ECCV 2018 | CornerNet:目标检测算法新思路

2018 年 8 月 11 日 极市平台

极市平台是专业的视觉算法开发和分发平台,加入极市专业CV交流群,与6000+来自腾讯,华为,百度,北大,清华,中科院等名企名校视觉开发者互动交流!更有机会与李开复老师等大牛群内互动!

同时提供每月大咖直播分享、真实项目需求对接、干货资讯汇总,行业技术交流点击文末“阅读原文”立刻申请入群~


1 目标检测算法概述

CornerNet(https://arxiv.org/abs/1808.01244)是密歇根大学Hei Law等人在发表ECCV2018的一篇论文,主要实现目标检测。在开始介绍CornerNet论文之前,先复习一下目标检测领域的主流算法,因为作者提出的算法和主流算法很多不一样。


深度方法主要分为one-stage(e.g. SSD, YOLO)和two-stage(e.g. RCNN系列)两种。single-stage直接在图片上经过计算生成detections。two-stage先提取proposal, 再基于proposal做二次修正。相对来说single-stage速度快, 精度低. 而two-stage精度高, 速度慢。


2012年, 基于深度学习CNN网络的AlexNet在ILSVRC竞赛的ImageNet上大放异彩, 2014年Ross Girshick利用CNN成功取代了HOG、DPM等特征提取, ross等人把目标检测分成了三个步骤,首先是对图像提取detection proposal,其实就是图像中一些可能是检测物体的区域,然后使用cnn对这些proposal进行特征提取,最后用svm对这些提取到的特征进行分类,从而完成检测的任务,这是 Two-stage object detectors鼻祖。


从RCNN、SPPNet到fast RCNN,再到Faster RCNN,目标检测的三个步骤(区域选择,特征提取,分类回归)被统一到一个深度网络框架之内,大大提高了运行速度。FCN,FPN, RoI Align, Mask Branch等技术把Faster R-CNN往前极大的推进。之后又出现了FCN, IoU, NMS,ION,FPN, RoI Align和Mask Branch等技术渊源和YOLO, SSD, AttratioNet, G-CNN, R-FCN, Mask R-CNN, Mask ^X R-CNN等的进化关系!


图 1 Faster RCNN算法框架


one-stage检测算法,其不需要region proposal阶段,直接产生物体的类别概率和位置坐标值,经过单次检测即可直接得到最终的检测结果,因此有着更快的检测速度,比较典型的算法如YOLO,SSD,Retina-Net。YOLO 使用了分治思想,将输入图片分为 SxS 的网格,不同网格用性能优良的分类器去分类。SSD 将 YOLO 和 Anchor 思想融合起来,并创新使用 Feature Pyramid 结构。YOLO, YOLO-v2, YOLO-v3, SSD、DSSD等实时模型的推出, 让目标检测变得更快。


2 Motivation

CornerNet认为Two-stage目标检测最明显的缺点是 Region Proposal 阶段需要提取的anchor boxes。(1)、提取的anchor boxes数量较多,比如DSSD使用40k, RetinaNet使用100k,anchor boxes众多造成anchor boxes征服样本均衡。(2)、anchor boxes需要调整很多超参数,比如anchor boxes数量、尺寸、比率,影响模型的训练和推断速率。


论文提出one-stage的检测方法,舍弃传统的 anchor boxes思路,提出CornerNet模型预测目标边界框的左上角和右下角一对顶点,即 使用单一卷积模型生成热点图和连接矢量:所有目标的左上角和所有目标的右下角热点图,每个顶点的连接矢量(embedding vector)。


图 2 CornerNet框架


作者的思路其实来源于一篇多人姿态估计的论文[1]。基于CNN的2D多人姿态估计方法,通常有2个思路(Bottom-Up Approaches和Top-Down Approaches):

(1)Top-Down framework,就是先进行行人检测,得到边界框,然后在每一个边界框中检测人体关键点,连接成每个人的姿态,缺点是受人体检测框影响较大,代表算法有RMPE。

(2)Bottom-Up framework,就是先对整个图片进行每个人体关键点部件的检测,再将检测到的人体部位拼接成每个人的姿态,缺点就是可能将,代表方法就是openpose。


论文的第一个创新是讲目标检测上升到方法论,基于多人姿态估计的Bottom-Up思想,首先同时预测定位框的顶点对(左上角和右下角)热点图和embedding vector,根据embedding vector对顶点进行分组。


论文第二个创新是提出了corner pooling用于定位顶点。自然界的大部分目标是没有边界框也不会有矩形的顶点,依top-left corner pooling 为例,对每个channel,分别提取特征图的水平和垂直方向的最大值,然后求和。

图 3 corner pooling计算方式


论文认为corner pooling之所以有效,是因为(1)目标定位框的中心难以确定,和边界框的4条边相关,但是每个顶点只与边界框的两条边相关,所以corner 更容易提取。(2)顶点更有效提供离散的边界空间,实用O(wh)顶点可以表示O(w2h2) anchor boxes。


论文的第三个创新是模型基于hourglass架构,使用focal loss[5]的变体训练神经网络。


论文提出的CornerNet在MS COCO测试验证,达到42.1% AP,完胜所有的one-stage目标检测方法,同时在git公布基于PyTorch源码:

https://github.com/umich-vl/CornerNet


3 Architecture

3.1 Overview

图 4CornerNet模型架构


如图 4所示,CornerNet模型架构包含三部分,Hourglass[7] Network,Bottom-right corners&Top-left Corners Heatmaps和Prediction Module。


Hourglass Network是人体姿态估计的典型架构,论文堆叠两个Hourglass Network生成Top-left和Bottom-right corners,每一个corners都包括corners Pooling,以及对应的Heatmaps, Embeddings vector和offsets。embedding vector使相同目标的两个顶点(左上角和右下角)距离最短, offsets用于调整生成更加紧密的边界定位框。


3.2Detecting Corners

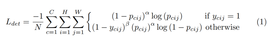
论文模型生成的heatmaps包含C channels(C是目标的类别,没有background channel),每个channel是二进制掩膜,表示相应类别的顶点位置。


对于每个顶点,只有一个ground-truth,其他位置都是负样本。在训练过程,模型减少负样本,在每个ground-truth顶点设定半径r区域内都是正样本,这是因为落在半径r区域内的顶点依然可以生成有效的边界定位框,论文中设置IoU=0.7。


pcij表示类别为c,坐标是(i,j)的预测热点图,ycij表示相应位置的ground-truth,论文提出变体Focal loss表示检测目标的损失函数:



由于下采样,模型生成的热点图相比输入图像分辨率低。论文提出偏移的损失函数,用于微调corner和ground-truth偏移。



3.3Grouping Corners

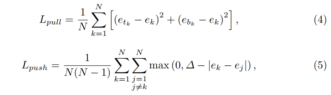
输入图像会有多个目标,相应生成多个目标的左上角和右下角顶点。对顶点进行分组,论文引入[1] Associative Embedding的思想,模型在训练阶段为每个corner预测相应的embedding vector,通过embedding vector使同一目标的顶点对距离最短,既模型可以通过embedding vector为每个顶点分组。


模型训练Lpull损失函数使同一目标的顶点进行分组, Lpush损失函数用于分离不同目标的顶点。



3.4Hourglass Network

Hourglass Network同时包含了bottom-up(from high resolutions to low resolutions)和top-down (from low resolutions to high resolutions)。而且,整个网络有多个bottom-up和top-down过程。这样设计的目的是在各个尺度下抓取信息。针对目标检测任务,论文调整了Hourglass一些策略。


4 Experiments

论文的训练损失函数包含了第三部分介绍的4个损失函数,α, β 和γ用于调整相应损失函数的权重:



模型训练过程中使用10个Titan X (PASCAL) GPUs,详细的训练参数可参考原论文。模型的推断时间是244ms/ image (Titan XPASCAL GPU)。


CornerNet相比其它one-stage目标检测算法,MS COCO数据集测试AP有明显提高,虽然性能接近于Two-stage检测算法,但是推断时间无明显优势。


Table 4MS COCO test-dev数据集性能对比


5 Discussion

个人观点:CornerNet创新来自于多人姿态估计的Bottom-Up思路,预测corner的heatmps,根据Embeddings vector对corner进行分组,其主干网络也来自于姿态估计的Hourglass Network。模型的源码在github已经公布,可以放心大胆的研究测试。


CV的很多任务之间是相通的,CVPR2018 best paper [8]也印证这一观点,在不同的子领域寻找相似性,迁移不同领域的算法,是CV行业一个趋势。


多人姿态估计的Hourglass Network算法也不断改进中,其实论文模型的推断速率受限于Hourglass Network的特征提取,有志青年也可以沿着这个思路取得更好的性能。

以上仅为个人阅读论文后的理解、总结和思考。观点难免偏差,望读者以怀疑批判态度阅读,欢迎交流指正。


6 参考文献

  • Newell, A., Huang, Z., Deng, J.: Associative embedding: End-to-end learning for joint detection and grouping. In: Advances in Neural Information Processing Systems. pp. 2274{2284 (2017)

  • Hei Law, Jia Deng :CornerNet: Detecting Objects as Paired Keypoints.ECCV2018

  • Girshick, R.: Fast r-cnn. arXiv preprint arXiv:1504.08083 (2015)

  • Girshick, R., Donahue, J., Darrell, T., Malik, J.: Rich feature hierarchies for accurate object detection and semantic segmentation. In: Proceedings of the IEEE conference on computer vision and pattern recognition. pp. 580{587 (2014)

  • Lin, T.Y., Goyal, P., Girshick, R., He, K., Doll´ar, P.: Focal loss for dense object detection. arXiv preprint arXiv:1708.02002 (2017)

  • Liu, W., Anguelov, D., Erhan, D., Szegedy, C., Reed, S., Fu, C.Y., Berg, A.C.:SSD: Single shot multibox detector. In: European conference on computer vision.pp. 21{37. Springer (2016)

  • Newell, A., Yang, K., Deng, J.: Stacked hourglass networks for human pose estimation. In: European Conference on Computer Vision. pp. 483{499. Springer (2016)

  • Amir R. Zamir , Alexander Sax Taskonomy: Disentangling Task Transfer Learning.CVPR2018



END

—本文为极市原创,欢迎大家投稿,转载请后台留言—







每月大咖直播分享、真实项目需求对接、干货资讯汇总,行业技术交流点击左下角“阅读原文”立刻申请入群~

登录查看更多
13

相关内容

ECCV的全称是European Conference on Computer Vision(欧洲计算机视觉国际会议) ,两年一次,是计算机视觉三大会议(另外两个是ICCV和CVPR)之一。每次会议在全球范围录用论文300篇左右,主要的录用论文都来自美国、欧洲等顶尖实验室及研究所,中国大陆的论文数量一般在10-20篇之间。
深度学习目标检测方法及其主流框架综述
专知会员服务
148+阅读 · 2020年6月26日
【文献综述】深度学习目标检测方法及其主流框架综述
专知会员服务
119+阅读 · 2020年6月26日
3D目标检测进展综述
专知会员服务
193+阅读 · 2020年4月24日
专知会员服务
164+阅读 · 2020年4月21日
CVPR2020 | 商汤-港中文等提出PV-RCNN:3D目标检测新网络
专知会员服务
45+阅读 · 2020年4月17日
目标检测中边界框的回归策略
极市平台
17+阅读 · 2019年9月8日
FoveaBox,超越Anchor-Based的检测器
极市平台
10+阅读 · 2019年4月22日
一文读懂目标检测:R-CNN、Fast R-CNN、Faster R-CNN、YOLO、SSD
七月在线实验室
11+阅读 · 2018年7月18日
目标检测算法盘点(最全)
七月在线实验室
17+阅读 · 2018年4月27日
论文 | 基于CNN的目标检测算法
七月在线实验室
9+阅读 · 2017年12月7日
Arxiv
5+阅读 · 2018年4月17日
Arxiv
3+阅读 · 2018年3月5日
VIP会员
相关资讯
目标检测中边界框的回归策略
极市平台
17+阅读 · 2019年9月8日
FoveaBox,超越Anchor-Based的检测器
极市平台
10+阅读 · 2019年4月22日
一文读懂目标检测:R-CNN、Fast R-CNN、Faster R-CNN、YOLO、SSD
七月在线实验室
11+阅读 · 2018年7月18日
目标检测算法盘点(最全)
七月在线实验室
17+阅读 · 2018年4月27日
论文 | 基于CNN的目标检测算法
七月在线实验室
9+阅读 · 2017年12月7日
Top
微信扫码咨询专知VIP会员