有可能变回小于 0.5 了。


当然,如果是这样的话,下一回合它又被更新了,这样反复迭代,理论上也能达到目的,但是迭代次数会大大增加。


所以,要想改进的话,重点就是“不只是要告诉模型正样本的预测值大于0.5就不更新了,而是要告诉模型当其大于0.5后就只需要保持就好了”


好比老师看到一个学生及格了就不管了,这显然是不行的。如果学生已经及格,那么应该要想办法要他保持目前这个状态甚至变得更好,而不是不管。

软化 loss


硬截断会出现不足,关键地方在于因子 λ(y,ŷ) 是不可导的,或者说我们认为它导数为 0,因此这一项不会对梯度有任何帮助,从而我们不能从它这里得到合理的反馈(也就是模型不知道“保持”意味着什么)。 


解决这个问题的一个方法就是“软化”这个 loss,“软化”就是把一些本来不可导的函数用一些可导函数来近似,数学角度应该叫“光滑化”。


这样处理之后本来不可导的东西就可导了,类似的算例还有梯度下降和EM算法:系出同源,一脉相承[3] 中的 kmeans 部分。我们首先改写一下 L∗



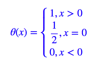
这里的 θ 就是单位阶跃函数:



这样的 L∗ 跟原来的是完全等价的,由于 σ(0)=0.5,因此它也等价于:



这时候思路就很明显了,要想“软化”这个 loss,就得“软化” θ(x),而软化它就再容易不过,它就是 sigmoid 函数。我们有:



所以很显然,我们将 θ(x) 替换为 σ(Kx) 即可:



这就是我昨晚思考得到的 loss 了,显然实现上也是很容易的。


现在跟 Focal Loss 做个比较。


Focal Loss


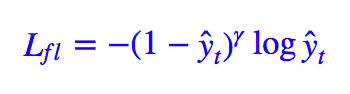
Kaiming 大神的 Focal Loss 形式是:



如果落实到 ŷ =σ(x) 这个预测,那么就有:



特别地,如果 Kγ 都取 1,那么 L∗∗=Lfl。 


事实上 Kγ 的作用都是一样的,都是调节权重曲线的陡度,只是调节的方式不一样。注意 L∗∗Lfl 实际上都已经包含了对不均衡样本的解决方法,或者说,类别不均衡本质上就是分类难度差异的体现。


比如负样本远比正样本多的话,模型肯定会倾向于数目多的负类(可以想象全部样本都判为负类),这时候,负类的 ŷ γ σ(Kx) 都很小,而正类的 (1−ŷ )γσ(−Kx) 就很大,这时候模型就会开始集中精力关注正样本。 


当然,Kaiming 大神还发现对 Lfl 做个权重调整,结果会有微小提升。 



通过一系列调参,得到 α=0.25, γ=2(在他的模型上)的效果最好。注意在他的任务中,正样本是属于少数样本,也就是说,本来正样本难以“匹敌”负样本,但经过 (1−ŷ )γŷγ 的“操控”后,也许形势还逆转了,还要对正样本降权。


不过我认为这样调整只是经验结果,理论上很难有一个指导方案来决定 α 的值,如果没有大算力调参,倒不如直接让 α=0.5(均等)。


多分类


Focal Loss 在多分类中的形式也很容易得到,其实就是:



ŷt 是目标的预测值,一般就是经过 softmax 后的结果。那我自己构思的 L∗∗ 怎么推广到多分类?也很简单:



这里 xt 也是目标的预测值,但它是 softmax 前的结果。

结语


什么?你得到了跟 Kaiming 大神一样想法的东西?


不不不,本文只是对 Kaiming 大神的 Focal Loss 的一个介绍而已。更准确地说,是应对分类不平衡、分类难度差异的一些方案的介绍,并尽可能给出自己的看法而已。当然,本文这样的写法难免有附庸风雅、东施效颦之嫌,请读者海涵。


相关链接


[1]. 如何评价 Kaiming 的 Focal Loss for Dense Object Detection?

https://www.zhihu.com/question/63581984

[2]. 文本情感分类(四):更好的损失函数

http://kexue.fm/archives/4293/

[3]. 梯度下降和EM算法:系出同源,一脉相承

http://kexue.fm/archives/4277/



          

 我是彩蛋

 解锁新功能:热门职位推荐!


PaperWeekly小程序升级啦


今日arXiv√猜你喜欢√热门职位


找全职找实习都不是问题

 

 解锁方式 

1. 识别下方二维码打开小程序

2. 用PaperWeekly社区账号进行登陆

3. 登陆后即可解锁所有功能


 职位发布 

请添加小助手微信(pwbot01)进行咨询

 

长按识别二维码,使用小程序

*点击阅读原文即可注册





关于PaperWeekly


PaperWeekly 是一个推荐、解读、讨论、报道人工智能前沿论文成果的学术平台。如果你研究或从事 AI 领域,欢迎在公众号后台点击「交流群」,小助手将把你带入 PaperWeekly 的交流群里。


▽ 点击 | 阅读原文 | 加入社区

登录查看更多
10

相关内容

RetinaNet是2018年Facebook AI团队在目标检测领域新的贡献。它的重要作者名单中Ross Girshick与Kaiming He赫然在列。来自Microsoft的Sun Jian团队与现在Facebook的Ross/Kaiming团队在当前视觉目标分类、检测领域有着北乔峰、南慕容一般的独特地位。这两个实验室的文章多是行业里前进方向的提示牌。 RetinaNet只是原来FPN网络与FCN网络的组合应用,因此在目标网络检测框架上它并无特别亮眼创新。文章中最大的创新来自于Focal loss的提出及在单阶段目标检测网络RetinaNet(实质为Resnet + FPN + FCN)的成功应用。Focal loss是一种改进了的交叉熵(cross-entropy, CE)loss,它通过在原有的CE loss上乘了个使易检测目标对模型训练贡献削弱的指数式,从而使得Focal loss成功地解决了在目标检测时,正负样本区域极不平衡而目标检测loss易被大批量负样本所左右的问题。此问题是单阶段目标检测框架(如SSD/Yolo系列)与双阶段目标检测框架(如Faster-RCNN/R-FCN等)accuracy gap的最大原因。在Focal loss提出之前,已有的目标检测网络都是通过像Boot strapping/Hard example mining等方法来解决此问题的。作者通过后续实验成功表明Focal loss可在单阶段目标检测网络中成功使用,并最终能以更快的速率实现与双阶段目标检测网络近似或更优的效果。
少标签数据学习,54页ppt
专知会员服务
205+阅读 · 2020年5月22日
【经典书】机器学习高斯过程,266页pdf
专知会员服务
235+阅读 · 2020年5月2日
Python数据分析:过去、现在和未来,52页ppt
专知会员服务
103+阅读 · 2020年3月9日
周志华教授:如何做研究与写论文?
专知会员服务
161+阅读 · 2019年10月9日
2019 DR loss(样本不平衡问题)目标检测论文阅读
极市平台
11+阅读 · 2019年10月28日
非平衡数据集 focal loss 多类分类
AI研习社
33+阅读 · 2019年4月23日
被忽略的Focal Loss变种
极市平台
29+阅读 · 2019年4月19日
Fast R-CNN
数据挖掘入门与实战
3+阅读 · 2018年4月20日
Focal Loss for Dense Object Detection
统计学习与视觉计算组
12+阅读 · 2018年3月15日
论文 | 用于密集对象检测的 Focal Loss 函数
七月在线实验室
9+阅读 · 2018年1月4日
深度学习超参数简单理解
计算机视觉战队
4+阅读 · 2017年11月28日
Arxiv
6+阅读 · 2018年7月9日
Arxiv
7+阅读 · 2018年1月24日
VIP会员
相关资讯
2019 DR loss(样本不平衡问题)目标检测论文阅读
极市平台
11+阅读 · 2019年10月28日
非平衡数据集 focal loss 多类分类
AI研习社
33+阅读 · 2019年4月23日
被忽略的Focal Loss变种
极市平台
29+阅读 · 2019年4月19日
Fast R-CNN
数据挖掘入门与实战
3+阅读 · 2018年4月20日
Focal Loss for Dense Object Detection
统计学习与视觉计算组
12+阅读 · 2018年3月15日
论文 | 用于密集对象检测的 Focal Loss 函数
七月在线实验室
9+阅读 · 2018年1月4日
深度学习超参数简单理解
计算机视觉战队
4+阅读 · 2017年11月28日
Top
微信扫码咨询专知VIP会员