深入了解LDA以及其在推荐系统上的引用

2020 年 4 月 8 日 AINLP


作者:Kung-Hsiang, Huang

编译:ronghuaiyang

导读

LDA是文档分类上的经典算法,如何应用到推荐系统上,大家可以看看。

Latent Dirichlet Allocation(LDA)是一种无监督发现语料库底层主题的主题建模算法。它已被广泛应用于各种领域,特别是在自然语言处理和推荐系统中。这篇博文将带你从LDA的概况介绍到详细的技术说明,最后我们将讨论LDA在推荐系统上的应用!

概要介绍

LDA是语料库/文档的生成概率模型。它基于“词袋”假设,即词语和文档是可互换的。也就是说,忽略了文档中文字的顺序,或者忽略了文档的顺序。其基本思想是每个文档都是由不同的主题组合而成,而每个主题的是通过单词的分布来描述。

每个文档都由一个主题分布组成

每个主题都用单词的分布来表示

LDA假设单个文档的生成都是通过从每个文档中抽取主题,然后从每个抽取的主题中抽取单词来生成的。为了获得单词和主题的适当分布,我们可以使用Gibbs Sampling、Maximum a Posteriori (MAP)或expect Maximization (EM)来训练LDA。

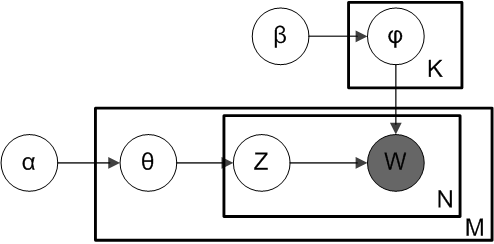
Plate表示法

为了更深入一点,让我们讨论一下LDA的符号表示法。在贝叶斯推理中,Plate表示法是一种图形化的表示随机变量抽样的重复过程的方法。每个plate可以看作是一个“循环”,其中plate右下角的变量表示循环的迭代次数。下面是LDA的Plate表示法。

LDA plate 表示法

在上面的图中有两个组件。上面的plate,有K个主题,这些主题的词的狄利克雷分布由超参数β控制。同样,下面的表格描述了有M个文档,每个文档包含N个单词。灰色的圆圈w是观察到的单词,圆圈代表不同的潜在变量。z指的是与w相关联的主题,θ是文档主题的狄利克雷分布,由另一个超参数⍺控制。

生成过程

现在我们大致了解了如何通过plate表示法来生成文档。让我们用数学来表示它。

  1. 从狄利克雷分布(θ_i ~ Dir(⍺),i从1到M)中采样θ
  2. 从另一个狄利克雷分布(φ_k ~ Dir(β) k从1到K)中采样φ
  3. z_ij ~ Multinomial(θ_i) 采样,从w_ij ~ Multinomial(φ_z_ij) 中采样,i从1到M,j从1到N

以《纽约时报》为例。首先,对于每个新闻文章,我们对整个文档的主题分布θ_i_进行采样。对每个主题中词的分布φ_k_进行采样。然后,对于每个文档中的词j,我们从给定的主题分布Multinomial(θ_i)中得到一个主题z_ij,然后从给定的词的分布Multinomial(φ_z_ij)中的w_ij,并基于w_ij采样得到一个单词。这个过程通过下面的图来表示。

生成过程的可视化

狄利克雷分布

我们一直把狄利克雷作为黑盒子,却没有给出任何解释。让我们简要地讨论一下狄利克雷分布背后的直觉。一个k维狄利克雷分布由一个k维参数向量控制。下面我们展示一个狄利克雷分布的三维例子。基本思想是,alpha值越大,分布被推到中心的概率越大。这种分布使得确定与主题/文档相关联的单词/主题的部分具有很高的灵活性,因为一些主题/文档可能与一组很大的单词/主题相关联,而其他的可能不相关联。

狄利克雷分布

学习

学习LDA模型的问题称为“推理”问题。给定观测变量w,以及超参数⍺和β,我们如何估计潜变量的后验概率。

然而,分母中计算的积分在计算上是很麻烦的。

因此,必须使用近似推理。常用的方法是吉布斯抽样和变分推论。在这篇文章中,我们将重点讨论前者。

吉布斯抽样

利用吉布斯采样,我们可以避免直接计算棘手的积分。基本的想法是,我们想从p (w |⍺,β)中采样来估计这个分布,但我们不能直接这样做。相反,Gibbs抽样允许我们迭代地计算一个潜在变量的后验值,同时固定所有其他变量。通过这种方式,我们可以获得后验分布p(θ, z, φ| w, ⍺, β)。

对于每次迭代,我们交替采样w,⍺,β,并固定所有其他变量。算法如下面的伪代码所示:

For i from 1 to MaxIter:

  1. Sample θ_i} ~p(θz= z_{i-1, φ = φ_{i-1}w, ⍺, β)
  2. Sample z_i} ~p(zθ =θ_{i, φ = φ_{i-1}w, ⍺, β)
  3. Sample φ_i} ~p(φθ = θ_{i, z= z_{i}w, ⍺, β)

由于来自早期迭代的样本不稳定,我们将丢弃样本的第一个B次迭代,称为“老化”。

LDA在推荐系统上的应用

LDA通常用于两种情况下的推荐系统:

  1. 协同过滤(CF)

  2. 基于内容的推荐

协同过滤

当LDA应用于基于物品的CF时,物品和用户类似于我们一直在讨论的文档和单词(基于用户的CF正好相反)。换句话说,每个物品都与用户组(主题)上的分布相关联,每个用户组都是用户的分布。使用LDA,我们可以发现用户和物品之间的隐藏关系。

基于内容的推荐

第二个应用是基于内容的推荐,非常简单。我们不只是利用普通的TF-IDF来提取每个物品的文本数据的特征向量,而且还通过LDA来对这些文本数据的主题进行建模。下面提供了用于训练LDA和推断给定文档主题的示例代码。

from gensim.test.utils import common_texts
from gensim.corpora.dictionary import Dictionary
from gensim.models import LdaModel

# Create a corpus from a list of texts
common_dictionary = Dictionary(common_texts)
common_corpus = [common_dictionary.doc2bow(text) for text in common_texts]

# Train the model on the corpus.
lda = LdaModel(common_corpus, num_topics=10)
训练LDA
# infer the topic distribution of the second corpus.
lda[common_corpus[1]]
'''
output
[(0, 0.014287902),
(1, 0.014287437),
(2, 0.014287902),
(3, 0.014285716),
(4, 0.014285716),
(5, 0.014285714),
(6, 0.014285716),
(7, 0.014285716),
(8, 0.014289378),
(9, 0.87141883)]
'''

推断主题的分布向量

总结

在这篇博文中,我们讨论了LDA从高层到详细的数学解释。另外,我们还讨论了LDA在推荐系统上的应用,并提供了如何使用的示例代码。我希望这篇文章对你有帮助,下次再见:

END

英文原文:https://blog.rosetta.ai/a-deep-dive-into-latent-dirichlet-allocation-lda-and-its-applications-on-recommender-system-e2e8ea5e661c

推荐阅读

AINLP年度阅读收藏清单

数学之美中盛赞的 Michael Collins 教授,他的NLP课程要不要收藏?

自动作诗机&藏头诗生成器:五言、七言、绝句、律诗全了

From Word Embeddings To Document Distances 阅读笔记

模型压缩实践系列之——bert-of-theseus,一个非常亲民的bert压缩方法

这门斯坦福大学自然语言处理经典入门课,我放到B站了

可解释性论文阅读笔记1-Tree Regularization

征稿启示 | 稿费+GPU算力+星球嘉宾一个都不少

关于AINLP

AINLP 是一个有趣有AI的自然语言处理社区,专注于 AI、NLP、机器学习、深度学习、推荐算法等相关技术的分享,主题包括文本摘要、智能问答、聊天机器人、机器翻译、自动生成、知识图谱、预训练模型、推荐系统、计算广告、招聘信息、求职经验分享等,欢迎关注!加技术交流群请添加AINLPer(id:ainlper),备注工作/研究方向+加群目的。




登录查看更多
0

相关内容

耶鲁大学《分布式系统理论》笔记,491页pdf
专知会员服务
46+阅读 · 2020年7月29日
【经典书】概率统计导论第五版,730页pdf
专知会员服务
249+阅读 · 2020年7月28日
一份简明有趣的Python学习教程,42页pdf
专知会员服务
77+阅读 · 2020年6月22日
机器学习速查手册,135页pdf
专知会员服务
345+阅读 · 2020年3月15日
近期必读的12篇KDD 2019【图神经网络(GNN)】相关论文
专知会员服务
63+阅读 · 2020年1月10日
强化学习最新教程,17页pdf
专知会员服务
182+阅读 · 2019年10月11日
【新书】Python编程基础,669页pdf
专知会员服务
197+阅读 · 2019年10月10日
Python中的端对端主题建模: 隐含狄利克雷分布(LDA)
Python程序员
9+阅读 · 2019年5月15日
干货 | 一文详解隐含狄利克雷分布(LDA)
人工智能头条
10+阅读 · 2018年7月8日
一文了解采样方法
AI100
5+阅读 · 2018年7月6日
【干货】深入理解变分自编码器
专知
21+阅读 · 2018年3月22日
LibRec 每周算法:LDA主题模型
LibRec智能推荐
29+阅读 · 2017年12月4日
专栏 | 技术干货:一文详解LDA主题模型
机器之心
28+阅读 · 2017年12月1日
基于LDA的主题模型实践(二 )MCMC--吉布斯采样
机器学习深度学习实战原创交流
25+阅读 · 2015年9月17日
基于LDA的主题模型实践(一)
机器学习深度学习实战原创交流
20+阅读 · 2015年9月9日
Arxiv
21+阅读 · 2019年8月21日
Arxiv
8+阅读 · 2019年2月15日
Parsimonious Bayesian deep networks
Arxiv
5+阅读 · 2018年10月17日
Arxiv
3+阅读 · 2018年3月13日
Arxiv
4+阅读 · 2018年1月15日
Arxiv
12+阅读 · 2018年1月12日
VIP会员
相关VIP内容
耶鲁大学《分布式系统理论》笔记,491页pdf
专知会员服务
46+阅读 · 2020年7月29日
【经典书】概率统计导论第五版,730页pdf
专知会员服务
249+阅读 · 2020年7月28日
一份简明有趣的Python学习教程,42页pdf
专知会员服务
77+阅读 · 2020年6月22日
机器学习速查手册,135页pdf
专知会员服务
345+阅读 · 2020年3月15日
近期必读的12篇KDD 2019【图神经网络(GNN)】相关论文
专知会员服务
63+阅读 · 2020年1月10日
强化学习最新教程,17页pdf
专知会员服务
182+阅读 · 2019年10月11日
【新书】Python编程基础,669页pdf
专知会员服务
197+阅读 · 2019年10月10日
相关资讯
Python中的端对端主题建模: 隐含狄利克雷分布(LDA)
Python程序员
9+阅读 · 2019年5月15日
干货 | 一文详解隐含狄利克雷分布(LDA)
人工智能头条
10+阅读 · 2018年7月8日
一文了解采样方法
AI100
5+阅读 · 2018年7月6日
【干货】深入理解变分自编码器
专知
21+阅读 · 2018年3月22日
LibRec 每周算法:LDA主题模型
LibRec智能推荐
29+阅读 · 2017年12月4日
专栏 | 技术干货:一文详解LDA主题模型
机器之心
28+阅读 · 2017年12月1日
基于LDA的主题模型实践(二 )MCMC--吉布斯采样
机器学习深度学习实战原创交流
25+阅读 · 2015年9月17日
基于LDA的主题模型实践(一)
机器学习深度学习实战原创交流
20+阅读 · 2015年9月9日
相关论文
Arxiv
21+阅读 · 2019年8月21日
Arxiv
8+阅读 · 2019年2月15日
Parsimonious Bayesian deep networks
Arxiv
5+阅读 · 2018年10月17日
Arxiv
3+阅读 · 2018年3月13日
Arxiv
4+阅读 · 2018年1月15日
Arxiv
12+阅读 · 2018年1月12日
Top
微信扫码咨询专知VIP会员