将隐式神经表示(INR)用于2D图像

2022 年 3 月 12 日 PaperWeekly



©PaperWeekly 原创 · 作者 | 张一帆
学校 | 中科院自动化所博士生
研究方向 | 计算机视觉

以图像为例,其最常见的表示方式为二维空间上的离散像素点。但是,在真实世界中,我们看到的世界可以认为是连续的,或者近似连续。于是,可以考虑使用一个连续函数来表示图像的真实状态,然而我们无从得知这个连续函数的准确形式,因此有人提出用神经网络来逼近这个连续函数,这种表示方法被称为“隐式神经表示“ (Implicit Neural Representation,INR)。

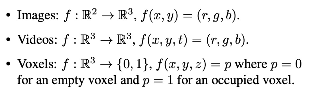
举几个例子,图像、视频、体素,都能用 INR 来表示,其数学表达如下:

对于图像,INR 函数将二维坐标映射到 rgb 值。

对于视频,INR 函数将时刻 t 以及图像二维坐标 xy 映射到 rgb 值。对于一个三维形状,INR 函数将三维坐标 xyz 映射到 0 或 1,表示空间中的某一位置处于物体内部还是外部。当然还有其他形式,如 NERF 将 xyz 映射到 rgb 和 sigma。总而言之,这个函数就是将坐标映射到目标值。一旦该函数确定,那么一个图像/视频/体素就确定了。

本文挑选了近几年来 INR 用于 2D 图像的文章,对其发展做一个大致的介绍。本文引言引用自知乎用户@晏轶超 的文章。


SIREN


论文标题:

Implicit Neural Representations with Periodic Activation Functions

论文链接:

https://arxiv.org/abs/2006.09661

收录会议:

NeurIPS 2020

项目地址:

https://vsitzmann.github.io/siren/

虽然 INR 非常的有效而且与传统方法相比有很多好处,但是目前的网络架构不能有效的非常详细的对信号进行建模,而且无法对信号的高阶导数进行求解,而高阶导数又是求解偏微分方程的必经之路,这就大大的限制了 INR 表达在物理信号上的使用。
而这些缺点主要是因为传统网络大多数使用了 ReLU,TanH 等激活函数,本文使用周期性的激活函数(sin 函数),并将网络称之为 SIREN,本文发现 SIREN 非常适合于表示复杂的自然信号及其导数,而且在 2D,3D 信号表示上也比传统激活函数好很多。



X-Fields



论文标题:
X-Fields: Implicit Neural View-, Light- and Time-Image Interpolation

论文链接:

https://arxiv.org/abs/2010.00450

收录会议:

SIGGRAPH Asia 2020

项目地址:

https://xfields.mpi-inf.mpg.de/

它提出了一种新颖的方法来对 2D 图像的时间、光线和视图进行无缝插值,即使用稀疏数据 X-field。这个 X-field 是通过学习一个神经网络来表征,将时间、光线或视图坐标映射到 2D 图像上。

传感器从不同的点(视频)、角度(光场)或在变化的照明(反射场)下捕获场景的图像。人们可以利用这种多样化的信息来改善 VR(虚拟现实)的体验。利用此信息,可以插入新视图、光线等,实现从一个场景到另一个场景的无缝过渡。但是,无缝插值需要密集采样,从而导致过多的存储、捕获和处理需求。稀疏采样是一种替代方法,但很明显,这需要在时间、光线和视野范围内进行精确插值。

X-field 是跨不同视图、时间或照明条件(即视频、光场、反射场或其组合)拍摄的一组 2D 图像。作者提出了一种基于神经网络的架构,可以表示这种高维 X-fields。根据下面的图 1,可以理解本文的关键所在:利用在不同条件和坐标下观察到的稀疏图像(在这种情况下为时间),来训练神经网络(映射),可以在提供空间、时间或光线坐标作为输入的情况下,生成观察到的样本图像作为输出。对于未观察到的坐标,将对输出进行如实插值(如 GIF 所示)。

Overview of the Proposed Method

具体来说,X-Fields 就是学一个函数:

这里 是参数,函数将 维的输入映射为有 个像素值的 2D RGB 图像。X-Field 维度取决于捕获方式,四维的话就包括 即 2D 图像的坐标,时间维度和光照角度。
我们可将 X-field 视为高维连续空间。我们有有限的、非常稀疏的输入图像。这种稀疏观察到的 X-Field 坐标可以表示为 ,在已知坐标 处捕获了图像 很稀疏,即很小,例如 等。例如,给定一个 的光场图像序列,输入是 2D 坐标 ,其中 。在测试期间,我们可以为 给出 之间的任意连续值,为 给出 之间的任意连续值。学习的神经网络架构将如实地在给定范围内进行插值。
总之,这里训练了一个 架构,以将向量 映射到捕获的图像 ,同时也希望得到对于未观察到的向量 产生合理图像


Architecture Design

本文的网络架构也是一个创新点,主要通过四个步骤来实现:

  1. 分离阴影和反照率:阴影是指在 3D 模型(3D 计算机图形学领域)或插图(2D 计算机图形学范围)中,通过改变暗度来进行深度感知的描述。反照率是入射光从表面反射出去的比例。换句话说,它是物体的整体亮度。
  2. 插值图像是变形图像(即训练数据出现的图像)的加权组合。
  3. 使用神经网络表示“flow(流)”。
  4. 解决不连续问题。

这部分比较复杂具体参见原文,本文在各个数据集上实现了非常平滑的插值,效果比目前的 SOTA 好很多。


LIIF



论文标题:
Learning Continuous Image Representation with Local Implicit Image Function

论文链接:

https://arxiv.org/abs/2012.09161

收录会议:

CVPR 2021

项目地址:

https://github.com/yinboc/liif

本次提出局部隐函数(Local Implicit Image Function,LIIF),以一个图像坐标和坐标周围的二维深度特征作为输入,预测给定坐标处的 RGB 值作为输出。由于坐标是连续的,所以 LIIF 可以呈现出任意分辨率。作者通过超分辨率的自监督任务来训练编码器和 LIIF 表示,以生成基于像素图像的连续表示。连续表示可以在任意分辨率下呈现,在没有提供训练任务的情况下,甚至可以放大到 ×30 更高的分辨率。

本文采用的是 encoder-decoder 架构,即使用一个 encoder 对所有的 object 预测 latent vectors,然后所有 object 共享一个 decoder,对于给定的坐标,根据坐标信息查询该坐标附近的局部 latent codes 作为函数输入,预测其 RGB 值。

公式化的描述,每个 image 会被表示为一个 2D 的特征图 。然后一个 decoder 用来进行预测:

很好理解,二维坐标。 是本文理解的一个要点,即该位置附近的局部信息。
注意我们的图像是 的,比特征图要大,因此需要 decoder 进行一定的转换。即如下所示:

这里的 是距离位置 最近的 latent code, 所在的位置。也就是说每个 latent code 表示连续图像的一个局部信息,负责预测距离它最近的一组坐标的信号。
为了提升丰富 latent 蕴含的信息,作者进行了 feature unfolding,即将 范围内的 latent 进行连结。边角的地方进行 0 填充。

但是此时预测过程还有一个严重的问题,那就是不连续,如下图所示,因为 位置的临近信息只依赖于与他最近的那个 latent vector(此图中是 ),因此当 上移或者左移超过虚线的时候,预测结果就会立刻改变,即一个很小的输入扰动就会造成非常大的结果误差,这是不合理的,因此作者将最终的预测结果改为使用临近四个位置 latent code 的加权和。

网络很简单,先将数据预处理成高分辨率和低分辨率的图片,对低分辨率图片过一个 encoder,得到 feature map,然后输入高分辨率图像坐标(x,y)和低分辨率的 feature map,使用一个 MLP 预测高分辨率的 rgb 值。

最后 INR 的 idea 确实非常惊艳,其表达能力也很出众,有着以下几个卓越的特点:1)输入输出自然对其,与数据的形式(1-D,2-D,3-D)无关;2)与训练数据的分辨率无关。INR 的思想已经被用在了超分,3D 渲染,跨模态生成等很多领域,相信这种对数据建模的思想还有这其他重要用途。


特别鸣谢

感谢 TCCI 天桥脑科学研究院对于 PaperWeekly 的支持。TCCI 关注大脑探知、大脑功能和大脑健康。



更多阅读




#投 稿 通 道#

 让你的文字被更多人看到 



如何才能让更多的优质内容以更短路径到达读者群体,缩短读者寻找优质内容的成本呢?答案就是:你不认识的人。


总有一些你不认识的人,知道你想知道的东西。PaperWeekly 或许可以成为一座桥梁,促使不同背景、不同方向的学者和学术灵感相互碰撞,迸发出更多的可能性。 


PaperWeekly 鼓励高校实验室或个人,在我们的平台上分享各类优质内容,可以是最新论文解读,也可以是学术热点剖析科研心得竞赛经验讲解等。我们的目的只有一个,让知识真正流动起来。


📝 稿件基本要求:

• 文章确系个人原创作品,未曾在公开渠道发表,如为其他平台已发表或待发表的文章,请明确标注 

• 稿件建议以 markdown 格式撰写,文中配图以附件形式发送,要求图片清晰,无版权问题

• PaperWeekly 尊重原作者署名权,并将为每篇被采纳的原创首发稿件,提供业内具有竞争力稿酬,具体依据文章阅读量和文章质量阶梯制结算


📬 投稿通道:

• 投稿邮箱:hr@paperweekly.site 

• 来稿请备注即时联系方式(微信),以便我们在稿件选用的第一时间联系作者

• 您也可以直接添加小编微信(pwbot02)快速投稿,备注:姓名-投稿


△长按添加PaperWeekly小编




🔍


现在,在「知乎」也能找到我们了

进入知乎首页搜索「PaperWeekly」

点击「关注」订阅我们的专栏吧



·

登录查看更多
0

相关内容

在人工神经网络中,给定一个输入或一组输入,节点的激活函数定义该节点的输出。一个标准集成电路可以看作是一个由激活函数组成的数字网络,根据输入的不同,激活函数可以是开(1)或关(0)。这类似于神经网络中的线性感知器的行为。然而,只有非线性激活函数允许这样的网络只使用少量的节点来计算重要问题,并且这样的激活函数被称为非线性。
NeurIPS 2021 | 通过动态图评分匹配预测分子构象
专知会员服务
22+阅读 · 2021年12月4日
【NeurIPS2021】NeRV:视频的神经表示
专知会员服务
12+阅读 · 2021年10月28日
专知会员服务
11+阅读 · 2021年10月3日
专知会员服务
74+阅读 · 2021年5月28日
Diganta Misra等人提出新激活函数Mish,在一些任务上超越RuLU
专知会员服务
15+阅读 · 2019年10月15日
WSDM'22「微软」图学习如何用于会话推荐?
图与推荐
0+阅读 · 2022年1月18日
万字长文带你看尽深度学习中的各种卷积网络
AI科技评论
11+阅读 · 2019年2月19日
国家自然科学基金
0+阅读 · 2015年12月31日
国家自然科学基金
6+阅读 · 2014年12月31日
国家自然科学基金
1+阅读 · 2012年12月31日
国家自然科学基金
1+阅读 · 2011年12月31日
国家自然科学基金
0+阅读 · 2011年12月31日
国家自然科学基金
0+阅读 · 2010年12月31日
国家自然科学基金
0+阅读 · 2009年12月31日
国家自然科学基金
0+阅读 · 2009年12月31日
国家自然科学基金
2+阅读 · 2009年12月31日
国家自然科学基金
0+阅读 · 2008年12月31日
Arxiv
0+阅读 · 2022年4月17日
2D Human Pose Estimation: A Survey
Arxiv
0+阅读 · 2022年4月15日
Arxiv
20+阅读 · 2019年11月23日
Arxiv
24+阅读 · 2018年10月24日
Arxiv
29+阅读 · 2018年4月6日
VIP会员
相关基金
国家自然科学基金
0+阅读 · 2015年12月31日
国家自然科学基金
6+阅读 · 2014年12月31日
国家自然科学基金
1+阅读 · 2012年12月31日
国家自然科学基金
1+阅读 · 2011年12月31日
国家自然科学基金
0+阅读 · 2011年12月31日
国家自然科学基金
0+阅读 · 2010年12月31日
国家自然科学基金
0+阅读 · 2009年12月31日
国家自然科学基金
0+阅读 · 2009年12月31日
国家自然科学基金
2+阅读 · 2009年12月31日
国家自然科学基金
0+阅读 · 2008年12月31日
Top
微信扫码咨询专知VIP会员