单应性Homograph估计:从传统算法到深度学习

2020 年 10 月 24 日 CVer

点击上方“CVer”,选择加"星标"置顶

重磅干货,第一时间送达

本文者:白裳

https://zhuanlan.zhihu.com/p/74597564

本文已由原作者授权,不得擅自二次转载

单应性原理被广泛应用于图像配准,全景拼接,机器人定位SLAM,AR增强现实等领域。这篇文章从基础图像坐标知识系为起点,讲解图像变换与坐标系的关系,介绍单应性矩阵计算方法,并分析深度学习在单应性方向的进展。

本文为入门级文章,希望能够帮助读者快速了解相关内容。

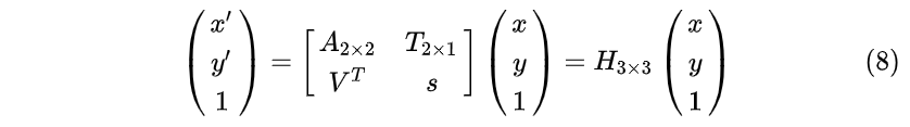
目录
一 图像变换与平面坐标系的关系
二 平面坐标系与齐次坐标系
三 单应性变换
四 深度学习在单应性方向的进展
单应性估计在图像拼接中的应用

一 图像变换与平面坐标系的关系

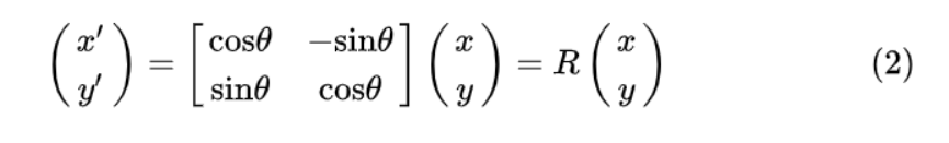
  • 旋转:

将图形围绕原点  逆时针方向旋转  角,用解析式表示为:

旋转


写成矩阵乘法形式:

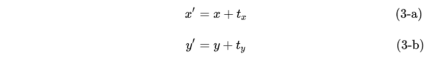
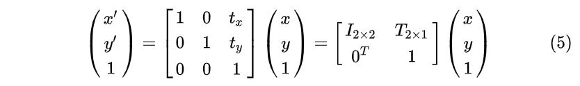
  • 平移:

平移

但是现在遇到困难了,平移无法写成和上面旋转一样的矩阵乘法形式。所以引入齐次坐标  ,再写成矩阵形式:

其中  表示单位矩阵,而  表示平移向量。

那么就可以把把旋转平移统一写在一个矩阵乘法公式中,即刚体变换

而旋转矩阵  是正交矩阵(  )。

刚体变换:旋转+平移(正方形-正方形)
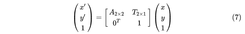
  • 仿射变换

其中  可以是任意2x2矩阵(与  一定是正交矩阵不同)。

仿射变换(正方形-平行四边形)

可以看到,相比刚体变换(旋转和平移),仿射变换除了改变目标位置,还改变目标的形状,但是会保持物体的“平直性”。

不同  和  矩阵对应的各种基本仿射变换:

  • 投影变换(单应性变换)

投影变换(正方形-任意四边形)

简单说,投影变换彻底改变目标的形状。

总结一下:

  1. 刚体变换:平移+旋转,只改变物体位置,不改变物体形状

  2. 仿射变换:改变物体位置和形状,但是保持“平直性”

  3. 投影变换:彻底改变物体位置和形状

注:上图“投影变换”应该是“任意四边形”

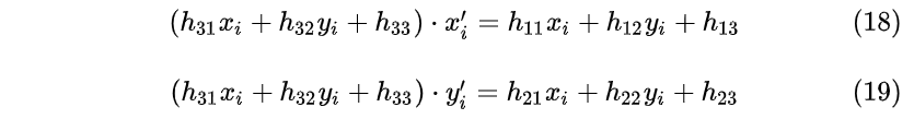
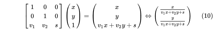
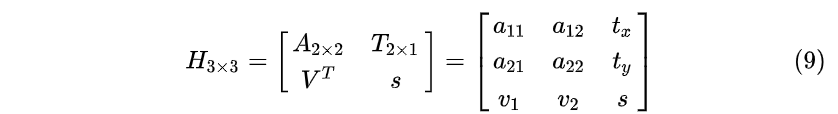
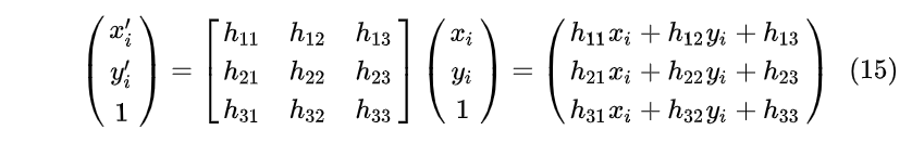
我们来看看完整投影变换矩阵各个参数的物理含义:

其中  代表仿射变换参数,  代表平移变换参数。

而  表示一种“变换后边缘交点“关系,如:

至于  则是一个与  相关的缩放因子。

一般情况下都会通过归一化使得  (原因见下文)。

二 平面坐标系与齐次坐标系

问题来了,齐次坐标到底是什么?

齐次坐标系  与常见的三维空间坐标系  不同,只有两个自由度:

而  (其中  )对应坐标  和  的缩放尺度。当  时:

特别的当  时,对应无穷远:

三 单应性变换

  • 单应性是什么?

此处不经证明的给出:同一个 [无镜头畸变] 的相机从不同位置拍摄 [同一平面物体] 的图像之间存在单应性,可以用 [投影变换] 表示 。

注意:单应性成立是有条件的!

简单说就是:

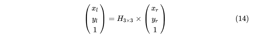
其中  是Left view图片上的点,  是Right view图片上对应的点。

  • 那么这个  单应性矩阵如何求解呢?

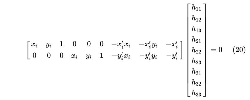
更一般的,每一组匹配点  有

由平面坐标与齐次坐标对应关系  ,上式可以表示为:

进一步变换为:

写成矩阵  形式:

也就是说一组匹配点  可以获得2组方程。

  • 单应性矩阵8自由度

注意观察:单应性矩阵  与  其实完全一样(其中 ),例如:

即点  无论经过  还是  映射,变化后都是  。

如果使  ,那么有:

所以单应性矩阵  虽然有9个未知数,但只有8个自由度。

在求  时一般添加约束  (也有用  约束),所以还有  共8个未知数。由于一组匹配点  对应2组方程,那么只需要  组不共线的匹配点即可求解  的唯一解。

XIAOMI9拍摄,有镜头畸变

OpenCV已经提供了相关API,代码和变换结果如下。

import cv2
import numpy as np

im1 = cv2.imread('left.jpg')
im2 = cv2.imread('right.jpg')

src_points = np.array([[581, 297], [1053, 173], [1041, 895], [558, 827]])
dst_points = np.array([[571, 257], [963, 333], [965, 801], [557, 827]])

H, _ = cv2.findHomography(src_points, dst_points)

h, w = im2.shape[:2]

im2_warp = cv2.warpPerspective(im2, H, (w, h))


可以看到:

  1. 红框所在平面上内容基本对齐,但受到镜头畸变影响无法完全对齐;

  2. 平面外背景物体不符合单应性原理,偏离很大,完全无法对齐。

  • 传统方法估计单应性矩阵

一般传统方法估计单应性变换矩阵,需要经过以下4个步骤:

  1. 提取每张图SIFT/SURF/FAST/ORB等特征点

  2. 提取每个特征点对应的描述子

  3. 通过匹配特征点描述子,找到两张图中匹配的特征点对(这里可能存在错误匹配)

  4. 使用RANSAC算法剔除错误匹配

  5. 求解方程组,计算Homograph单应性变换矩阵

示例代码如下:

#coding:utf-8

# This code only tested in OpenCV 3.4.2!
import cv2
import numpy as np

# 读取图片
im1 = cv2.imread('left.jpg')
im2 = cv2.imread('right.jpg')

# 计算SURF特征点和对应的描述子,kp存储特征点坐标,des存储对应描述子
surf = cv2.xfeatures2d.SURF_create()
kp1, des1 = surf.detectAndCompute(im1, None)
kp2, des2 = surf.detectAndCompute(im2, None)

# 匹配特征点描述子
bf = cv2.BFMatcher()
matches = bf.knnMatch(des1, des2, k=2)

# 提取匹配较好的特征点
good = []
for m,n in matches:
if m.distance < 0.7*n.distance:
good.append(m)

# 通过特征点坐标计算单应性矩阵H
# (findHomography中使用了RANSAC算法剔初错误匹配)
src_pts = np.float32([kp1[m.queryIdx].pt for m in good]).reshape(-1,1,2)
dst_pts = np.float32([kp2[m.trainIdx].pt for m in good]).reshape(-1,1,2)
H, mask = cv2.findHomography(src_pts, dst_pts, cv2.RANSAC, 5.0)
matchesMask = mask.ravel().tolist()

# 使用单应性矩阵计算变换结果并绘图
h, w, d = im1.shape
pts = np.float32([[0,0], [0,h-1], [w-1,h-1], [w-1,0]]).reshape(-1,1,2)
dst = cv2.perspectiveTransform(pts, H)
img2 = cv2.polylines(im2, [np.int32(dst)], True, 255, 3, cv2.LINE_AA)

draw_params = dict(matchColor = (0,255,0), # draw matches in green color
singlePointColor = None,
matchesMask = matchesMask, # draw only inliers
flags = 2)

im3 = cv2.drawMatches(im1, kp1, im2, kp2, good, None, **draw_params)

相关内容网上资料较多,这里不再重复造轮子。需要说明,一般情况计算出的匹配的特征点对  数量都有  ,此时需要解超定方程组(类似于求解线性回归)。

四 深度学习在单应性方向的进展

  • HomographyNet(深度学习end2end估计单应性变换矩阵)

HomographyNet是发表在CVPR 2016的一种用深度学习计算单应性变换的网络,即输入两张图,直接输出单应性矩阵  。

在之前的分析中提到,只要有4组  匹配点即可计算  的唯一解。

相似的,只要有4组  也可以计算出  的唯一解:

其中  且  。

分析到这里,如果要计算  ,网络输出可以有以下2种情况:

  1. Regression:网络直接输出  共8个数值

这样设置网络非常直观,使用L2损失训练,测试时直接输出8个float values,但是没有置信度confidence。即在使用网络时,无法知道当前输出单应性可靠程度。

2. Classification:网络输出  共8个值的量化值+confidence

这时将网络输出每个  和  量化成21个区间,用分类的方法判断落在哪一个区间。训练时使用Softmax损失。相比回归直接输出数值,量化必然会产生误差,但是能够输出分类置信度评判当前效果好坏,更便于实际应用。

另外HomographyNet训练时数据生成方式也非常有特色。

  1. 首先在随机  位置获取正方形图像块Patch A

  2. 然后对正方形4个点进行随机扰动,同时获得4组 

  3. 再通过4组  计算 

  4. 最后将图像通过  变换,在变换后图像  位置获取正方形图像块Patch B

那么图像块A和图像块B作为输入,4组  作为监督Label,进行训练

可以看到,在无法提取足够特征点的弱纹理区域,HomographyNet相比传统方法确实有一定的优势:

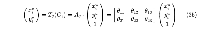
  • Spatial Transformer Networks(直接对CNN中的卷积特征进行变换)

其实早在2015年,就已经有对CNN中的特征进行变换的STN结构。

假设有特征层  ,经过卷积变为  ,可以在他们之间插入STN结构。这样就可以直接学习到从特征  上的点  映射到特征  对应点  的仿射变换。

其中  对应STN中的仿射变换参数。STN直接在特征维度进行变换,且可以插入轻松任意两层卷积中。

  • DELF: DEep Local Features(深度学习提取特征点与描述子)

之前提到传统方法使用SIFT和Surf等特征点估计单应性。显然单应性最终估计准确度严重依赖于特征点和描述子性能。Google在ICCV 2017提出使用使用深度学习提取特征点。

tensorflow/models/delf github.com

考虑到篇幅,这里不再展开DELF,请有兴趣的读者自行了解相关内容。

下载1:动手学深度学习


在CVer公众号后台回复动手学深度学习,即可下载547页《动手学深度学习》电子书和源码。该书是面向中文读者的能运行、可讨论的深度学习教科书,它将文字、公式、图像、代码和运行结果结合在一起。本书将全面介绍深度学习从模型构造到模型训练,以及它们在计算机视觉和自然语言处理中的应用。



下载2:CVPR /  ECCV 2020开源代码


在CVer公众号后台回复:CVPR2020,即可下载CVPR 2020代码开源的论文合集

在CVer公众号后台回复:ECCV2020,即可下载ECCV 2020代码开源的论文合集


重磅!CVer-论文写作与投稿交流群成立


扫码添加CVer助手,可申请加入CVer-论文写作与投稿 微信交流群,目前已满2400+人,旨在交流顶会(CVPR/ICCV/ECCV/NIPS/ICML/ICLR/AAAI等)、顶刊(IJCV/TPAMI/TIP等)、SCI、EI、中文核心等写作与投稿事宜。


同时也可申请加入CVer大群和细分方向技术群,细分方向已涵盖:目标检测、图像分割、目标跟踪、人脸检测&识别、OCR、姿态估计、超分辨率、SLAM、医疗影像、Re-ID、GAN、NAS、深度估计、自动驾驶、强化学习、车道线检测、模型剪枝&压缩、去噪、去雾、去雨、风格迁移、遥感图像、行为识别、视频理解、图像融合、图像检索、论文投稿&交流、PyTorch和TensorFlow等群。


一定要备注:研究方向+地点+学校/公司+昵称(如论文写作+上海+上交+卡卡),根据格式备注,可更快被通过且邀请进群



▲长按加微信群


▲长按关注CVer公众号

整理不易,请给CVer点赞和在看

登录查看更多
8

相关内容

专知会员服务
80+阅读 · 2020年12月6日
深度学习图像检索(CBIR): 十年之大综述
专知会员服务
47+阅读 · 2020年12月5日
必须收藏!MIT-Gilbert老爷子《矩阵图解》,一张图看透矩阵
【普林斯顿】机器学习数学视角,63页ppt
专知会员服务
88+阅读 · 2020年11月6日
【ST2020硬核课】深度学习即统计学习,50页ppt
专知会员服务
67+阅读 · 2020年8月17日
专知会员服务
46+阅读 · 2020年7月29日
深度学习界圣经“花书”《Deep Learning》中文版来了
专知会员服务
240+阅读 · 2019年10月26日
博客 | MIT—线性代数(上)
AI研习社
9+阅读 · 2018年12月18日
从零开始一起学习SLAM | 三维空间刚体的旋转
计算机视觉life
4+阅读 · 2018年10月14日
什么是深度学习的卷积?
论智
18+阅读 · 2018年8月14日
如何轻松解锁神经网络的数学姿势
ImportNew
6+阅读 · 2018年1月4日
干货 | 深度学习之卷积神经网络(CNN)的前向传播算法详解
机器学习算法与Python学习
9+阅读 · 2017年11月17日
图解高等数学|线性代数
遇见数学
39+阅读 · 2017年10月18日
卡尔曼滤波器算法浅析及matlab实战
无人机
5+阅读 · 2017年7月25日
干货|全景视频拼接的关键技术分析
全球人工智能
13+阅读 · 2017年7月15日
Arxiv
0+阅读 · 2021年2月1日
Arxiv
0+阅读 · 2021年1月31日
Inferred successor maps for better transfer learning
Arxiv
12+阅读 · 2019年1月24日
Implicit Maximum Likelihood Estimation
Arxiv
7+阅读 · 2018年9月24日
Arxiv
4+阅读 · 2018年3月19日
VIP会员
相关VIP内容
专知会员服务
80+阅读 · 2020年12月6日
深度学习图像检索(CBIR): 十年之大综述
专知会员服务
47+阅读 · 2020年12月5日
必须收藏!MIT-Gilbert老爷子《矩阵图解》,一张图看透矩阵
【普林斯顿】机器学习数学视角,63页ppt
专知会员服务
88+阅读 · 2020年11月6日
【ST2020硬核课】深度学习即统计学习,50页ppt
专知会员服务
67+阅读 · 2020年8月17日
专知会员服务
46+阅读 · 2020年7月29日
深度学习界圣经“花书”《Deep Learning》中文版来了
专知会员服务
240+阅读 · 2019年10月26日
相关资讯
博客 | MIT—线性代数(上)
AI研习社
9+阅读 · 2018年12月18日
从零开始一起学习SLAM | 三维空间刚体的旋转
计算机视觉life
4+阅读 · 2018年10月14日
什么是深度学习的卷积?
论智
18+阅读 · 2018年8月14日
如何轻松解锁神经网络的数学姿势
ImportNew
6+阅读 · 2018年1月4日
干货 | 深度学习之卷积神经网络(CNN)的前向传播算法详解
机器学习算法与Python学习
9+阅读 · 2017年11月17日
图解高等数学|线性代数
遇见数学
39+阅读 · 2017年10月18日
卡尔曼滤波器算法浅析及matlab实战
无人机
5+阅读 · 2017年7月25日
干货|全景视频拼接的关键技术分析
全球人工智能
13+阅读 · 2017年7月15日
相关论文
Arxiv
0+阅读 · 2021年2月1日
Arxiv
0+阅读 · 2021年1月31日
Inferred successor maps for better transfer learning
Arxiv
12+阅读 · 2019年1月24日
Implicit Maximum Likelihood Estimation
Arxiv
7+阅读 · 2018年9月24日
Arxiv
4+阅读 · 2018年3月19日
Top
微信扫码咨询专知VIP会员