双中子星的并合及其引力波和电磁信号

2019 年 10 月 14 日 中国物理学会期刊网

作者:肖笛 耿金军 戴子高 (南京大学天文与空间科学学院)


摘要 2017年,轰动世界的引力波事件GW170817被确认来自于双中子星的并合。这是人类历史上首次探测到这种极端、剧烈的天体物理事件。双中子星是两个致密天体——中子星组成的系统,由双恒星系统经历漫长演化后形成。文章将从双中子星并合前、并合过程中与并合后全面地描述这种剧烈的天文现象,走进一段神奇而迤逦的旅程。未来随着引力波观测设备的升级,有望再次看到来自宇宙深处的引力波以及伴随的丰富多彩的电磁信号。


关键词 中子星,引力波,伽马射线暴,千新星


1 中子星是什么?


中子星(Neutron Star,NS),顾名思义,是主要由中子物质组成的星体。它是一种具有极端物理条件的天体,其平均密度与原子核密度相当,约为1014 g/cm3,远远高于我们平常所见的普通物质密度(对比一下,铁的密度仅为7.9 g/cm3)。一茶匙的中子星物质比整个珠穆朗玛峰还要重。一般来说,一颗典型中子星的质量约为1.4 倍的太阳质量(1 M≃2×1033 g),而其半径仅为10 km左右,相当于把整个太阳压缩到一个小型城市的尺度(太阳质量约为地球的33 万倍,半径约为地球的100 倍),可想而知中子星有多么的致密。除了极高密度以外,中子星还具有多种极端性质:首先,其引力场非常强,表面引力场约为地球表面的一千亿倍,而其内部主要依靠中子的简并压对抗自引力。因此,中子星很容易从伴星或者周围介质吸积物质。假如我们的地球靠近一颗中子星的表面,将被其引力场完全撕碎;其次,中子星的典型表面磁场强度约为108—1015 Gs,比地面实验室中能制造的最大磁场高出7 到14 个量级;最后,像Crab 脉冲星(约103年)这么年轻的中子星非常热,观测表明中子星表面温度约为几十万度,其内部温度则更高(几亿度),压强极大,以至于中子通常以超流形式存在。这些极端的物理条件都是地球实验室中无法实现的,因此中子星是研究极端条件下物理规律的理想实验室,一直备受科学界关注。因为与中子星相关的重大观测发现,从1974 年以来先后3 次4 项(即射电脉冲星的发现、双中子星系统的发现、超新星SN1987A中微子的发现以及宇宙致密X射线源的发现)6 人获得诺贝尔物理学奖。


中子星的研究历史可以追寻到20 世纪30 年代。朗道首先预言,如果一个星体比白矮星更加致密,以至于电子的简并压也无法支撑引力,那么电子将和质子紧密结合形成一种中性的粒子,这个星体将主要由这种中性粒子组成。同年,查德威克在实验室中发现中子。1939年Oppenheimer和Volkoff 通过假定自由中子气体,首次求解相对论流体静力学平衡方程,得到中子星的结构和质量。1967 年英国天文学家Bell 与Hewish 利用射电望远镜发现了一种奇怪的周期性射电脉冲信号,后被证认为射电脉冲星,这是人类首次观测到中子星。射电脉冲星即为旋转的中子星(自转周期很快,典型时标为秒甚至毫秒),它在两极区产生束状的射电辐射,随着中子星的自转,束状的射电波扫过我们观测者视线时即能看到对应的脉冲信号,类似于大海上的灯塔(图1)。随着观测设备的不断进步,天文学家目前已经观测到超过2000 颗射电脉冲星。观测资料的累积为我们理解中子星及其相关物理提供了巨大的支持。


图1 孤立中子星的艺术想象图(图片来源于网络)


现代恒星演化理论认为,中子星是大质量恒星死亡后的一种遗留产物。当一颗恒星走完其漫长一生(通常为几百万年到几十亿年),内部的核聚变逐渐停止,再也无法抵抗强大的自引力,其核心将会塌缩,可能会产生一次超新星爆发(Supernova,SN),留下一个致密天体,可能是白矮星或者中子星或者黑洞,这主要取决于这颗恒星在刚进入主序阶段时(Zero Age Main Squence,ZAMS)的质量。一般来说,如果ZAMS质量小于8M,倾向于形成白矮星(White Dwarf,WD),大于20M很可能直接形成黑洞(Black Hole,BH),在这之间的则大概率会形成中子星。我们的银河系内,预估存在108—109颗中子星,如果简单假设中子星的形成率是稳定的,那么大概就是每世纪能形成两颗。然而,我们仅能观测到其中很小部分的中子星。正如前面所说,它们必须磁场很强、自转很快,并且射电辐射束对准地球。另外还有一种可能是在高质量X射线双星系统中观测到中子星,它吸积伴星的物质会产生可观测的X射线辐射。主流观点认为,这种系统很可能就是双中子星(Double Neutron Star,DNS)系统的前身。


2 并合之前——密近双中子星系统


2.1 双中子星系统是如何形成的?


从图2 我们可以直观地了解双中子星系统的形成。在星系中,大部分的恒星以双星系统的形式存在,双星中质量较大的演化较快,率先经历超新星爆发留下一颗中子星。这颗中子星与另外那颗恒星组成双星,恒星表层一部分物质会被吸积到中子星,产生X射线辐射,这样的系统被称为高质量X射线双星系统(High Mass X-ray Binary,HMXB)。然后,另一个恒星演化到晚期进入巨星阶段,半径膨胀,可能会将中子星吞没,形成公共包层结构(Common Envelope,CE)。中子星持续吸积伴星物质,自转速度也发生变化,称为再生中子星(Recycled Neutron Star)。最后,伴星也会经历一次超新星爆发,留下一颗新生中子星,与之前的再生中子星组成双中子星系统。


图2 双中子星系统的形成过程[1]


由以上描述可以想见,即使前提假设两颗恒星的ZAMS质量满足形成中子星的条件,最终要形成一个双中子星系统仍是不容易的,其中至少有三次机会可能摧毁这样的系统。第一个不确定的因素是新生中子星的逃逸速度,由于超新星爆发不完全是各向同性的,根据动量守恒,新生中子星会被踢离前身恒星的位置,如果这个速度很大并且背离伴星方向,则很可能无法形成HMXB系统。同理,第二个超新星爆发时也会面临类似的情况。第三个大的不确定性是公共包层的演化以及此时中子星的旋进过程。一般认为在公共包层阶段,由于动力学摩擦,中子星轨道角动量减小,轨道会急剧缩减并抛射包层物质,因而才能形成密近双中子星。然而这个过程有很大的不确定性,受很多因素的复杂影响,目前我们无法直接观测到这样的过程,只能依赖计算机进行三维数值模拟。最终,在经历了重重考验依然存活下来的,才可能是在宇宙学哈勃时标内能并合的密近双中子星系统。


2.2 从绕转到并合


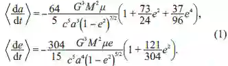
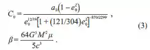
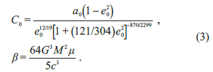
如果双中子星系统顺利形成,则根据广义相对论的预言,相互绕转的双中子星存在随时间变化的质量四极矩,这时会产生很强的引力波辐射。引力波阻尼(damping)会损耗一部分绕转的动能,使得椭圆轨道的半长轴(a)与偏心率(e)随时间演化,其变化率可以表达为[2]

其中M=M1+M2 是双中子星的总质量,μ=M1M2/(M1+M2)是约化质量(M1和M2分别是两颗中子星的质量)。如果给定初始的半长轴a0和偏心率e0,就可以计算出发生并合所需要的时间:

其中的两个常数为

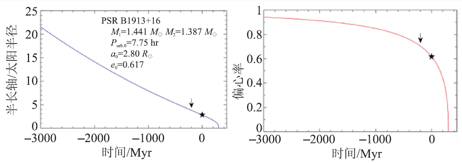
根据以上方式,1975 年Hulse 和Taylor 精确预言了双中子星系统PSR1913+16 的轨道演化(图3),为广义相对论所预言的引力波提供了极强的佐证,因此被授予1993年诺贝尔物理学奖。


图3 PSR1913+16 双星系统过去(t< 0)以及未来(t> 0)的轨道半长轴与偏心率演化[1]。五角星的位置代表目前这个系统的轨道参数,箭头代表由自转演化得出的上限。这两颗中子星预计将在301 Myr内发生并合


随着时间的推移,双中子星的轨道能量逐渐以引力波形式被消耗,双中子星逐渐靠近并最终发生并合。目前人们预估的双中子星并合的事件发生率为10-6—10-7 Mpc-3 yr-1(其中1 Mpc≃3.1×1024 cm)[3],换算到一般的类似银河系的星系内,大概是每百万年能发生几次到几十次,观测到的GW170817 事件也支持了这个发生率。随着引力波探测器Advanced LIGO/Virgo 的升级,探测距离可达几百Mpc,未来预计人们每年能观测到几例甚至十几例的双中子星并合引力波信号。


3 并合之时——引力波和电磁对应体


2017 年8 月17 日,激光干涉引力波天文台LIGO和Virgo 同时探测到首例由双中子星并合产生的引力波信号(图4)。根据发现日期,这个引力波事件被命名为GW170817[4]。通过引力波信号与理论计算的结果匹配给出两个绕转星体的质量在0.86 到2.26 倍太阳质量范围内,刚好为中子星的典型质量。大约在引力波信号之后1.74 s,Fermi 卫星上的伽马射线暴监测器(GBM)在同一天区探测到了一个持续时间约为2 s 的短暴GRB170817A,引发了全世界天文学者们的巨大关注,观测学家们纷纷将望远镜指向该引力波信号的方位去寻找可能的其他波段电磁信号。终于,在引力波事件约10 小时后,南半球许多不同的光学望远镜均观测到千新星辐射,9 天之后在X射线以及射电波段人们又观测到伽马暴余辉。这是人类首次观测到引力波的多种电磁对应体,是天文学的重大里程碑,具有极其深远的科学意义。因此,在这个章节我们将重点介绍GW170817及其电磁对应体。


图4 GW170817的引力波信号频率随时间演化图。图中数据从上到下分别来源于LIGO-Hanford探测器、LIGO-Livingston探测器,以及Virgo 探测器。横坐标所示时间零点为2017年8 月17 日12: 41: 04(世界协调时间)[4]


3.1 伽马暴瞬时辐射


伽马射线暴是来自于宇宙深处的、短时标的伽马射线爆发现象。伽马暴是由美国军事卫星在20 世纪60 年代偶然发现,经过半个世纪的研究,人们对它已有多方面的了解。根据持续时间来划分,人们把长于2 s 的称为长暴,反之称为短暴,这两类暴在能谱和在宿主星系中的位置等方面有很大差别,暗示它们可能有不同的起源。2003年,人们观测发现伽马暴与超新星成协,证实了长暴来自于大质量恒星的核心塌缩。而对于短暴的起源,虽然人们提出了不少理论,但是缺乏直接的观测证据。GW170817 与GRB170817A 的成协,直接证实了至少部分短伽马暴起源于双中子星并合的假说,对于伽马暴的研究起到重要的推动作用。通过对后续电磁对应体的观测,天文学家发现这个暴的寄主星系的光度距离为40 Mpc [4]。而GRB170817A的总辐射流量约为2×10-7erg/cm2,结合这些信息,简单的估算就可以得到GRB170817A的各向同性能量为4×1046 erg。以往的观测事例告诉我们一个典型的短伽马暴各向同性能量为1050 erg,因此GRB170817A的亮度要比典型暴暗一千至一万倍。GRB170817A 的暗弱以及相对引力波信号1.7 s 的延迟这两个特性, 使其显得比较“特殊”。在传统的观点中,伽马暴的瞬时辐射来源于并合产生的相对论性喷流。这个喷流就好比一个明亮的手电筒,当这个手电筒正对着人眼,它是非常刺眼的,但是如果稍微离开人眼的视线,那么人眼看到的亮度就会变低。GRB170817A的低亮度,说明此次双中子星的并合产生的喷流轴向偏离了我们视线方向(图5)。一般情况下,短伽马暴的平均喷流半张角只有10°左右,意味着喷流偏离我们观测视线的概率还是很大的。


图5 GRB170817A辐射起源示意图。在以上4 种物理图景中,图景(b)中的结构化喷流情形目前最受观测支持[5]


在GRB170817A中,喷流轴偏离视线方向只是简单的定性讨论。假设一个有明确边界的均匀喷流,其辐射光度以及特征光子能量值在这个张角以内都是常数。利用相关的偏轴效应修正公式,将正轴典型值与观测值相对比,就可得到相应的修正系数。研究人员通过严格计算发现:喷流光度和典型光子能量分别所需要的修正系数差别很大,意味着均匀喷流的假设是不正确的。研究人员于是提出GRB170817A中的喷流应该存在内部结构,也即是喷流的能量、速度分布随角度是变化的。这个结构化喷流在中心轴处更亮、速度更快,而在喷流两翼处变暗变慢。


GRB170817A中伽马射线的产生机制,至今仍未有定论。在近20 年的研究中,大家普遍认为伽马暴的辐射来源于两种辐射过程。一种是向外膨胀的光球产生黑体辐射;另外一种是喷流中通过磁能耗散被加速的电子产生同步辐射。在一些伽马暴个例中,两种不同的辐射机制分别得到了有利支持。而在某些个例中,有迹象表明两种辐射机制似乎共同存在。然而,伽马暴的辐射起源至今仍未得到明确甄别。在GRB170817A这个源中,由于两种理论机制都能够很好地解释观测数据,因而其辐射机制也没有定论。


爱因斯坦曾预言引力波的速度是光速,实际观测也证明它与光速一致。而伽马射线本身就是一种光,那么这两者应该是同时到达的,为什么会差了1.7 s 呢?目前主要有三种可能的原因共同造成了这个辐射到达时间延迟:(1)并合后喷流的产生存在延迟;(2)喷流传播至抛射物外围(突破)需要消耗时间;(3)产生伽马射线的辐射区可能远离并合中心,喷流传播至辐射区也需要额外的时间。这三种延迟效应中,理论上前两者造成的延迟时间相当,大约为几百毫秒至1s 的量级。而最后一种效应的不确定性较大,其理论范围可以从忽略不计到几秒。这是因为其与上面提到的伽马暴具体的辐射机制相关,不同的辐射机制中辐射半径不同(从1012—1016 cm不等),对应不同的延迟时间。受限于喷流产生机制以及辐射机制的不确定性,目前针对GRB170817A 中1.7 s 的时间延迟,3 种延迟效应所占比列仍未确定。不过可以预见的是,在将来更多的双中子星并合事件中,引力波信号与伽马射线暴信号之间的时间延迟既可以比1.7 s 小很多,也可能大很多。


3.2 千新星辐射


1974 年,Lattimer 与Schramm 提出,黑洞与中子星并合过程中,会抛射出富含中子的物质,这些物质通过快速中子俘获过程(简称r 过程)形成大量重元素。随着理论研究的不断深入,高能天体物理学家逐渐取得一个共识:双中子星并合或者黑洞—中子星并合都会产生这样的抛射物。数值模拟表明,中子星并合之后抛出的物质大约为10-4—10-2M,速度约为真空中光速的0.1—0.3倍。李立新与Paczynski 于1998 年计算了中子星并合产生的抛射物导致的辐射流量[6]。他们发现,抛射团块中放射性元素衰变与裂变产生大量能量会加热抛射物,使其发出大量紫外线与可见光。这种辐射过程类似于超新星,但其持续时间较短,只有1 天左右。他们在通过假设典型的抛射物不透明度并假设能量转化效率为10-3后,计算出这种“类超新星”现象的峰值亮度甚至比普通超新星更亮。Metzger 等人仔细计算了这类现象,认为能量转化因子大约为10-6,因此其亮度仅为Li—Paczyn′ski计算出的亮度的一千分之一,且约是普通“新星(novae)”的一千倍,他们将其称为“千新星(kilonovae)”。


在GW170817 被LIGO 探测之后,南半球的多个光学望远镜就立即开始搜寻其可能的光学对应体。最早成功探测到光学对应体的是1 m口径的Swope望远镜。这个千新星被命名为SSS17a 或AT2017gfo,以下我们采用后一个命名。此后,多个光学望远镜、光学—近红外望远镜、哈勃太空望远镜(HST)以及Swift 卫星上的紫外—光学望远镜(UVOT)都启动对AT2017gfo 的密集观测,获得了大量的测光数据(图6)。值得一提的是,我国南极天文中心安装在南极的AST3 望远镜也获得了这个千新星的图像[8]。这些观测小组的结果都表明,AT2017gfo的峰值亮度超过了1042 erg/s,大约是千新星典型亮度(1041 erg/s)的10 倍。Magellan望远镜等陆续启动了光谱观测,获得了多个时期的多条光谱。Pian 等人将获得的多条光谱与理论进行了比较,发现中早期的光谱能够很好得与理论符合。至此,对AT2017gfo 及时而密集的多波段光变曲线和光谱观测验证了千新星的辐射理论。


图6 千新星的多波段(紫外、光学、红外)光变曲线[7]


然而,细致的分析发现千新星的光变和能谱其实并不如想象中那么“简单”。Villar 等人搜集了所有波段的所有测光数据,对这些数据构成的多波段光变曲线的分析表明:这个千新星抛射物包含了3 种成分,分别是蓝色成分、紫色成分与红色成分。这些不同成分是由于其抛射物中所含镧系元素比例高低和运动速度大小不同决定的。从蓝色成分到红色成分,抛射物中镧系元素比例增加,不透明度增大,运动速度减小。这样三成分的抛射物,才能完美解释观测到的缓慢衰减光变。俞云伟等人提出AT2017gfo 的光变曲线中的缓慢衰减可能是由于中心磁星对外部抛射物进行了额外的供能[9]。这个并合产物是磁星的可能性早在2006 年被讨论[10],在GW170817 的一些后续相关工作中得到了支持。在这种情形下,一些研究人员用观测数据限制了长时间存在的中子星的物态方程参数空间。


3.3 余辉辐射


双中子星并合产生的喷流,除了产生我们能观测到的GRB瞬时辐射之外,在其向外运动过程中会扫过星际介质。与外部介质的相互作用会使喷流减速,产生正反外激波,被激波加速后的电子通过同步加速辐射机制产生非热辐射。这种晚期的辐射持续时间从几天到上百天,从X射线到射电波段都能被探测到,称为GRB余辉。相比瞬时辐射的不确定,余辉的理论和观测研究都比较成熟。长暴的余辉在1997 年就被观测所证认(GRB970228),而短暴的余辉也被后来的Swift 卫星观测到。


GRB170817A 暴后9 天,其X 射线对应体被Chandra 卫星探测到,射电辐射在并合后16 天左右被VLA观测到。后续观测表明X射线和射电辐射仍在持续变亮,在230 天左右到达峰值,然后开始下降。这期间X 射线到射电的能谱指数在15.6 天和109.2 天时基本一致,说明X射线和射电对应体很可能是同一起源, 即来自于GRB170817A的余辉辐射。研究者利用喷流余辉模型对观测数据进行了拟合,发现偏轴的均匀喷流并不能解释持续200 天的增亮,只有引入结构化喷流才能解释持续增亮。喷流相对论性运动减速的结果,使得靠近喷流轴中心区域的辐射在晚期才开始贡献。图7 展示了Lazzati 等人采用数值模拟得到了喷流的初始结构,以此为基础计算了对应的余辉辐射,理论曲线能够很好地与观测结果相符。余辉观测所要求结构化喷流,与之前提到的瞬时辐射对喷流的要求也是一致,两者共同支持了结构化喷流的推论。


图7 结构化喷流对GRB170817A多波段余辉的拟合。左侧子图展示了数值模拟产生的物质密度分布[11]


4 并合之后——留下了什么?


经历了剧烈的并合过程之后,人们自然而然会想到一个问题:最后留下了什么?事实上,这正是目前研究中的一个重大前沿问题,事到如今人们对此并无定论。可以想见,双中子星并合的产物一定是致密天体,只存在两种可能,即中子星和黑洞。假如形成的是中子星,它也许比原来的中子星磁场更强,自转更快,这样才能对抗引力。新生中子星除了整体的刚性均匀旋转,极有可能还存在较差自转(differential rotation),即天体在自转时不同部位的角速度互不相同的现象。较差自转的阶段,中子星由于内部的不稳定性也会产生引力波辐射。在GW170817 事件后,人们试图去寻找并合产物的引力波信号,但它并没有被观测到[12]。然而,这并不足以说明并合产物不是中子星,因为较差自转产生的引力波信号可能比较弱,低于目前Advanced LIGO 的探测极限,未观测到也属于正常现象。


要探索并合产物是什么,一个决定性的因素是它的质量Ms。在此之前,我们可以定义中子星的几个特征质量:(1)MTOV:TOV 质量,即求解Tolman—Oppenheimer—Volkoff 方程得出的中子星质量,此方程是在广义相对论框架下描述一个处在定态引力平衡状态下的各向同性球对称物体结构的约束方程。简单来说,MTOV 适用于静态的中子星,大小取决于内部物质的状态方程;(2)Mmax:最大质量。由于中子星的刚体均匀自转可以对抗一部分的引力,旋转的中子星能达到的最大质量比MTOV 要大,增幅比例在20%左右[13];(3)Mdiff,max:较差自转能支撑的最大质量。除了均匀自转,如果还存在较差自转,则中子星能达到的最大质量会更大。理论上,根据并合产物的质量Ms,人们可以定性地分成如下几种不同情形,如图8 所示:(1)Ms > Mdiff,max,并合产物的质量比理论上较差自转能支撑的最大中子星质量还高,那么这个产物不可能是中子星,一定是直接形成黑洞;(2)Mmax<Ms<Mdiff, max,此时较差自转能支撑中子星不塌缩,满足这种条件的中子星被称为巨超质量中子星(Hyper-Massive Neutron Star,HMNS)。但是HMNS内部存在各种不稳定性,会对较差自转产生很强的阻尼作用,较差自转很快减弱,当它无法对抗引力时即塌缩形成黑洞。一般而言,HMNS 的寿命即为较差自转消退的时标,大概在10—100 ms 之间;(3)MTOV<Ms<Mmax,此时中子星仅依靠均匀自转即可对抗引力,满足这种条件时被称为超大质量中子星(Supra-Massive Neutron Star,SMNS)。因为新生中子星存在磁偶极辐射,也可能同时存在引力波辐射(假设SMNS不是完美的球体,它的椭率不为零),这些机制会使得中子星逐渐自转减慢,这个自转减慢时标从几百秒至几百万秒不等。超过这个时标以后,中子星无法依靠自转抵抗引力,也会塌缩成为黑洞;(4)Ms<MTOV,此时并合产物质量较小,很有可能以稳定中子星的形式存在。


图8 双中子星并合的可能情形与产物


从观测上来讲,我们目前尚无法确认双中子星的并合产物是中子星还是黑洞。对于GW170817事件,人们在它伴随的GRB余辉、千新星等观测资料中找到了疑似形成中子星的间接证据。然而由于缺少直接证据(并合产物的引力波信号),我们离最终落锤仍有一段距离。随着引力波探测器的不断升级, 未来如果再次发生这种类似GW170817 同时距离地球较近的双中子星并合事件,我们仍有机会直接确定其并合产物。如果实现,将极大有利于解决天体物理学存在已久的一个重大问题:中子星的状态方程到底是什么。


5 未来展望


双中子星并合是近年天体物理领域的一个前沿课题,而GW170817 的发现实现了观测上从0到1 的突破,天文学家的研究兴趣空前高涨。短短两年,关于GW170817 的研究论文已超过300篇, 其中包括自然科学的顶级期刊Nature 和Science近20 篇。同时,该课题与多个天文领域交叉,例如恒星演化、致密星物理、相对论天体物理、天体物理辐射机制、宇宙学等,极大地推动了这些领域的研究进展。往更广的方面来讲,双中子星并合与核物理、原子物理、引力理论等紧密相关,也能用于检验一些基本物理假设。正是由于它的这些重要性,它可能会成为多米诺骨牌的第一块,最终引发基础物理的巨大突破,甚至催生下一次诺贝尔物理学奖。


最近几年,由于观测条件的进步,我们对双中子星系统的探测能力变强,目前已发现的已经超过19 个。在接下来的10 年,很有希望能找到大量新的双中子星系统,以及它们的前身系统与并合产物。未来平方公里阵射电望远镜(Square Kilometre Array,SKA)预计能将现在射电脉冲星的样本数量扩充5—10 倍,也因此预计能发现超过100 个双中子星系统。我们国家的五百米口径球面射电望远镜(Five-hundred-meter Aperture Spherical Telescope,FAST)也有能力去找到更多双中子星系统。另外, 一些X 射线望远镜如Swift、XMM-Newton、Chandra 等也将找到更多HMXB系统,对我们了解双中子星的形成大有帮助。从引力波方面,国际上引力波探测器LIGO/Virgo 接下来很有希望能探测到更多的双中子星并合事件,这些引力波事件会伴随丰富的电磁信号,我们可以从短伽马暴及其余辉、千新星观测中去研究双中子星并合的物理过程。总的来讲,目前正是一个观测数据快速积累的黄金时期,为以后彻底解开双中子星并合事件中的各种谜题提供了非常良好的契机。


参考文献

[1] Tauris T M,Kramer M,Freire R C C et al. ApJ,2017,846:170

[2] Peters P C. PhRv,1964,136:1224

[3] Abadie J,Abbott B P,Abbott R et al. CQGra,2010,27:3001

[4] Abbott B P,Abbott R,Abbott T D et al. Physical Review Letters,2017,119:161101

[5] Kasliwal M,Nakar E,Singer L P et al. Science,2017,358:1559

[6] Li L X,Paczyn′ ski B. ApJL,1998,507:L59

[7] Drout M R,Piro A L,Shappee B J et al. Science,2017,358:1570

[8] Hu L,Wu X,Andreoni I et al. Science Bulletin,2017,62:1433

[9] Yu YW,Liu L D,Dai Z G. ApJ,2018,861:114

[10] Dai Z G,Wang X Y,Wu X F et al. Science,2006,311:1127

[11] Lazzati D,Perna R,Morsony B J et al. Physical Review Letters,2018,120:241103

[12] Abbott B P,Abbott R,Abbott T D et al. ApJL,2017,851:L16

[13] Gao H,Zhang B,Lü H J. PhRvD,2016,93:044065


本文选自《物理》2019年第9期



往期精彩回顾

1.中国物理学会2019年秋季学术会议在郑州大学召开

2.2018—2019 年度中国物理学会各项物理奖获奖名单及介绍

3.喜欢评论的大师泡利

4.月高几何

5.通用量子计算机和容错量子计算——概念、现状和展望

6.漫画里的科学故事

7.则贤问学录——于渌篇 (下)

8.首次实现二维量子片的普适和规模制备

9.天行见物理之八:斯道寂寥

10.送别章综先生



登录查看更多
1

相关内容

【ICML2020】持续图神经网络,Continuous Graph Neural Networks
专知会员服务
151+阅读 · 2020年6月28日
专知会员服务
29+阅读 · 2020年3月6日
物理学家终于找到了一种拯救薛定谔猫的方法
中科院物理所
8+阅读 · 2019年6月10日
特征方程的物理意义
算法与数学之美
6+阅读 · 2019年5月13日
【工业智能】风机齿轮箱故障诊断 — 基于振动信号
丘成桐:攻克物理难题的数学大师
科技导报
5+阅读 · 2018年7月23日
量子计算
人工智能学家
7+阅读 · 2018年4月6日
酒鬼漫步的数学——随机过程 | 张天蓉专栏
知识分子
10+阅读 · 2017年8月13日
Deformable Style Transfer
Arxiv
14+阅读 · 2020年3月24日
Arxiv
3+阅读 · 2018年10月25日
Video-to-Video Synthesis
Arxiv
9+阅读 · 2018年8月20日
Arxiv
3+阅读 · 2018年3月28日
Arxiv
6+阅读 · 2018年2月28日
VIP会员
相关资讯
物理学家终于找到了一种拯救薛定谔猫的方法
中科院物理所
8+阅读 · 2019年6月10日
特征方程的物理意义
算法与数学之美
6+阅读 · 2019年5月13日
【工业智能】风机齿轮箱故障诊断 — 基于振动信号
丘成桐:攻克物理难题的数学大师
科技导报
5+阅读 · 2018年7月23日
量子计算
人工智能学家
7+阅读 · 2018年4月6日
酒鬼漫步的数学——随机过程 | 张天蓉专栏
知识分子
10+阅读 · 2017年8月13日
Top
微信扫码咨询专知VIP会员