成为VIP会员查看完整内容
VIP会员码认证
首页
主题
发现
会员
服务
注册
·
登录
0
北大「韦神」的烦恼:讲课太枯燥?超半数研究生退课,最后只剩五六个人
2022 年 1 月 8 日
新智元
新智元报道
编辑:David 好困
【新智元导读】
最近,北大数学系「韦神」有了一些烦恼:自己主讲的研究生课程被不少人退课。最初还有十几个,结果到中期之后只剩下五六个了。
还记得那个「韦神」韦东奕吗?
今年夏天,一条90后北大数学老师的接受采访的视频爆红网络。在视频中,手提一瓶矿泉水、三个馒头,朴素得像个学生。
他就是韦东奕,15岁拿下IMO国际数学竞赛金奖,18岁保送北大,哈佛还为争取他不惜打破百年校规。前段时间,韦东奕还入选达摩院第四届青橙奖获奖名单,获得100万元的奖金。
就是这样一位「扫地僧」般的大牛,最近也有自己的烦恼。这个烦恼不是面对学术难题,而是面对学生:
自己主讲的北大研究生课程,退课的越来越多了。
「最后就剩五六个人了」
近日,韦神在接受「九派新闻」采访时表示,他从上学期开始在北大教课,主要给研究生讲授《调和分析》和《实分析》课程。但是选课和听课的人数不多,他也比较疑惑。
「最开始课堂上还有十几个同学,但中期退课以后,来的人就很少了,基本上只有五六个。」
韦神讲课是什么样子的?
去年6月,就在韦神因为「扫地僧」形象大火之后不久,B站上出现了一段他给北大学生授课的视频片段。
韦神面前的黑板上写满了密密麻麻的板书,他边讲边在黑板上继续写,另一只手不断挥舞,应该是在整理授课思路。
在视频中,韦神全程背对学生,眼睛没有离开过黑板,显得专注而投入。
从台下听课的这位学生的反应来看,他可能比讲课的韦神更投入,可能是在尽量跟上老师的思路吧。
对于大量学生退课的原因,韦神表示,可能是自己讲的不行,在讲台上很多时候还是以学生的心态来讲课,和学生之间也缺乏互动,会导致学生听不懂。
韦神表示,自己确实不大擅于语言组织。中学时语文成绩就不大理想,甚至很难及格。
「可能是我不太会表达,得再找找原因。」
研究生的课,干货和思路更重要
不过,对「韦神讲课不行」这个话题,知乎不少网友表达了自己的不同看法。
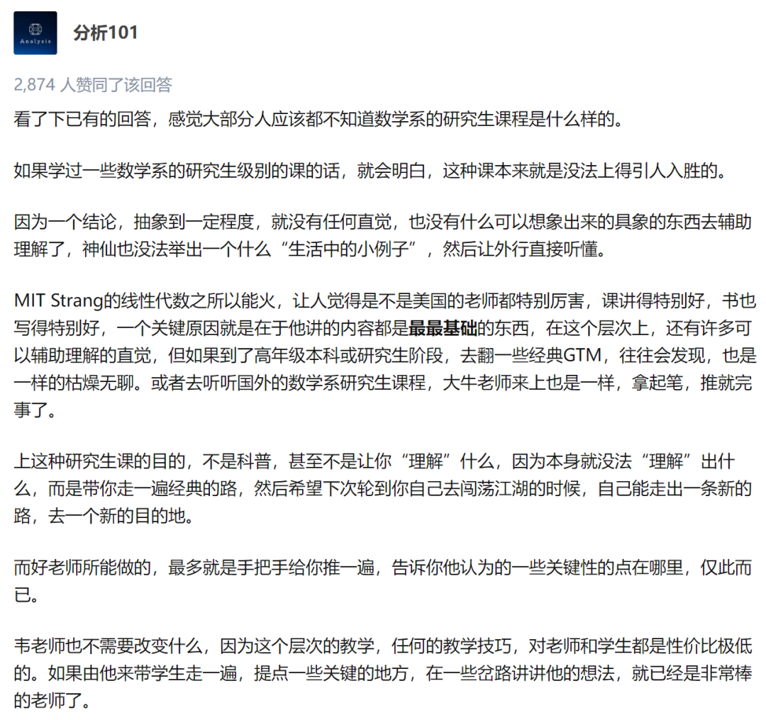
知乎网友@分析101就表示:
数学系的课程,有很多就是内容比较枯燥的,这是由课程本身决定的,尤其是到了研究生阶段,授课更要注重的是干货、思路,而不是趣味性。
很多时候,研究生的课程不是科普,也不是为了「理解」。这一点,和本科阶段的基础课是有很大不同的。
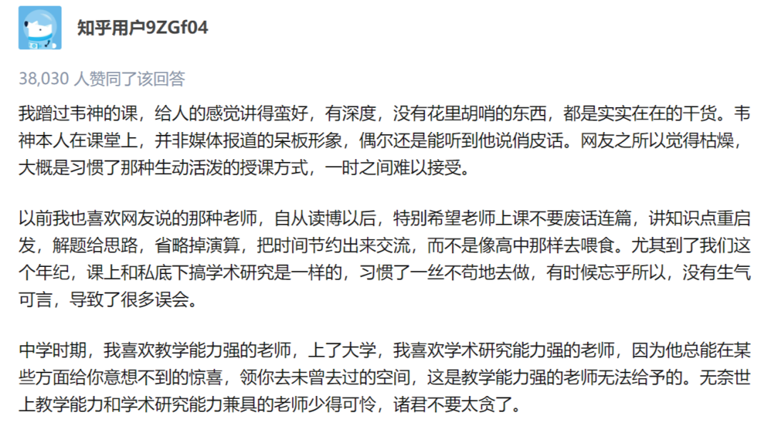
另一位知乎网友更是蹭过韦神的课。
他的感受是,韦神的课干货满满、有深度、没有废话,正适合步入科研阶段的研究生。
这一阶段的授课应该注重知识点的启发、多给思路,而不是去「喂食」。
「学术研究能力强的老师,总能在某些方面给你意想不到的惊喜,领你去未曾去过的空间。」他说。
此外,知乎网友@小六认为:「大学应该因人而异,对于顶尖学者来说,收几个天赋高的学生开小灶可能效果更好。」
说来,上一位讲课「太差」的数学天才,而且甚至还是被「炒了鱿鱼」的那种,也是个相当知名的人物。
上世纪50年代,我国著名的数学家陈景润在毕业后被分配到北京四中担任数学老师。结果却因为不爱讲话,口齿不清,最后被学校炒鱿鱼回家。
后来,他专心研究数论,不仅发现了华罗庚在《堆垒素数论》中的不足之处,发表《塔内问题》论文,而后「陈氏定理」的发表直接引起了整个数学界的轰动。
科研,授课不可兼得?
现在,高校教师的科研、教学平衡早已是一个老生常谈的话题了。
去年11月,在第四届世界顶尖科学家论坛开幕式上,图灵奖得主约翰·霍普克罗夫特就中国的本科生教育这个话题谈了谈自己的看法。
约翰·霍普克罗夫特教授指出,中国的高校中国的高校过于注重国际声望,应当把「本科生教育质量」纳入到学校追求的指标中,而不是一味追求「科研经费」和「论文数」。
然而,想要上好一门课的成本其实是非常大的。
举个例子,吴恩达的机器学习课程非常经典,被称为是机器学习入门必学课程。那这样一门高质量的课程是如何打磨出来的呢?
这里面其实是有一个很大团队在提供支持:吴恩达是主要的讲师,在背后参与这门课的还有2-3个讲师,4-5个博士生。
这些团队成员有的负责批改作业,有的负责讲授tutorial(例如讲授一些基础知识或者编程辅导),有的负责制定课程内的小项目等等。
虽然一直都有人在呼吁将「教学质量」纳入教师的评价之中,但是这个指标实在是难以量化。
这也就导致高校教师在科研和职称的双重压力下,不得不花更多的时间去搞更多的「科研成绩」,从而忽视了教学。
此外,早在2014年,意大利的研究人员就指出,依靠学生的评价来为教师的晋升提供参考并不怎么靠谱。
https://www.sciencedirect.com/science/article/abs/pii/S0272775714000417
研究人员发现,大学教师在提高学生成绩方面的效率提高1个标准差,就会使学生对其教授的教学质量的评价平均降低约半个标准差,这足以显著降低教师在大学的评价排名。
学生,尤其是能力差的,在他们的评价中几乎都对优秀教师要求他们做出的额外努力做出了消极反应。
不过,对于上课这件事,知乎网友@韩冬表示,其实从大学开始,就已经具有了一定「科研」的色彩。
「至少在物理专业,大学教育其实是很有效的筛选机制——无论是量子力学还是电动力学,场论还是广义相对论,如果不能自学学懂(有好的教材)还需要听老师讲课的话,趁早告别科研算了。」
北大数学系「扫地僧」韦东奕
「韦神」的出名可以说是因为去年5月的一个采访。
他在自我介绍时表示,「我是北京大学数学系2010级本科生、2014级研究生,反正现在是老师,是北大的老师」。
就这么几句简单的介绍,却让很多人都望尘莫及。
「韦神」究竟是一个怎样的存在?
他是第49届、第50届国际数学奥林匹克(IMO)满分、金牌第一名,同时也是2013年丘成桐大学生数学竞赛华罗庚奖金奖获奖者,丘成桐大学生数学竞赛陈省身奖金奖获奖者,丘成桐大学生数学竞赛周炜良奖银奖获奖者,丘成桐大学生数学竞赛林家翘奖金奖获奖者,丘成桐大学生数学竞赛许宝騄奖金奖获奖者,丘成桐大学生数学竞赛个人全能奖,阿里巴巴全球数学竞赛金奖。
还是北大的大一新生时,韦东奕曾一人单挑清华大学。
在国内最高水平的数学竞赛「丘成桐大学生数学竞赛」上,五个竞赛科目,韦东奕个人获得了四个金牌
并获得当年丘成桐大学生数学竞赛个人全能奖,让清华大学尴尬不已!
「韦神」、「韦教主」的称号由此而来。
神表示,自己高中时获得数学联赛山东省冠军,拿到过数学奥林匹克金牌,也因此保送北大。
从高中时期,韦东奕便开始了他的「封神」传说。
15岁「封神」
1992年,韦东奕出生在山东的高级知识分子家庭,父母任教于山东建筑大学,父亲更是该校数学教授。
韦东奕从小接触最多的就是关于数学的书籍。在父亲潜移默化的影响下,他开始对数学产生了浓厚的兴趣。
在读初二时,他已经展示了过人的数学天分。
有一道数学题,国家队的老师3个小时才求解,而韦东奕只用了2个小时!
14岁那年,韦东奕遇到了真正发现他数学天赋的「伯乐」——山东师范大学附属中学的张永华老师,他获得了破格进入附中奥数班进行学习训练的机会。
韦东奕在数学领域的传奇经历,正式拉开了帷幕。
在奥数班学习一年后,他凭借过人的天才和自身的勤奋,经过层层选拔后,得到了代表国家参加第49届IMO国际数学竞赛的机会。
当年6道大题中,难度最大的题目是压轴的平面几何题,韦东奕居然是用「纯代数」的方法解出来的。
韦东奕打败了500多名选手,最终结果是「满分」!
一年后,韦东奕带着他的光辉战绩参加了第50届IMO,依然夺冠。
在这场比赛上,韦神「击败」了7岁自学微积分、12岁拿到IMO金牌的数学竞赛史传奇陶哲轩。
达成通关成就后,「韦神」渐渐隐退于数学竞赛界。
江湖上只留下韦神的传说——「韦东奕不等式」供后人膜拜仰望。这是韦东奕出给数学天才聂子佩的题目。
2010年,因在数学领域的优异表现,「北大四大疯人院之首」数学系向韦东奕抛出了「橄榄枝」。
2019年,完成博士后工作的他,成为了北大数学系的助理教授。
现在看来,真是天才也有天才的烦恼啊。
参考资料:
https://mp.weixin.qq.com/s/gFQ-ZsGKPuKBFswGCIxecQ
https://www.zhihu.com/question/509411620
https://wenhui.whb.cn/third/baidu/202201/01/442141.html
https://www.sohu.com/a/380610562_100227926
https://new.qq.com/omn/20211228/20211228A04JTH00.html
https://www.bilibili.com/video/BV1NK4y1X7SH
登录查看更多
点赞并收藏
0
暂时没有读者
0
权益说明
本文档仅做收录索引使用,若发现您的权益受到侵害,请立即联系客服(微信: zhuanzhi02,邮箱:bd@zhuanzhi.ai),我们会尽快为您处理
相关内容
北京大学
关注
25
北京大学创建于1898年,初名京师大学堂,是中国近代第一所国立大学,也是最早以“大学”身份和名称建立的学校,其成立标志着中国近代高等教育的开端。北大是中国近代唯一以最高学府身份创立的学校,最初也是国家最高教育行政机关,行使教育部职能,统管全国教育。北大开创了中国高校中最早的文科、理科、法政科、商科、农科、医科等学科的大学教育,是近代以来中国高等教育的奠基者。
吴恩达知乎问答:如何系统学习机器学习?
专知会员服务
21+阅读 · 2022年4月10日
【经典】清华大学刘洋老师:244页机器翻译学术论文写作方法和技巧,讲透学术论文写作
专知会员服务
77+阅读 · 2022年3月12日
如何自学CS?北大信科《计算机自学指南》为您呈送宝典
专知会员服务
76+阅读 · 2021年12月14日
这门接地气的国内《机器学习》课程,不可错过!14讲带你入门!附课程资源
专知会员服务
51+阅读 · 2021年12月1日
一份硬核计算机科学CS自学修炼计划
专知会员服务
45+阅读 · 2021年1月12日
如何学好数学?这有一份2021《数学学习路线图》请看下
专知会员服务
73+阅读 · 2021年1月8日
MIT《计算机教育中缺失的一课》中文版,学习计算机或人工智能都必须上的一课
专知会员服务
59+阅读 · 2021年1月3日
清华大学《人工智能》书籍教学课件开放下载
专知会员服务
144+阅读 · 2020年7月27日
【经典】论文是怎样炼成的,108页PPT教你研究生毕业通关秘籍
专知会员服务
138+阅读 · 2020年3月21日
在家上清华!刘洋教授「浅谈研究生学位论文选题」方法,3月7日1小时视频公开课
专知会员服务
41+阅读 · 2020年3月8日
留学生不香了:大厂进不去,小厂嫌弃我
36氪
1+阅读 · 2022年4月5日
许多研究生的一个通病:对导师过度依赖!
CVer
0+阅读 · 2022年4月4日
985研究生,救不了本科双非
36氪
0+阅读 · 2022年3月26日
90后小学老师:教资的尽头,是一地鸡毛
36氪
0+阅读 · 2022年3月20日
女研究生做“思维导图”与男友吵架!网友:吵架届的“内卷之王”....
CVer
0+阅读 · 2022年3月19日
大年三十问候导师的后果...
CVer
0+阅读 · 2022年1月31日
与「韦神」齐名,35岁刁晗生任教清华!18岁一战成名,数学界颜值巅峰
新智元
0+阅读 · 2022年1月9日
北大韦神透露现状:自己课讲得不太好,中期学生退课后就剩下5、6个人...
CVer
0+阅读 · 2022年1月1日
昔日“东方神童”逝世,4岁读完初中课程,17岁中科院硕博连读,网友:湖南华容的传说
量子位
0+阅读 · 2021年11月18日
达摩院2021青橙奖出炉,北大韦神等十人获奖,均分1000万元
极市平台
0+阅读 · 2021年10月15日
靶向C-kit1 DNA G-四链体凹槽的选择性探针分子设计
国家自然科学基金
0+阅读 · 2015年12月31日
应用数学暑期学校(2015)
国家自然科学基金
5+阅读 · 2015年7月12日
数学天元基金统计学研究生暑期学校2015
国家自然科学基金
2+阅读 · 2015年5月31日
2013“数学之星“夏令营
国家自然科学基金
0+阅读 · 2013年7月31日
关于指数和及特征和的高次均值问题
国家自然科学基金
0+阅读 · 2012年12月31日
融合深层语义理解的网络水军发帖自动检测技术研究
国家自然科学基金
0+阅读 · 2012年12月31日
三靶标抗抑郁活性分子虚拟筛选方法研究
国家自然科学基金
1+阅读 · 2012年12月31日
量子信息中的量子游走
国家自然科学基金
0+阅读 · 2012年12月31日
番茄红素抗高脂血症致脑血管、神经元损伤机制研究
国家自然科学基金
0+阅读 · 2012年12月31日
远程开放教育辍学研究
国家自然科学基金
0+阅读 · 2009年12月31日
CodexDB: Generating Code for Processing SQL Queries using GPT-3 Codex
Arxiv
2+阅读 · 2022年4月19日
HRCF: Enhancing Collaborative Filtering via Hyperbolic Geometric Regularization
Arxiv
0+阅读 · 2022年4月18日
VDTR: Video Deblurring with Transformer
Arxiv
0+阅读 · 2022年4月17日
ELECRec: Training Sequential Recommenders as Discriminators
Arxiv
0+阅读 · 2022年4月16日
Sensitivity of sparse codes to image distortions
Arxiv
0+阅读 · 2022年4月15日
Quantum Computing -- from NISQ to PISQ
Arxiv
1+阅读 · 2022年4月15日
Graph Neural Networks for Social Recommendation
Arxiv
20+阅读 · 2019年11月23日
SlowFast Networks for Video Recognition
Arxiv
19+阅读 · 2018年12月10日
Attention-based Group Recommendation
Arxiv
14+阅读 · 2018年4月18日
SINet: A Scale-insensitive Convolutional Neural Network for Fast Vehicle Detection
Arxiv
11+阅读 · 2018年4月2日
VIP会员
自助开通(推荐)
客服开通
详情
相关主题
北京大学
数学
知乎
大学
标准差
表示
相关VIP内容
吴恩达知乎问答:如何系统学习机器学习?
专知会员服务
21+阅读 · 2022年4月10日
【经典】清华大学刘洋老师:244页机器翻译学术论文写作方法和技巧,讲透学术论文写作
专知会员服务
77+阅读 · 2022年3月12日
如何自学CS?北大信科《计算机自学指南》为您呈送宝典
专知会员服务
76+阅读 · 2021年12月14日
这门接地气的国内《机器学习》课程,不可错过!14讲带你入门!附课程资源
专知会员服务
51+阅读 · 2021年12月1日
一份硬核计算机科学CS自学修炼计划
专知会员服务
45+阅读 · 2021年1月12日
如何学好数学?这有一份2021《数学学习路线图》请看下
专知会员服务
73+阅读 · 2021年1月8日
MIT《计算机教育中缺失的一课》中文版,学习计算机或人工智能都必须上的一课
专知会员服务
59+阅读 · 2021年1月3日
清华大学《人工智能》书籍教学课件开放下载
专知会员服务
144+阅读 · 2020年7月27日
【经典】论文是怎样炼成的,108页PPT教你研究生毕业通关秘籍
专知会员服务
138+阅读 · 2020年3月21日
在家上清华!刘洋教授「浅谈研究生学位论文选题」方法,3月7日1小时视频公开课
专知会员服务
41+阅读 · 2020年3月8日
热门VIP内容
开通专知VIP会员 享更多权益服务
超越机械控制:神经形态军事人工智能中的因果决策处理
《构建战略杀伤力:美军联合部队学习与领导者发展的特种作战模型》
《元宇宙在军事领域的应用》
《乌克兰战场联合兵种机动的新兴方法》最新报告
相关资讯
留学生不香了:大厂进不去,小厂嫌弃我
36氪
1+阅读 · 2022年4月5日
许多研究生的一个通病:对导师过度依赖!
CVer
0+阅读 · 2022年4月4日
985研究生,救不了本科双非
36氪
0+阅读 · 2022年3月26日
90后小学老师:教资的尽头,是一地鸡毛
36氪
0+阅读 · 2022年3月20日
女研究生做“思维导图”与男友吵架!网友:吵架届的“内卷之王”....
CVer
0+阅读 · 2022年3月19日
大年三十问候导师的后果...
CVer
0+阅读 · 2022年1月31日
与「韦神」齐名,35岁刁晗生任教清华!18岁一战成名,数学界颜值巅峰
新智元
0+阅读 · 2022年1月9日
北大韦神透露现状:自己课讲得不太好,中期学生退课后就剩下5、6个人...
CVer
0+阅读 · 2022年1月1日
昔日“东方神童”逝世,4岁读完初中课程,17岁中科院硕博连读,网友:湖南华容的传说
量子位
0+阅读 · 2021年11月18日
达摩院2021青橙奖出炉,北大韦神等十人获奖,均分1000万元
极市平台
0+阅读 · 2021年10月15日
相关基金
靶向C-kit1 DNA G-四链体凹槽的选择性探针分子设计
国家自然科学基金
0+阅读 · 2015年12月31日
应用数学暑期学校(2015)
国家自然科学基金
5+阅读 · 2015年7月12日
数学天元基金统计学研究生暑期学校2015
国家自然科学基金
2+阅读 · 2015年5月31日
2013“数学之星“夏令营
国家自然科学基金
0+阅读 · 2013年7月31日
关于指数和及特征和的高次均值问题
国家自然科学基金
0+阅读 · 2012年12月31日
融合深层语义理解的网络水军发帖自动检测技术研究
国家自然科学基金
0+阅读 · 2012年12月31日
三靶标抗抑郁活性分子虚拟筛选方法研究
国家自然科学基金
1+阅读 · 2012年12月31日
量子信息中的量子游走
国家自然科学基金
0+阅读 · 2012年12月31日
番茄红素抗高脂血症致脑血管、神经元损伤机制研究
国家自然科学基金
0+阅读 · 2012年12月31日
远程开放教育辍学研究
国家自然科学基金
0+阅读 · 2009年12月31日
相关论文
CodexDB: Generating Code for Processing SQL Queries using GPT-3 Codex
Arxiv
2+阅读 · 2022年4月19日
HRCF: Enhancing Collaborative Filtering via Hyperbolic Geometric Regularization
Arxiv
0+阅读 · 2022年4月18日
VDTR: Video Deblurring with Transformer
Arxiv
0+阅读 · 2022年4月17日
ELECRec: Training Sequential Recommenders as Discriminators
Arxiv
0+阅读 · 2022年4月16日
Sensitivity of sparse codes to image distortions
Arxiv
0+阅读 · 2022年4月15日
Quantum Computing -- from NISQ to PISQ
Arxiv
1+阅读 · 2022年4月15日
Graph Neural Networks for Social Recommendation
Arxiv
20+阅读 · 2019年11月23日
SlowFast Networks for Video Recognition
Arxiv
19+阅读 · 2018年12月10日
Attention-based Group Recommendation
Arxiv
14+阅读 · 2018年4月18日
SINet: A Scale-insensitive Convolutional Neural Network for Fast Vehicle Detection
Arxiv
11+阅读 · 2018年4月2日
大家都在搜
PINN
蓝牙安全攻防
大型语言模型
扩散模型
人类控制
国防科技创新
WOS
事件相机
突防
精排模型-从MLP到行为序列:DIN、DIEN、MIMN、SIM、DSIN
Top
提示
微信扫码
咨询专知VIP会员与技术项目合作
(加微信请备注: "专知")
微信扫码咨询专知VIP会员
Top