机器学习和深度学习中值得弄清楚的一些问题

2019 年 5 月 21 日 CVer

点击上方“CVer”,选择加"星标"或“置顶”

重磅干货,第一时间送达

本文转载自微信公众号:SIGAI


问题1

线性回归的损失函数是凸函数的证明

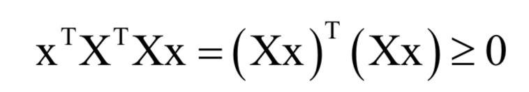
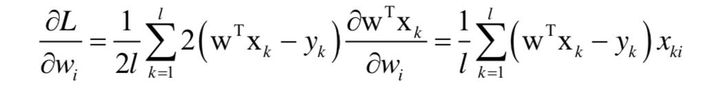
假设有l个训练样本,特征向量为xi,标签值为yi,这里使用均方误差(MSE),线性回归训练时优化的目标为:

损失函数对权重向量w的一阶偏导数为:

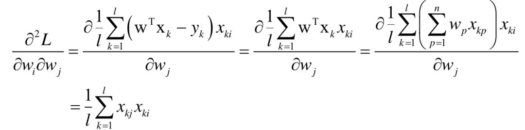
损失函数对权重向量w的二阶偏导数为:

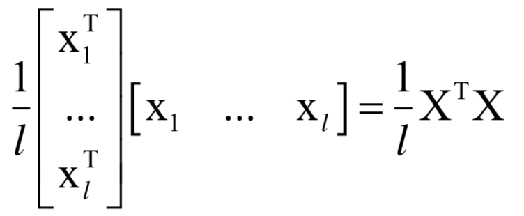
因此目标函数的Hessian矩阵为:

写成矩阵形式为:

其中X是所有样本的特征向量按照列构成的矩阵。对于任意不为0的向量x,有:

因此Hessian矩阵半正定,目标函数是凸函数。

问题2

L1和L2正则化的选定标准?

这个问题没有理论上的定论。在神经网络中我们一般选择L2正则化。以线性回归为例,使用L2正则化的岭回归和和使用L1正则化的LASSO回归都有应用。如果使用L2正则化,则正则化项的梯度值为w;如果是L1正则化,则正则化项的梯度值为sgn(w)。一般认为,L1正则化的结果更为稀疏。可以证明,两种正则化项都是凸函数。

 

问题3

什么时候用朴素贝叶斯,什么时候用正态贝叶斯?

一般我们都用朴素贝叶斯,因为它计算简单。除非特征向量维数不高、特征分量之间存在严重的相关性我们才用正态贝叶斯,如果特征向量是n维的,正态贝叶斯在训练时需要计算n阶矩阵的逆矩阵和行列式,这非常耗时。


问题4

可否请雷老师讲解一下discriminative classifier 和generative classifier的异同?

判别模型直接得到预测函数f(x),或者直接计算概率值p(y|x),比如SVM和logistic回归,softmax回归。SVM直接得到分类超平面的方程,logistic回归和softmax回归,以及最后一层是softmax层的神经网络,直接根据输入向量x得到它属于每一类的概率值p(y|x)。判别模型只关心决策面,而不管样本的概率分布。生成模型计算p(x, y)或者p(x|y) ,通俗来说,生成模型假设每个类的样本服从某种概率分布,对这个概率分布进行建模。


问题5

雷老师下回可以分享一下自己的学习方法吗? 机器学习的内容又多又难,涉及理论与实践,很容易碰到问题卡壳的情况。

首先要确定:卡壳在什么地方?数学公式不理解?算法的思想和原理不理解?还是算法的实现细节不清楚?


如果是数学知识欠缺,或者不能理解,需要先去补数学。如果是对机器学习算法本身使用的思想,思路不理解,则重点去推敲算法的思路。如果是觉得算法太抽象,则把算法形象化,用生动的例子来理解,或者看直观的实验结果。配合实验,实践,能更清楚的理解算法的效果,实现,细节问题。


问题6

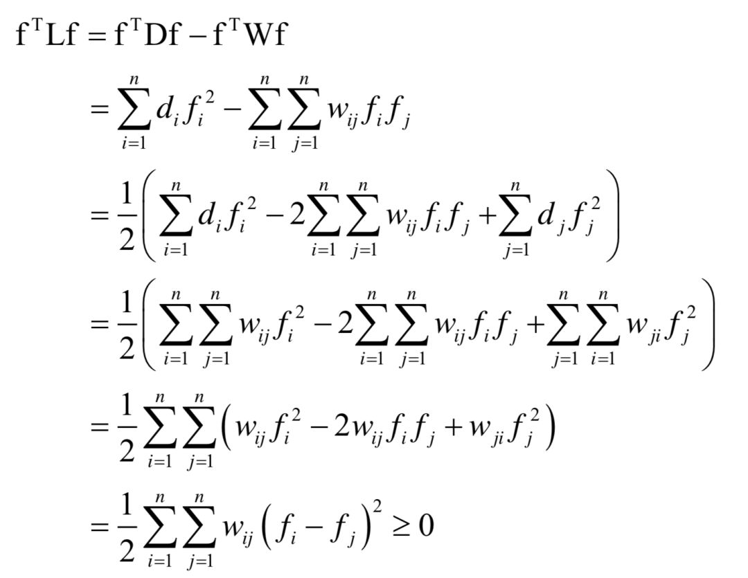
流形学习,拉普拉斯特征映射,证明拉普拉斯矩阵半正定

假设L是图的拉普拉斯矩阵,D是加权度对角矩阵,W是邻接矩阵。对于任意不为0的向量f,有:

因此拉普拉斯矩阵半正定。这里矩阵D的对角线元素是矩阵W的每一行元素的和。


问题7

线性判别分析:优化目标有冗余,这个冗余怎么理解呢?

线性判别分析优化的目标函数为:

如果向量w是最优解,则将其乘以不为0的系数k之后,向量kw仍然是最优解,证明如下:

从几何上看,w可kw这两个向量表示的是一个方向,如果w是最佳投影方向,则kw还是这个方向:

 


问题8

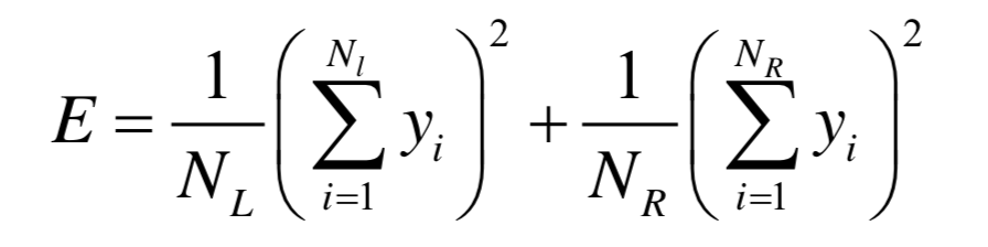
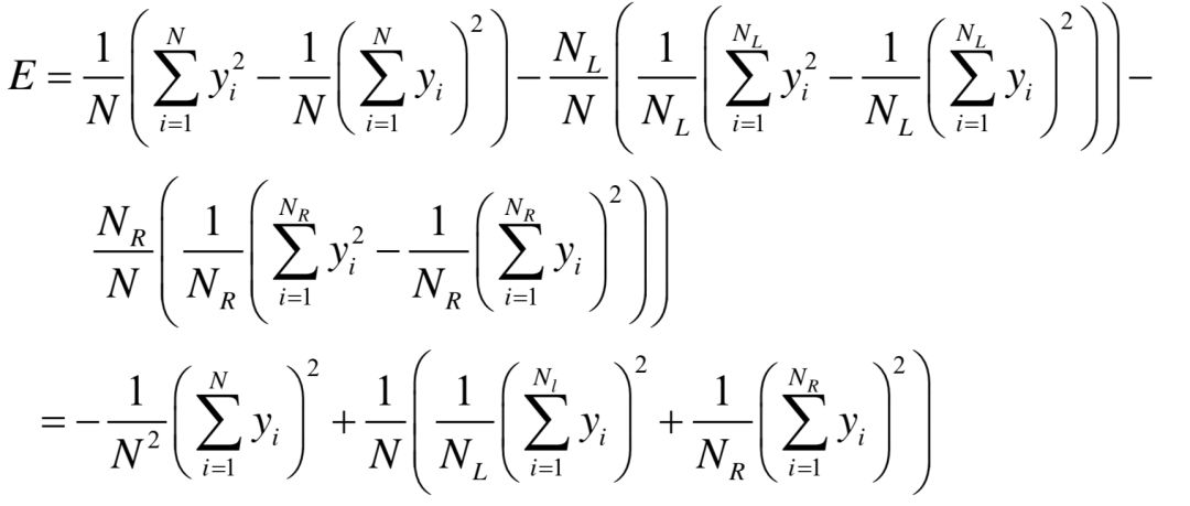
决策树,如果是回归树,在寻找最佳分裂时的标准

对于回归树,寻找最佳分裂的标准是分裂之后的回归误差最小化。这等价于让分裂之前的回归误差减去分裂之后的回归误差最大化:

展开之后为:

由于前面的都是常数,因此这等价于将下面的值最大化:



问题9

抽样误差是怎么判定的?能否消除抽样误差?

只要抽样的样本不是整个样本空间,理论上就会有抽样误差,只是是否严重而已。对于一个一般性的数据集,无法从理论上消除抽样误差。在机器学习中,我们无法得到所有可能的训练样本,只能从中抽取一部分,一般要让样本尽量有代表性、全面。


问题10

卷积神经网络中的w到底是怎么更新的,我知道利用梯度下降法和误差函数可以更新w值,但是对具体更新的过程还不是很理解。比如每次怎么调整,是一层一层调整还是整体调整,调整的结果是遵循最小化误差函数,但是过程中怎么能体现出来?

反向传播时对每一层计算出参数梯度值之后立即更新;所有层都计算出梯度值之后一起更新,这两种方式都是可以的。所有层的参数都按照梯度下降法更新完一轮,才算一次梯度下降法迭代。


问题11

对于凸优化问题的理解,我自己感觉这个很难实现,首先实际问题中有许多问题是不知道约束问题和目标函数的,不知道是不是我做的图像识别的问题,我之前对于目标函数的认识就是使用softmax的交叉损失函数,这里可能是我自己的理解不够吧,还需要老师给点提示。

所有机器学习算法的优化目标函数都是确定的,如果带有约束条件,约束条件也是确定的,不会存在不知道目标函数和约束条件的算法


问题12

如何选择机器学习算法是映射函数f(x)?

映射函数的选取没有一个严格的理论。神经网络,决策树可以拟合任意目标函数,但决策树在高维空间容易过拟合,即遇到维数灾难问题。神经网络的结构和激活函数确定之后,通过调节权重和偏置项可以得到不同的函数。决策树也是如此,不同的树结构代表不同的函数,而在训练开始的时候我们并不知道函数具体是什么样子的。其他的算法,函数都是确定的,如logistic回归,SVM,我们能调节的只有它们的参数。每类问题我们都要考虑精度,速度来选择适合它的函数。


问题13

梯度下降法的总结

1.为什么需要学习率?保证泰勒展开在x的邻域内进行,从而可以忽略高次项。

2.只要没有到达驻点,每次迭代函数值一定能下降,前提是学习率设置合理。

3.迭代终止的判定规则。达到最大迭代次数,或者梯度充分接近于0。

4.只能保证找到梯度为0的点,不能保证找到极小值点,更不能保证找到全局极小值点。


梯度下降法的改进型,本质上都只用了梯度即一阶导数信息,区别在于构造更新项的公式不同。


问题14

牛顿法的总结

1.不能保证每次迭代函数值下降。

2.不能保证收敛。

3.学习率的设定-直线搜索。

4.迭代终止的判定规则。达到最大迭代次数,或者梯度充分接近于0。

5.只能保证找到梯度为0的点,不能保证找到极小值点,更不能保证找到全局极小值点。


问题15

为什么不能用斜率截距式的方程?

无法表达斜率为正无穷的情况-垂直的直线。直线方程两边同乘以一个不为0的数,还是同一条直线。


问题16

神经网络的正则化项和动量项的比较。

正则化项的作用:缓解过拟合,迫使参数尽可能小。以L2正则化为例:

动量项的作用:加速收敛,减少震荡。计算公式为:

这相当于累积了之前的梯度信息,并且呈指数级衰减。实现时,先加正则化项,计算动量项。

如果你想了解国内各大公司的面试经验、如何内推、学习路线、知识题库、秋招攻略和Offer如何选择等资料的,欢迎加入2019AI算法岗求职大本营(知识星球)


2019AI算法岗求职群(知识星球)

 

本星球不仅面向今年2020届)找工作的人群(研一/研二/大三等),还面向刚入学或已工作的人群。目前已有超过880+位同学加入星球旨在分享AI算法岗的秋招准备攻略(含刷题)、面试经验和内推机会(含提前批)


希望这个星球可以让你少走一些弯路

扫码进星球


如果喜欢面试经验,麻烦给个在看


麻烦给我一个在看

登录查看更多
0

相关内容

在数学,统计学和计算机科学中,尤其是在机器学习和逆问题中,正则化是添加信息以解决不适定问题或防止过度拟合的过程。 正则化适用于不适定的优化问题中的目标函数。
【经典书】机器学习高斯过程,266页pdf
专知会员服务
235+阅读 · 2020年5月2日
Sklearn 与 TensorFlow 机器学习实用指南,385页pdf
专知会员服务
131+阅读 · 2020年3月15日
机器学习速查手册,135页pdf
专知会员服务
345+阅读 · 2020年3月15日
【机器学习课程】Google机器学习速成课程
专知会员服务
170+阅读 · 2019年12月2日
机器学习必备的数学基础有哪些?
人工智能头条
12+阅读 · 2019年10月18日
深度学习面试100题(第71-75题)
七月在线实验室
5+阅读 · 2018年8月2日
吴恩达机器学习课程
平均机器
9+阅读 · 2018年2月5日
机器学习面试题精讲(一)
七月在线实验室
4+阅读 · 2018年1月11日
动手写机器学习算法:SVM支持向量机(附代码)
七月在线实验室
12+阅读 · 2017年12月5日
BAT题库 | 机器学习面试1000题系列(第191~195题)
七月在线实验室
6+阅读 · 2017年11月15日
机器学习(23)之GBDT详解
机器学习算法与Python学习
12+阅读 · 2017年10月25日
BAT机器学习面试1000题系列(第51~55题)
七月在线实验室
10+阅读 · 2017年10月8日
机器学习算法比较
我爱机器学习
4+阅读 · 2016年12月11日
Optimization for deep learning: theory and algorithms
Arxiv
106+阅读 · 2019年12月19日
Paraphrase Generation with Deep Reinforcement Learning
Arxiv
7+阅读 · 2018年5月23日
Arxiv
8+阅读 · 2018年5月15日
Arxiv
4+阅读 · 2018年4月10日
Arxiv
17+阅读 · 2018年4月2日
VIP会员
相关VIP内容
相关资讯
机器学习必备的数学基础有哪些?
人工智能头条
12+阅读 · 2019年10月18日
深度学习面试100题(第71-75题)
七月在线实验室
5+阅读 · 2018年8月2日
吴恩达机器学习课程
平均机器
9+阅读 · 2018年2月5日
机器学习面试题精讲(一)
七月在线实验室
4+阅读 · 2018年1月11日
动手写机器学习算法:SVM支持向量机(附代码)
七月在线实验室
12+阅读 · 2017年12月5日
BAT题库 | 机器学习面试1000题系列(第191~195题)
七月在线实验室
6+阅读 · 2017年11月15日
机器学习(23)之GBDT详解
机器学习算法与Python学习
12+阅读 · 2017年10月25日
BAT机器学习面试1000题系列(第51~55题)
七月在线实验室
10+阅读 · 2017年10月8日
机器学习算法比较
我爱机器学习
4+阅读 · 2016年12月11日
相关论文
Optimization for deep learning: theory and algorithms
Arxiv
106+阅读 · 2019年12月19日
Paraphrase Generation with Deep Reinforcement Learning
Arxiv
7+阅读 · 2018年5月23日
Arxiv
8+阅读 · 2018年5月15日
Arxiv
4+阅读 · 2018年4月10日
Arxiv
17+阅读 · 2018年4月2日
Top
微信扫码咨询专知VIP会员