大自然的基本力(二)——超越标准模型的相互作用理论!

2017 年 9 月 14 日 中国物理学会期刊网 李大鹏

编辑&审校&插图:杨夕歌


小编按:什么是规范场?抽象代数如何在粒子物理学中发挥作用?标准模型又是什么、它还存在哪些局限?读者们都可以在这篇文章的前三章找到答案!此外,在读过《暗物质与暗能量之谜——宇宙大尺度的广义相对论!》一文后,不少读者对四川大学马天教授和印第安纳大学汪守宏教授的研究产生了很大的兴趣。本文第四、五章将继续介绍马天和汪守宏两位教授的独创性成果,其目的是进一步发展标准模型!两位教授的理论并不涉及高深莫测的弦论(为了解决自发性对称缺失的谜团引入了“超对称性”的假设,从而引入了额外的8个维数来描述整个宇宙),一切都从最基本的数学规则物理定律出发!


引子:

本文是笔者与小编合作推出“大自然的基本力”为主题的一系列文章的第二篇,在第一篇文章“大自然的基本力1:四种基本相互作用简介”中我们认识了“引力,电磁,强,弱”这四种大自然的基本相互作用,知道了它们在宇宙中主导了不同层次的物质的运动规律。在本文中,我们将继续了解这些相互作用的一些基本理论,包括刻画相互作用的物理量,电,弱,强相互作用的标准模型简介, 相互作用荷和相互作用势, 以引导读者更深入地理解四种基本相互作用。敬请关注公众号“科普最前线”并参与我们的讨论!


一、相互作用应该用什么物理量描述?

在上一篇文章中我们看到,相互作用一共有四种。读者们也许还记得下面这张图片(传送门):


当我们需要完整地了解一种基本相互作用时,首先需要知道刻画这种相互作用的物理量是什么(这样的物理量包含了相互作用的主要信息)。自广义相对论和电磁场理论建立以来,科学家逐步意识到,“场”(按照“数据结构”的观点,场又分为标量场、向量场和张量场——小编注)比“力”更适合作为刻画相互作用的基本物理量(引力场和电磁场都是“场”),这一系列工作促使了规范场理论的建立和发展,并成为了刻画电、弱、强相互作用的基本物理量。

引入规范场的目的就是用同一种场来描述不同相互作用


规范场其实是一种四维的向量场(被称为洛伦兹向量场),这种向量场定义在闵可夫斯基空间 (记作M^4)上,这种空间是一种平直的四维空间(其实就是1维时间+3 维空间的数学描述,并且空间没有弯曲——小编注)。:

其中c为光速。因为这个空间是四维的,所以规范场作为定义在这个空间上的向量场也是四维的。规范场一般都被记为, 在下文的讨论中我们可以看到规范场也有不同的类型,取决于它所刻画的不同类型的相互作用。


被用来刻画引力相互作用的物理量是引力势g_ij(它也是黎曼度量),刻画电磁相互作用的物理量是规范场, 被称为四维电磁势(也被称为U(1) 规范场)。刻画强相互作用的物理量是规范场,(被称为SU(3) 规范场)。刻画弱相互作用的物理量是三个规范场(被称为SU(2)规范场),WS 电弱统一理论认为电磁相互作用与弱相互作用由两种规范场统一描述。我们看到,刻画电磁,强,弱相互作用的物理量都是规范场,这也是为什么电,弱,强相互作用可以统一在“标准模型”的框架下展开研究,但是这样统一的理论框架并不能包括引力相互作用。历史上,杨振宁和米尔斯首先为SU(2)规范场建立了理论框架和数学方法,为基本相互作用的进一步研究奠定了基础。



小编旁白:

在数学上,U(1)、SU(2)和SU(3)既可以看作矩阵群,又可以看作算子(泛函),还可以看作流形(也就是高维曲面),可以用分析、代数和几何三种不同视角来研究它们,所以这三兄弟在数学和物理上都有很高的地位。它们的定义如下:

  • U(1):  一阶酉矩阵,矩阵中的元素可以表示为e^{iθ}, 0≤θ≤2π。它是交换群(阿贝尔群);

  • SU(2): 行列式=1的二阶酉矩阵全体,是非阿贝尔群;

  • SU(3): 行列式=1的三阶酉矩阵全体,是非阿贝尔群;

杨振宁和米尔斯,他们最重要的一个工作就是把规范场理论从U(1)(电磁作用,交换情形)推广到了SU(2)(弱作用,非交换情形)


在数学上,一个群若又能被看作流形,那么这个群又叫做李群(Lie Group)。物理学家们敏锐地意识到了李群的不平凡之处,从而李群就成为了描述对称性变换(也就是旋转)的基本工具。所以规范场的变换都是通过李群作用来描述的,它的本质上就是旋转(更准确地讲,是规范场对应波函数的“相位旋转”)



下面我们来看看,什么是标准模型。


二、标准模型是何方神圣?

  • 电磁相互作用刻画了带电粒子,分子,原子的运动规律。

对于电磁相互作用而言,规范场就刻画了这种相互作用的全部信息,它与电场强度E及磁场强度H有如下对应关系:

之所以能把电场和磁场统一成一个规范场A,是应用了著名的“亥姆霍兹分解定理”——小编注


如果我们定义电磁场矩阵(有经验的读者可以看出,它就是偏微分算子和规范场之间的泊松积——小编注)来刻画电磁场, 就可以将麦克斯韦方程组改造得非常简洁:

 

将麦克斯韦方程组改造成上述等价形式并不仅仅是为了书写的简单,更重要的是,上述简洁的表达形式启发物理学家发现了规范对称性,打开了通向规范场的大门,开启了现代物理学新的篇章。电磁场A是第一个被发现的规范场(U(1) 规范场),历史上,德国数学家赫尔曼.外尔(H. Wely)是规范场思想与理论的先驱,规范场的思想也起源于对电磁场的研究,笔者将在后续的文章中对规范对称性和规范场给予详细的介绍。


  • 强相互作用刻画了在微观尺度上原子核、强子(质子,中子等)的运动规律

现代物理学建立了“量子色动力学”(QCD)来刻画强相互作用,量子色动力学是一种“非阿贝尔规范理论”,简单的说,刻画强相互作用规范场的是SU(3)矩阵群,我们知道矩阵群是不可交换的(又叫非阿贝尔群),由它来刻画的规范场就叫做非阿贝尔规范场。事实上SU(3)规范场并不深奥难懂,它就是8个四维向量场(规范场):

  • 弱相互作用刻画了轻子,夸克等微观粒子的运动规律。

在上一期《大自然的基本力系列(一)——四种基本相互作用简介》中我们已经知道,关于弱相互作用的物理理论是标准模型的Glashow-Weinberg-Salam弱电理论(简称GWS 模型),GWS模型本质上就是是把电磁和弱相互作用的规范场拼在一起,即规范场。前面已经讲过,U(1)规范场是一个四维向量场, 而SU(2)规范场则是三个四维向量场:

同强作用相似,弱作用的规范场也是一种“非阿贝尔规范场”,GWS模型结合微扰理论建立了量子场论的方法是二十世纪物理学的辉煌成就,被称作物理学“标准模型”,标准模型同时也将刻画强相互作用的SU(3)规范场与电弱统一理论的规范场打包放在了一起,成为规范场,于是便将电,弱,强三种基本相互作用统一在规范场的框架下。


但是标准模型不能包括引力相互作用,所以它距离"大统一终极理论"尚有一步之遥。标准模型与很多高能物理的实验观测吻合(例如预言了中性流的存在并于1973 年被实验证实,预言了中间玻色子的类型与质量并于1983年被实验证实,预言了Higgs粒子的存在并于2012年被实验证实,等等),但是物理学家早已意识到标准模型并不是基本相互作用的终极理论,并开始寻找在标准模型之上的更为基本的物理模型。


三、标准模型中哪些无法解决的问题?

除了不能包含引力相互作用,标准模型其实还存在其他问题,笔者小结如下:

  1. 不能解释为什么轻子(包括电子在,中微子等微观粒子)不参与强相互作用;

  2. 没有对强,弱相互作用建立场方程;

  3. 不能给出夸克禁闭与渐进自由现象的合理解释(这是两种微观粒子的实验现象,我们将在后续文章中作专门的介绍)

  4.  无法直接导出与现实相符合的弱相互作用势,没有为弱相互作用建立完整的理论以解释弱相互作用是如何导致基本粒子的衰变等反应。

轻子无法参加强相互作用——by小编

夸克被禁闭在中子和质子等重子内部——by小编

实际上,标准模型有关强相互作用势的理论也不完整,物理学家们也普遍相信标准模型不是关于相互作用的最基本的理论(可参考维基百科链接[11]——小编注)。2013年,马天和汪守宏教授合作为强,弱相互作用建立了耦合场方程[6-8],同时首次计算出了强,弱相互作用的作用荷与作用势。马和汪两位教授发展的理论,能够有效地解决上述几大难题。


我们将在下文中介绍有关相互作用荷和相互作用势的基本概念与基本理论,对这些概念清晰的了解是我们认识基本相互作用的机制和克服上述困难的关键所在。让我们首先来了解一下什么叫做相互作用荷。


四、相互作用荷与相互作用势

我们已经知道,两个有质量的物体之间有引力相互作用,没有质量的物体就不会参与引力相互作用;两个带电的粒子之间产生电磁相互作用,不带电的粒子之间不产生电磁相互作用。对于引力相互作用而言,相互作用荷就是质量,电磁相互作用的作用荷就是电荷。相互作用荷是物体参与相互作用的"资格和原因", 是基本相互作用的“作用源”,具有同一种作用荷的物体才会产生相应的相互作用,所以对基本相互作用荷的讨论非常重要,它们是研究基本相互作用理论的基础。我们熟悉质量与电荷,但是却不熟悉强,弱相互作用的作用荷,那么强和弱作用是不是也对应了某种相互作用荷呢?


马和汪发现,强,弱相互作用的作用荷其实是其相应的规范场的耦合系数。他们合作计算了一系列基本粒子所携带的相互作用荷,建立了完整的相互作用荷理论。物理实验发现所有的轻子(一类质量较轻的微观粒子,包括电子和中微子等)都不参与强相互作用,轻子的内部也不产生强相互作用,马天教授与汪守宏教授的计算结果显示所有的轻子都不携带强荷g_s,在其内部结构中也没有强荷,于是便从理论上解释了轻子为什么不参与强相互作用, 马天与汪守宏的计算结果与实验现象吻合,具体计算过程请参考文献[9]和著作[1][3]。


相互作用荷与相互作用势可以完整地刻画相互作用的过程。对于引力相互作用而言,质量为m_1的物体即可以在空间M中产生引力势,且,同时在这个空间中的另一个质量为m_2的物体便会和m_1产生引力相互作用,作用力大小为,这不就是我们熟悉的万有引力公式么!同理,对于电磁相互作用,电荷为Q_1 的物体即可以在空间M中产生库伦势, 且,同时在这个空间中的另一个电荷为Q_2的物体便会和Q_1产生电磁相互作用,作用力大小为,这就是我们熟悉的库仑力公式。


这样一来我们就可以推断,对于任何一种基本相互作用,作用荷为g_1的物体可以在空间M中产生相应的相互作用势,它是定义在空间M上的函数。同时在这个空间中的另一个携带同一种作用荷为g_2的物体便会和g_1产生这一种相互作用,作用力大小为。 引力相互作用和电磁相互作用的作用势是我们所熟悉的,但是我们对强,弱相互作用的作用势知道的并不多(这两段看似复杂,其实小编编辑起来非常轻松,只需复制粘贴,把质量和电荷换成“作用荷”即可——小编注)。关于强相互作用,汤川秀树(Yukawa, 1907-1981,日本物理学家,诺贝尔物理学奖得主)汤川势来刻画核子(质子或中子)产生的强作用势:

由它可以计算出核子之间的强作用力(模仿库仑力和引力的计算方法,对势能求梯度再乘以作用荷的相反数——小编注)

汤川秀树根据建立的核子力公式提出了核子力的“介子”理论,因而获得了1949 年的诺贝尔物理学奖,上述公式中的m就是汤川提出的介子的质量。当时汤川的理论与实验数据基本上是吻合的,然而核子强作用势的实验图像显示(注意上述公式右端始终有F_Y<0


我们看到,当时F_Y>0, 在这个区间内汤川势与实验数据不吻合,汤川的理论并不能完整地解释实验现象。怎么办呢?马天与汪守宏在2013年的研究中建立了基本相互作用的耦合场方程[6][8],并直接计算出了强相互作用的核子势:

修正的汤川势——小编注


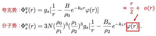
我们可以看到汤川势实际上是时上述公式的近似结果,他们从场方程中直接计算得到的结果可以视为对汤川势的修正,这个结果与核子势的实验图像全部吻合良好!马天与汪守宏合作的工作同时也计算出了强相互作用的夸克势和分子势:

这里的“分子势”是由强相互作用产生的,和产生范德华力的Lennard-Jones势不同——小编注


根据新建立的强相互作用势理论,马天教授与汪守宏教授合作对“夸克禁闭”和“渐进自由”统一给予了合理的解释,查文献[3],[6],[8],(“夸克禁闭”和“渐进自由”是当代粒子物理学最重要的待解难题之一)。文献[7] 与[8]也计算出了弱相互作用的相互作用势,其中夸克与轻子的弱相互作用势如下所示


其中g_w为弱荷,同时他们合作的工作也计算出了夸克内部结构的弱相互作用势。我们在后续的文章中将展示弱相互作用如何在微观粒子的世界发挥作用,并导致beta衰变在内的一系列的粒子反应,相关的文章和书籍可以查阅[3][6][7][8][9]。汪守宏教授曾受邀赴剑桥大学和美国物理学会报告了这一系列工作,并开始引起物理学界的关注(因为这一系列公众包含了大量新颖而又深刻的物理思想和数学方法,需要花大量功夫去检验,或许还需要很长时间才能被完全消化)

马和汪在美国物理协会的报告。他们的结论引起了非常激烈的讨论,但因观点新颖,至今未被报道出来[13]——小编注


五、超越标准模型

在标准模型中无法直接建立强,弱相互作用的作用势,只能采取微扰近似(Pertubation Method,实际上就是泰勒展开,这种方法是解决物理问题的常规手段,现在这种手段也逐渐被迁移到生物问题中——小编注)计算。我们看到,在电磁相互作用中规范场只有一个,就是A, 它也是电磁相互作用的作用势,被称作电磁势,但是在弱相互作用中有三个规范场,标准模型所面对的困难就在于这3 个规范场究竟哪一个可以刻画弱相互作用势呢?在强相互作用中有八个规范,那么这8 个规范场究竟哪一个可以刻画强相互作用势呢?而且,计算这些相互作用势的场方程又是什么呢?标准模型没有给出完整的解决方案,因而无法克服这些困难。


在文献[6][7][8]中,马天教授与汪守宏教授采用的研究方法不同于量子场论常用的微扰近似方法,而是基于规范对称性,基本相互作用的拉格朗日动力学原理(相互作用动力学原理),规范场的表示不变性(这是一种规范场内在的对称性)建立了相互作用的耦合场方程组,文献[8] (该方程组是根据基本的物理原理直接得到的,不是唯象的结果),由场方程便可以直接计算出强,弱相互作用势,不必使用微扰近似。计算强,弱相互作用势最关键的思想是发现规范场的一种内在的对称性(被两位作者命名为“表示不变性”,文献[8]),从而计算出规范场的李代数表示空间(定义见下——小编注)中的一组向量以及



小编旁白:

李代数(Lie algebra)和李群都姓李,这并非偶然——因为每一个李群都可以诱导定义一个李代数。李代数最初被数学家用来表示流形(高维曲面)上的微分算子(微分算子到了高维曲面上就不满足交换律了,所以李代数是非交换代数) ,因此李代数可以看作李群的导数(注意,李群可以看作是连续变换,因此可以“求导”),或者李群切空间的生成元(李群又是流形,流形的切空间本质上就是曲面的切平面)。有了李群和李代数之间的这层裙带关系,规范场就可以用李代数表示出来了。李代数的严格定义可以参见[12]。

李代数和规范场都可看作切平面中的向量,因为流形上的切向量都是用“方向导数”来表示的



这两组向量可以将3个弱相互作用规范场和8个强相互作用规范场各合并成一个规范场:

从而克服了前文中提到的标准模型所面临的困难, 这一系列工作直接计算出了强,弱相互作用势,得到的结果修正了汤川秀树的核子势,解释了夸克禁闭和渐进自由两个实验现象,为弱相互作用建立了完整的粒子反应机制。计算的细节可以查阅文献[6-8] 以及著作[1][3]。 


总结

最后我们再来简要回顾一下马和汪的理论同标准模型的一些差异,以加深读者印象


目前,标准模型建立的理论专注于粒子衰变,散射,及其各种反应概率的计算,由此建立的费曼图技术,重整化技术,主要是为了计算这些粒子反应的概率。相互作用机制的深层原因,还是一个开放的问题。


而马天和汪守宏的工作是基于基本的物理原理,为四种基本相互作用建立了可以耦合的场方程,从而计算出了相互作用荷与相互作用势,带给我们对相互作用基本发生机制的深刻了解。基于对相互作用机制的深入探索,微观粒子世界的一系列现象就会变得不再那么玄奥难懂。相关内容我们将在这个系列的文章中继续作专文介绍,敬请期待!



参考文献:

[1] Tian Ma, Shouhong Wang:  Mathematical Principles of Theoretical Physics, Science Press, August 2015, 524pp.免费下载地址:http://www.indiana.edu/~fluid/MPTP.pdf.

[2] 马天:《从数学观点看物理世界--几何分析,引力场与相对论》,科学出版社,2012.

[3] 马天:《从数学观点看物理世界--基本粒子与统一场理论》,科学出版社,2014.

[4] 暗物质暗能量之谜——宇宙大尺度的广义相对论!。

[5] Tian Ma, Shouhong Wang: Gravitational field equations and theory of dark matter and dark energy. Discrete. Contin. Dyn. Syst., Ser. A 34(2), 335–366 (2014). See also arXiv:1206.5078.

[6] Tian Ma , Shouhong Wang, Duality of Strong Interaction, EJTP, 11:31(2014), 101-124;  see also IU Institute for Scientific Computing and Applied Mathematics Preprint Series, 1301.下载地址:http://www.indiana.edu/~fluid/paper/strongrevised.pdf

[7] Tian Ma , Shouhong Wang, Duality Theory of Weak Interaction, IU Institute for Scientific Computing and Applied Mathematics Preprint Series, 1302.下载地址:http://www.indiana.edu/~fluid/paper/weak-revised.pdf

[8] Tian Ma , Shouhong Wang, Unified Field Theory and Principle of Representation Invariance, Applied Mathematics and Optimization,Volume 69:3 (2014), pp 359-392; arxiv:1212.4893

[9] Tian Ma , Shouhong Wang, Weakton Model of Elementary Particles and Decay Mechanisms, 5/30/2013, IU Institute for Scientific Computing and Applied Mathematics Preprint Series, 1304.下载地址:http://www.indiana.edu/~fluid/paper/MW-weakton.pdf

[10] https://en.wikipedia.org/wiki/Helmholtz_decomposition.

[11] https://en.wikipedia.org/wiki/Physics_beyond_the_Standard_Model.

[12] https://en.wikipedia.org/wiki/Lie_algebra.

[13] https://absuploads.aps.org/presentation.cfm?pid=13158.



本文经授权转载自《科普最前线》微信公众号



十大热门文章

1. 超导“小时代”之二十一:火箭式的速度

2. 物理学咬文嚼字之八十八:Bubble & Foam

3. 稳态磁场抑制肿瘤细胞生长机制

4.  昌明其德有辉 旋进其业有痕——回顾俞昌旋先生平凡又非凡的一生

5.  量子纠缠:从量子物质态到深度学习

6.  “冷分子制备与操控”专题讲座第二讲:分子束的静电Stark减速、静磁Zeeman减速和光学Stark减速技术

7.  我们的核废料该去哪?

8. 钙钛矿太阳能电池:其实我不含钙,也不含钛

9. “慢滑移”与地震

10. 飞剪帆船、竞速帆船和波形线理论

END


更多精彩文章,请关注微信号:cpsjournals


长按指纹 > 识别图中二维码 > 添加关注


登录查看更多
0

相关内容

阿贝尔群(Abelian Group),又称交换群或加群,是这样一类群:它由自身的集合 G 和二元运算 * 构成。它除了满足一般的群公理,即运算的结合律、G 有单位元、所有 G 的元素都有逆元之外,还满足交换律公理。因为阿贝尔群的群运算满足交换律和结合律,群元素乘积的值与乘法运算时的次序无关。阿贝尔群的概念是抽象代数的基本概念之一。其基本研究对象是模和向量空间。阿贝尔群的理论比其他非阿贝尔群简单。有限阿贝尔群已经被彻底地研究了。无限阿贝尔群理论则是目前正在研究的领域。
专知会员服务
43+阅读 · 2020年7月7日
【新书册】贝叶斯神经网络,41页pdf
专知会员服务
180+阅读 · 2020年6月3日
【CVPR2020】图神经网络中的几何原理连接
专知会员服务
57+阅读 · 2020年4月8日
专知会员服务
20+阅读 · 2020年3月29日
干货书《数据科学数学系基础》2020最新版,266页pdf
专知会员服务
323+阅读 · 2020年3月23日
图神经网络表达能力的研究综述,41页pdf
专知会员服务
173+阅读 · 2020年3月10日
从动力学角度看优化算法:GAN的第三个阶段
PaperWeekly
11+阅读 · 2019年5月13日
【机器学习】深入剖析机器学习中的统计思想
产业智能官
17+阅读 · 2019年1月24日
丘成桐:攻克物理难题的数学大师
科技导报
5+阅读 · 2018年7月23日
傅里叶变换和拉普拉斯变换的物理解释及区别
算法与数学之美
11+阅读 · 2018年2月5日
概率论之概念解析:引言篇
专知
6+阅读 · 2018年1月8日
图解高等数学|线性代数
遇见数学
39+阅读 · 2017年10月18日
酒鬼漫步的数学——随机过程 | 张天蓉专栏
知识分子
10+阅读 · 2017年8月13日
Self-Attention Graph Pooling
Arxiv
5+阅读 · 2019年4月17日
Arxiv
6+阅读 · 2019年3月19日
3D-LaneNet: end-to-end 3D multiple lane detection
Arxiv
7+阅读 · 2018年11月26日
Arxiv
23+阅读 · 2018年10月1日
Labeling Panoramas with Spherical Hourglass Networks
Arxiv
10+阅读 · 2018年2月4日
VIP会员
相关VIP内容
专知会员服务
43+阅读 · 2020年7月7日
【新书册】贝叶斯神经网络,41页pdf
专知会员服务
180+阅读 · 2020年6月3日
【CVPR2020】图神经网络中的几何原理连接
专知会员服务
57+阅读 · 2020年4月8日
专知会员服务
20+阅读 · 2020年3月29日
干货书《数据科学数学系基础》2020最新版,266页pdf
专知会员服务
323+阅读 · 2020年3月23日
图神经网络表达能力的研究综述,41页pdf
专知会员服务
173+阅读 · 2020年3月10日
相关资讯
从动力学角度看优化算法:GAN的第三个阶段
PaperWeekly
11+阅读 · 2019年5月13日
【机器学习】深入剖析机器学习中的统计思想
产业智能官
17+阅读 · 2019年1月24日
丘成桐:攻克物理难题的数学大师
科技导报
5+阅读 · 2018年7月23日
傅里叶变换和拉普拉斯变换的物理解释及区别
算法与数学之美
11+阅读 · 2018年2月5日
概率论之概念解析:引言篇
专知
6+阅读 · 2018年1月8日
图解高等数学|线性代数
遇见数学
39+阅读 · 2017年10月18日
酒鬼漫步的数学——随机过程 | 张天蓉专栏
知识分子
10+阅读 · 2017年8月13日
相关论文
Self-Attention Graph Pooling
Arxiv
5+阅读 · 2019年4月17日
Arxiv
6+阅读 · 2019年3月19日
3D-LaneNet: end-to-end 3D multiple lane detection
Arxiv
7+阅读 · 2018年11月26日
Arxiv
23+阅读 · 2018年10月1日
Labeling Panoramas with Spherical Hourglass Networks
Arxiv
10+阅读 · 2018年2月4日
Top
微信扫码咨询专知VIP会员