MDP中的规划-CMU深度强化学习第三讲

2017 年 2 月 9 日 机器人学家 志愿者团队

产业 学术 趣玩

每周推送原创潮流机器人资讯

我们获得授权翻译CMU课程 10703 Deep Reinforcement Learning & Control,这是第三讲。


感谢Katerina Fragkiadaki教授的支持。


翻译贡献者:

李政锴,HIT,CSE (1-9)

罗瑞琨, (10-18)

张浩,蓝胖子机器人Dorabot, (19-30)

Shin, NUS, CS (31-38)

夏伟, UCAS, ML&AI (39-45)

XaoSHuan,TJU (46-51)

孔令志, (52-58)

组长:李政锴


「机器人学家」授权翻译


本讲

大纲


  • 精确求解法 

    • 策略迭代(属于动态规划) 

  • 策略评估 

  • 策略改进 

    • 值迭代(属于动态规划) 

    • 线性规划 

  • 近似解法 

    • 异步动态规划 

 

/********** 李政锴(1-9) **********/ 


课前内容

关于第二讲的问答

  1. 确定性 VS 随机性策略 

问:每个MDP(马氏决策过程)都有一个确定性的最优策略。那么为什么还要讨论随机策略呢? 

答:一方面,进行探索需要采用随机动作(当将得到的收益和动态未知的时候)。另一方面,有时候RL要处理的问题并不是严格的MDP。比如下面的例子——猜拳。 

  1. MDPs VS 博弈(Games 

问:剪刀石头布有一个最优随机策略。为什么? 

答:这不是MDP!在MDP中,环境动态特性被假设为符合马尔科夫链,即:下一个状态分布仅依赖于当前状态和动作,而非到目前为止的所有动作。 

为了模拟对手可以针对我们目前的策略进行相应的调整,状态就应该被定义为自与对手博弈伊始的整个过程(whole episode),而非仅考虑当前时刻的状态。这不是一个有效的MDP定义方式,因为这种定义下问题没有状态更迭的过程。参考贝叶斯决策理论和博弈论(Bayesian Decision Making and Game Theory)。 

有些博弈,如:围棋、西洋双陆棋,其状态属于马尔科夫链,此时适于应用MDP。考虑环境动态特性的情况下,求某一事件点的最值,就要使用back up diagrams 

问:西洋双陆棋MDP能否模拟对手针对我们对弈策略所做的相应调整? 

答:不能。因为环境动态特性被假定为以状态为条件的马尔科夫链:下一个状态分布仅取决于当前状态和动作,而不是到目前为止的所有动作!对手的适应性调整过程不能得到模拟。 

所以,对于已作讨论的MDP,环境变量可以包含对抗性信息,但是不具备适应性。 

  1. 状态不确定性 

问:对状态不确定性建模的原因是什么? 

答:自动驾驶汽车不能确定探测到的是一个书包还是一个婴儿,这样的不确定性将触发走近并检查的信号。该问题的求解可以通过对状态进行随机性建模或确定性建模,这里所指的状态是:我的认知存在不确定性,并且需要采用确定性动作来解决待查明的隐藏状态:那是个书包,继而以相同速度继续前进;或者那是个婴儿,继而减速。在此,解决不确定性采用的确定性方法就是指走近一些 

  1. 奖励 

奖励可能取决于智能体转移前的状态,或转移后的状态,或执行过的动作,或三者的综合。在我们的表述中,奖励不取决于转移后的状态。 

 

回顾:当奖励取决于先前的状态和动作时,Bellman期望方程如下: 

 

思考:当奖励取决于下一个状态时,Bellman期望方程应该如何? 


MDP

求解

预测=给定一个MDP和一个策略,找到状态和动作价值函数; 

最优控制=给定一个MDP,找到最优策略,也被称作规划问题(the planning problem)。与之相对的是学习问题(the learning problem),即在丢失关于奖励信息和/或动态信息情况下的最优问题。 

我们仍然考虑已知动态和奖励的有限MDP(有限指状态和动作的离散且有限集)。 

 

 

/********** 罗瑞琨(10-18)  **********/ 


策略

评估

下面我们介绍精确求解MDP的方法。第一种方法就是策略迭代(Policy Iteration)。它分为两步:策略评估(Policy Evaluation)和策略改进(Policy Improvement)。 

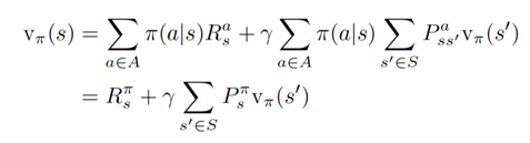
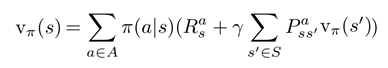
  • 策略评估:对于给定的策略π计算状态价值函数vπ. 

  • 状态价值函数v(s)的定义为: 

  • 状态价值函数v(s)Bellman方程如下, 这是一个|S|元方程组,|S|为状态空间S中状态的数量。 

从MDPs到MRPs

当我们固定一个策略时,MDP问题就变成了马尔科夫奖励过程(Markov Reward Process,下简写为MRP)。 

由前面提到的状态价值函数Bellman方程我们可以得到: 



状态值函数的back up图

下图展示了策略评估的计算顺序。图中的空心圆圈表示的状态s,黑点表示的是动作a。这里我们使用Bellman方程,用一个状态周围的其他状态的价值来更新这个状态的价值,这种计算方法称为back up。因为使用的其他状态的价值仍是之前状态函数里的值,所以这种方法叫做back up 


MRP的状态价值函数Back up 图

如前面提到的,在给定的策略下,MDP会变成MRP。这样我们可以得到新的Back up图如下。如前面给出的公式所示,在MRP中,我们已经用给定的策略将动作a计算掉了(期望)。这样得到的新的Back up图中就不需要黑点来表示动作了。 


矩阵形式

使用MRP,可以得到更加简洁的Bellman期望公式。如果有N状态s,那么在策略评估的过程中,需要求解N未知量(v(s)),有N线性方程(每个状态有一个Bellman equation),这样可以得到一个N维线性系统,理论上可以直接求解。对这个N维线性系统可以得到如下的矩阵形式的表达。 

 

其中v为向量表示的状态价值函数,向量中的每一个元素表示对应状态的价值。R为向量表示的即时收益的期望,

得到解析解如下: 



 

计算复杂度为O(N^3). 


迭代法

 

如上所示是一次扫略(sweep)”。一次扫略完成对所有状态的backup操作。 

一个完整的策略评估backup 

 

上式对应了前文的状态价值函数backup图,相似的可以得到状态价值函数迭代更新方法: 

 

 

 

/********** 张浩 (19-30)  START**********/ 


例子:小网格寻路问题

智能体在4x4方格里,每个方格有自己的编号。可以采用的动作是上下左右移动,任何动作的奖励都是-1,直到终止状态(图中首尾两个阴影方格),故该问题寻找最优策略以尽快到达终止状态。将agent带出方格的行为不会对态进行改变。 

 

  • 无折扣的周期任务 

  • 非终止状态:12...14 

  • 终止状态(灰色方块,出现了两次) 

  • 会将智能体移出栅格的动作并不改变状态 

  • 直到终止状态之前,所有动作的收益都是-1 


小网格问题的迭代策略评估

𝝅=同等概率的随机动作选择。下图中所示为对该策略的价值计算结果: 


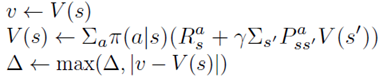
迭代策略评估算法

输入需要评价的策略𝝅 

对于所有的初始化数组V(s)=0 

重复 

 

对于每个 

 

直到(一个很小的正数) 

输出 


策略评估算法

收敛性证明

一个有|S|状态的MDP,其所有价值函数V(s)构成的向量可以看成|S|维向量空间V中的一个点。要说明收敛性,就要说明策略评估里的计算——贝尔 backup 会对该空间中的点带来怎样变化? 

下面我们说明,它每次迭代都会使这些点离得更近 

所以贝尔backup在无穷次迭代后必然收敛到唯一解 


价值函数的无穷范数(∞-Norm)

我们可以用∞-Norm来度量状态-价值函数uv 

即,两个状态价值之间的距离。 

 


贝尔曼Back up是收缩的

定义贝尔Back up操作子T𝝅 

 

这个操作子是𝛄-收缩的,即它会使价值函数之间的距离至少缩小到原来的𝛄𝛄是定义价值时的折扣系数,小于1 

收缩映射定理

定理(收缩映射定理) 

已知T𝛄收缩,对于操作T(v)下的任意完备(即闭合)的度量空间V,有: 

T以线性收敛速率𝛄收敛到唯一的固定点 

(编者注:即策略评估一定会收敛到一个值) 




结论:迭代策略评估是收敛的

贝尔期望操作子T𝝅有唯一的固定点(根据贝尔期望方程)v𝝅T𝝅上的一个固定点,所以根据收缩映射定理迭代策略评估收敛于v𝝅


/********** Shin(31-38) **********/ 

策略

改进

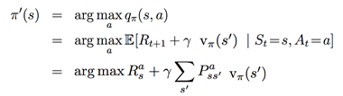
在衡量了当前策略π的价值vπ后,下一步要考虑的是如何改进策略。 

对于一个给定的状态s做另一个动作aπ(s)会不会更好 

当且仅当


的时候,动作a才会更好。 


并且,我们可以从vπ中计算

 

像这样对每一个状态都进行计算,我们便可以得到一个新的策略,新策略是根据

vπ得到的贪婪结果:  

如果策略并没有因此改变,那么就说明现有的策略已经是最优了。

 

策略

迭代

 

(编者注:策略迭代就是在反复进行策略评估和策略改进。) 

 

伪代码:  

1. 初始化 

 

2.   策略评估 

 

3. 策略改进 

 


例子:小网格中的策略迭代评估

我们仍然以一个等概率随机策略为例。 

 

(编者注:上图中在Value完全收敛之前就已经得到了最优策略,所以可能我们不需要把策略评估算的特别仔细) 


广义策略迭代(GPI)

策略评估是否需要收敛到vπ ?  

或者我们是不是应该设定一个停止条件,比如值函数ϵ收敛?

或者在k次迭代评估之后直接停止?比如在小网格中k=3已经能够达到最优策略了。 

这让我们思考,也许可以每次迭代都更新策略——这相当于值迭代(下一章节)。 

广义策略迭代考虑的就是迭代评估、更新的各种可能性。

(编者注:我们可以自行选择每次迭代里进行多少策略评估和策略改进) 

/**********夏伟(39-45)**********/ 

最优性原理

称策略  在状态s处获得最优值,即,当且仅当: 

  • 对于从状态s可以到达任意的状态s’ 

  • 策略π也在状态s处获得最优值,即 


迭代

NOTE 状态传递方向  

  1. 假设已知子问题的解为 

  1. 原问题的解可以通过一步前瞻(one-step lookahead)得到,即 

. 

  • 值迭代的思想在于采用以上两个步骤重复更新迭代; 

  • 直观解释:从最后的收益(进入终态时)开始,不断反向(向前)更新(work backwarks 

  • 仍然处于可多次循环遍历、随机MDP的工作范畴。 


最短路径的例子

Noteg是终态。 


值迭代

的描述

  • 问题:寻找最优策略π

  • 解决方法:反复运用贝尔最优BackupBellman optimality backup 

  • 可形式化为  

  • 伪代码描述(采用同步备份): 

  • 在每一次迭代 

  • 所有的状态根据更新 

示意图如下,白圆圈为状态state,黑圆圈为动作action 

 

下面说明,贝尔曼最优backup是不断变优的(即往最优方向收缩)。

定义贝尔最优backup操作 

此操作是按照倍率大小收缩的,即至少以的倍率逼近值函数 

 

值迭代

的收敛性

  • 贝尔最优backup操作具有唯一的不动点 

  • 最优值函数就是这个不动点(通过贝尔曼最优等式可以得到) 

  • 通过压缩映射原理的收敛性可以证明值迭代收敛于. 


/**********XaoSHuan(45-51)**********/ 

同步动态规划

算法小结


 算法 

解决的问题 

算法依据        

迭代策略评价 

 

 预测 

  贝尔期望方程                   

 策略迭代 

 

控制    

贝尔期望方程+贪心策略改进   

   价值迭代 

 

 控制     

贝尔最优化方程            

复杂度分析: 

  • 求状态-价值函数 V(S)的算法,m动作,n状态时,每次迭代复杂度为:O(mn2) 

  • 求动作-价值函数Q(S,a)的算法,m动作,n状态时每次迭代复杂度:O(m2n2)          


动态规划的效率问题

  • 计算最优策略的算法复杂度是关于状态数目的多项式级,还算可以。 

  • 问题在于状态的 个数通常非常巨大,随着问题维度的增加而指数型增长(维数灾难)。 

  • 实际应用中,经典的动态规划可以应用在有几百万个状态的问题中。


异步

动态规划

  • 目前我们所讲的动态规划方法都需要遍历整个状态集。 

  • 异步动态规划不需要全部遍历。它工作方式如下: 

  • 循环 直到满足收敛条件  

  •   任意选择一个状态,应用合适的方法backup状态值 

  • 仍然需要大量计算 ,但是避免了永无止境的遍历 

  • 我们可以智能地选择要backup的状态?可以!智能体可以借助其经验作为指导。 


三种简单的异步动态规划方法: 

  • In-place动态规划 

  • 依据优先级的动态规划 

  • 实时动态规划 


In-place动态规划

  • 同步动态规划的价值迭代保存两份价值函数副本: 

S中所有的状态s 

 

  • In-place仅仅保存一份价值函数副本,更新的值立即被周围状态的backup使用: 

S中所有的状态s: 

                            


依据优先级的动态规划

  • 用贝尔误差大小指导状态选择,如: 

                        

  • 优先backup有最大Bellman误差的状态 

  • 在每次backup后,更新受到影响的状态的贝尔误差 

  • 需要已知逆模型 

  • 通过维护一个优先级序列,可以更有效的实现此算法 

                         

实时动态规划

  • 思路: 只选择与智能体当前任务密切相关的状态 

  • 借助智能体的经验来指导选择状态 

  • 在每步之后获得

  • Backup状态 st: 

 

/**********孔令志(52-58)**********/ 


用采样Backup

在后续课程中,我们将考虑一些使用采用得到的估计值来backup的方法。 

借助采样获得的收益和状态跳转 来替换收益函数R和动态过渡函数(transition dynamicsP 

优势: 

  • 无需模型:不需要MDP的先验知识 

  • 通过采样降低维度灾难的风险 

  • 每次backup计算成本是恒定的,独立于问题规模。 


近似动态规划

近似价值函数 

用一个已知形式的函数v去近似价值函数v 

用动态规划去得到v的参数 

编者注:当状态太多时,为每个状态分配一个变量会使得问题规模太大。一种解决的思路是,用一个参数化的函数去近似value function,然后RL问题就变成了一个参数估计问题。第7讲开始介绍。) 



贝尔曼方程

的LP形式


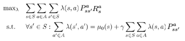
线性规划(Linear programming, LP) 角度理解贝尔曼最优方程

回顾前文,在价值迭代时,我们实际上是在求解贝尔方程构成的方程组: 

这可以表示成一个线性规划问题: 

定理:上述优化问题的解,就是对应MDP的解 


定理证明

将贝尔方程的操作记为F,即:之后线性规划问题能被写为: 

                                                    

LP的任意解都满足V>=F(V)。下面说明,V>=F(V)即说明V=V*. 

 首先因为F是单调递增的,因此如果V>=F(V),就有F(V)>=FF(V)),通过重复应用上述关系,有: 

 

也即V=V* 


对偶问题-引出Q

这个线性规划问题的对偶问题有如下形式: 

   

其目标函数是在取预期奖励的折扣总数的最大值。 

其约束正好说明了,对偶变量 

 

正是我们的动作价值函数Q(s,a)


(本讲完)

编者注:深度增强学习正处在一个快速发展、迈向应用的时期。它在许多问题上取得了巨大成功,在另一些问题(比如实物的控制问题)上仍面临挑战。不论如何,了解学习这一工具是对机器人专业朋友们很有价值的一件事。


我们的翻译志愿者团队已经超过80人,整个学期的课件每份都已经至少有三人次负责,我们会尽力保证翻译质量。第四五六讲课件已经在翻译中。



CMU 10703 课程网站有更新,请点击阅读原文访问。


英文原版课件下载:请在后台回复“10703”获取下载链接。


本文由微信公众号 机器人学家 编译+整理成文。


转载请联系我们获得许可即可,不尊重作者劳动成果的行为会被举报。



手机长按下图二维码即可关注。


登录查看更多
1

相关内容

【IJCAI2020-华为诺亚】面向深度强化学习的策略迁移框架
专知会员服务
28+阅读 · 2020年5月25日
《强化学习》简介小册,24页pdf
专知会员服务
277+阅读 · 2020年4月19日
【Texas 大学】强化学习领域的课程学习:一个框架和综述
专知会员服务
73+阅读 · 2020年3月22日
【综述】自动驾驶领域中的强化学习,附18页论文下载
专知会员服务
176+阅读 · 2020年2月8日
【强化学习】深度强化学习初学者指南
专知会员服务
184+阅读 · 2019年12月14日
强化学习扫盲贴:从Q-learning到DQN
夕小瑶的卖萌屋
52+阅读 · 2019年10月13日
深度强化学习入门,这一篇就够了!
机器学习算法与Python学习
28+阅读 · 2018年8月17日
强化学习——蒙特卡洛方法介绍
论智
12+阅读 · 2018年6月3日
一文学习基于蒙特卡罗的强化学习方法(送书)
人工智能头条
7+阅读 · 2018年3月13日
【强化学习】强化学习/增强学习/再励学习介绍
产业智能官
10+阅读 · 2018年2月23日
【强化学习】易忽略的强化学习知识之基础知识及MDP
产业智能官
19+阅读 · 2017年12月22日
Do RNN and LSTM have Long Memory?
Arxiv
19+阅读 · 2020年6月10日
Parsimonious Bayesian deep networks
Arxiv
5+阅读 · 2018年10月17日
Arxiv
8+阅读 · 2018年6月19日
Arxiv
4+阅读 · 2018年5月4日
Arxiv
11+阅读 · 2018年4月25日
Arxiv
5+阅读 · 2017年12月14日
VIP会员
相关资讯
强化学习扫盲贴:从Q-learning到DQN
夕小瑶的卖萌屋
52+阅读 · 2019年10月13日
深度强化学习入门,这一篇就够了!
机器学习算法与Python学习
28+阅读 · 2018年8月17日
强化学习——蒙特卡洛方法介绍
论智
12+阅读 · 2018年6月3日
一文学习基于蒙特卡罗的强化学习方法(送书)
人工智能头条
7+阅读 · 2018年3月13日
【强化学习】强化学习/增强学习/再励学习介绍
产业智能官
10+阅读 · 2018年2月23日
【强化学习】易忽略的强化学习知识之基础知识及MDP
产业智能官
19+阅读 · 2017年12月22日
相关论文
Do RNN and LSTM have Long Memory?
Arxiv
19+阅读 · 2020年6月10日
Parsimonious Bayesian deep networks
Arxiv
5+阅读 · 2018年10月17日
Arxiv
8+阅读 · 2018年6月19日
Arxiv
4+阅读 · 2018年5月4日
Arxiv
11+阅读 · 2018年4月25日
Arxiv
5+阅读 · 2017年12月14日
Top
微信扫码咨询专知VIP会员