YOLOv5全面解析教程(三):IoU深入解析

2022 年 11 月 15 日 极市平台
↑ 点击 蓝字  关注极市平台

作者丨Fengwen,BBuf
来源丨GiantPandaCV
编辑丨极市平台

极市导读

 

本文主要的介绍用于边界框回归的DIoU损失和CIoU损失和用于抑制冗余检测框的DIoU-NMS。>>加入极市CV技术交流群,走在计算机视觉的最前沿

摘要

边界框回归是目标检测的关键步骤,在现有方法中,虽然-norm loss 被广泛用于边界框回归,但它不是针对评估指标量身定制的,即 Intersection over Union (IoU)。最近,已经提出了 IoU 损失和generalized IoU (GIoU) Loss作为评估IoU的指标 ,但仍然存在收敛速度慢和回归不准确的问题。在本文中,我们通过结合预测框和目标框之间的归一化距离来提出距离-IoU (DIoU) Loss,它在训练中的收敛速度比 IoU 和 GIoU Loss快得多。

此外,本文总结了边界框回归中的三个几何因素,即

重叠面积(overlap area)、中心点距离(central point distance)和高宽比(aspect ratio),在此基础上提出了完全损失,从而促进了更快的收敛和更优的性能。通过将 结合到最先进的目标检测算法中,例如 YOLO v3、SSD 和 Faster RCNN,我们不仅在 IoU 指标方面而且在 GIoU 指标方面都获得了显着的性能提升。此外,DIoU 可以很容易地用于非最大抑制(NMS)作为标准,进一步促进性能提升。

注释:这里IoU指标方面和GIoU指标方面指的是在:目标检测精度测量(mAP值 ),IoU损失计算稳定性等一些方面。

目标检测是计算机视觉任务中的关键问题之一,几十年来一直受到了广泛的研究关注 (Redmon et al. 2016; Redmon and Farhadi 2018; Ren et al. 2015; He et al. 2017; Yang et al. 2018; Wang et al. 2019; 2018). 通常,现有的目标检测方法可以分为:

  • 单阶段-检测,如YOLO系列 (Redmon et al. 2016; Red- mon and Farhadi 2017; 2018) 和SSD (Liu et al. 2016; Fu et al. 2017),
  • 两阶段检测,如 R-CNN系列检测 (Girshick et al. 2014; Girshick 2015; Ren et al. 2015; He et al. 2017),
  • 甚至是多阶段的检测, 像Cascade R-CNN (Cai and Vasconcelos 2018). 尽管存在这些不 同的检测框架,但边界框回归预测一个矩形框来定位目标对象仍然是其中关键步骤。

前言

本文主要是结合论文Distance-IoU Loss: Faster and Better Learning for Bounding Box Regression(https://arxiv.org/pdf/1911.08287.pdf) 对 IoU 的解析学习。

IoU

IoU介绍

Intersection over Union (IoU)在指标评估概述的小节有介绍过IoU,已经对IoU有了初步的认识(其实在yolov5项目中并不是简单的使用,而是用的后面介绍的CIoU )
计算公式:

  • 是真实回归框(gt:ground-truth),

  • 是预测回归框。

IoU loss

计算公式:

(2)

IoU Loss 优缺点分析

有明显的缺陷 IoU loss只在边界框有重叠时才能工作, 对于不重叠的情况不会提供任何移动梯度 (移动代表预测框朝着目标框重叠的方向移动) 。移动梯度表示无法衡量完全不相交的两个框所产生的的损失(iou固定为0),和两个不同形状的预测框可能产生相同的loss(相同的iou)分别如下图的左边和右边所示。

GIoU

GIoU介绍

GIoU的设计初衷就是想解决IoU Loss存在的问题(预测框与真实框不相交时iou恒定为0),设计了一套Generalized Intersection over Union Loss。在IoU的基础上,GIoU还需要找到预测框和真实框的最小外接矩形,然后求出最小外接矩形减去两个预测框union的面积,具体算法流程如下:

GIoU loss

计算公式 :

(3)

其中 是覆盖 的最小方框, 由于引入了 , 在不重叠的情况下, 预测框也会向目标框移动。

GIoU 优缺点分析

GIoU Loss解决了IoU Loss在不相交情况的问题,在所有性能指标中都可以作为IoU的适当替代品,在目标检测任务中能够得到更高的准确率。

缺点:虽然GIoU可以缓解重叠情况下的梯度消失问题,但它仍有一些局限性。即无法衡量有包含关系时的框回归损失,如下图,三个回归框具有相同的GIoU Loss,但是显然第三个框的回归效果更好。

IoU & GIoU 分析

首先,在本文上部分我们分析了关于原始的IoU损失和GIoU 损失的局限性。下面将通过模拟实验结果对边界框回归的过程进行进一步的解析。(补充说明: 为什么要进行模型实验?  因为仅仅从检测结果来分析边界框回归的过程很难,因为在不受控制的基准中的回归情况往往不全面比如:不同的距离(distances),不同的尺度(scales)和不同的长宽比(aspect ratios)。相反,进行模拟实验,在实验中综合考虑回归情况,然后就可以很容易地分析给定损失函数的问题。)

模拟实验

在模拟实验中,我们试图通过距离(distances),尺度 (scales)和长宽比(aspect ratios)来覆盖边界框之间的大部分关系, 如图3(a). 所示。特别是,我们选择7个单位框 (即每个框的面积为 1), 具有不同的长宽比 (即 、和 )作为目标框。在不失一般性的情况下, 7个目标框的中心点被固定在 。锚框均匀地分散在 5000 个点上。

(i) 距离: 在以半径为 3 的 为中心的圆形区域内, 均匀选择5000个点, 放置7个尺度、7个长宽比的针 框。在这些情况下, 重叠和不重叠的方框都被包括。

(ii) 尺度:对于每个点,锚框的面积分别设置为 、和 2 。

(iii) 长宽比: 对于给定的点和尺度,采用 7 个长宽比,即与目标框遵循相同的设置 (即 。所有 锚箱都对应在每个目标框。综上所述, 总共有 个回归案例。

图3: 仿真实验: (a) 通过考虑不同的距离、尺度和长宽比,采用了171.5万个回归案例。(b)回归误差和 (即: ) 迭代次数为 时不同损失函数的曲线。

然后通过给定损失函数 我们可以用梯度下降算法来模拟每种情况下的边界框回归过程。对于预测框 ,当前的预测可以通过:

其中 是迭代 时的预测框, 表示损失的梯度。 感觉可以理解为学习率。值得注意的是, 在我们的实现中, 梯度乘以 去加速收敛。边界框回归的性能评估通过使用 . 对于每个损失函数,仿真模拟实验当达到迭代 时,误差曲线如 图 . 所示。

IoU 和 GIoU 损失的限制

在图4中,我们可视化迭代T时对5000个分散点的最终回归误差。

  • 从图4(a)中很容易看出,IoU损失只适用于与目标框重叠的情况。由于∇B总是0,没有重叠的锚框将不会移动。通过添加一个惩罚项见公式(3),
  • GIoU 损失能够更好的缓解非重叠案例的问题,如图所示4(b), 但GIoU的损失显著扩大了盆地,即GIoU的工作面积。但是,在水平方向和垂直方向的情况下,仍然很可能有很大的误差。这是因为GIoU损失中的惩罚项是用来最小化|C−A∪B|,但是C−A∪B的面积通常很小或为0(当两个盒子有包含关系时),然后GIoU几乎退化为IoU损失。只要以适当的学习速率运行足够的迭代GIoU 损失能收敛到很好的解决方案,但收敛速度却是非常慢。从几何上来说,从如图1所示的回归步骤来看,GIoU实际上增大了预测的框大小,用来和目标框重叠,然后IoU项用于预测框与目标框匹配,产生非常缓慢的收敛。

综上所述,在非重叠情况下,IoU损失收敛是糟糕的解决方式,而GIoU损失收敛速度较慢,特别是对于水平和垂直方向的框。在目标检测流程中,IoU和GIoU的损失都不能保证回归的准确性。

DIoU & CIoU

通过前面的IoU和GIoU的分析我们很自然会问以下问题:

  1. 第一,是否可以直接最小化预测框和目标框之间的归一化距离,以实现更快的收敛?
  2. 第二,当与目标框有重叠甚至包含时,如何使回归更准确、更快?

DIoU loss

Distance-IoU 损失:更快更好的边界框回归损失,一般来说, IoU-based损失可以定义为

其中 是预测框 和目标框 的惩罚项。通过设计适当的惩罚项, 在本节中, 我们提出了 DIoU 损失和CIoU损失来解答上述两个问题。

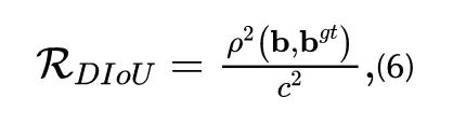
为了回答第一个问题, 我们提出将两个边界框的中心点之间的标准化距离最小化,惩罚项可以定义为

其中 分别代表 的中心点。 为欧氏距离, 是覆盖两个盒框的最小封闭框的对角线长度。DIoU损失函数可以定义为:

如图55所示, 损失的惩罚项直接使两个中心点之间的距离最小化,而 GIoU 损失的目的是减少 的面积。

DIoU 和 IoU/GIoU 损失比较

新提出的DIoU损失继承IoU和GIoU损失的一些属性

  1. DIoU损失对回归问题的尺度仍然是不变的
  2. 与GIoU损失类似, DIoU损失可以在与目标框不重叠时为边界框提供移动方向。
  3. 当两个边界框完美匹配时, . 当两个框都很远时,

DIoU损失比loU损失和GloU损失有几个优点,可以通过仿真实验进行评估。

  1. 如图1和图3所示, 损失可以直接最小化两个框的距离,因此收敛速度比 损失要快得多。
  2. 对于两个框是包含关系的情况(图2),或在水平和垂直方向的情况(图6)下,DIoU 损矢可以回归非常快,而 GIoU 损失几乎退化为 损失,即 .

Complete IoU Loss

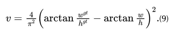
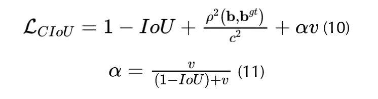
接着我们回答了第二个问题,提出了边界框回归的良好损失应该要考虑三个重要的几何因素, 即重叠面积、中心点距离和长宽比。通过统一坐标, 考虑了重叠区域, 而 严重依赖于 。我们提出的 旨在同时考虑边界框的重叠面积和中心点距离。然而, 边界框的长宽比的一致性也是一个重要的几何因素。因此,基于 ,通过添加长宽比的一致性来提出 :

其中 是一个正的权衡参数, 衡量长宽比的一致性。

则损失函数可以定义为:

通过重叠面积因子给予更高的优先回归, 特别是对于非重叠情况。最终, 损失的优化与 损失的优化相同, 除了 vw.r.t.w 的梯度应该指定

主导器 通常是一个很小的值对于 的范 围在 ,这很可能会产生梯度爆 炸。因此在我们的实现, 主导器 被移除, 将步长 替换为 1 , 梯度方向仍然与公式 (12)一致。

NMS(Non-Maximum Suppression)

介绍

NMS是大多数目标检测算法的最后一步,其中删除了冗余的检测框当它与最高分框的重叠超过一个阈值。Soft-NMS (Bodla et al. 2017) 用连续函数w.r.t.惩罚相邻框的检测分数IoU,产生比原始NMS产生更柔和大和更强大的抑制。IoU-Net (Jiang et al. 2018) 提出了一个新的网络分支来预测定位置信度来指导NMS。最近,自适应NMS(Liu,Huang,和Wang 2019)和Softer-NMS(He et al. 2019)被提出分别研究适当的阈值策略和加权平均策略。在本工作中,简单将DIoU作为原始NMS的标准, 在抑制冗余框时,同时考虑边界框的重叠面积和两个中心点之间的距离。

DioU-NMS

Non-Maximum Suppression using DIoU

在原始的NMS中, loU指标用于抑制吕余的检测框, 其 中重叠区域是唯一的因素, 对于有遮挡的 情况, 往往会产生错误的抑制。我们在这项工作中建议 的更好标准, 因为在 抑制标准中不仅应考虑重叠 被正式定义为:

其中框 被去除通过同时到考虑 和两个框中心点的距离。 是分类得分和 阈值。我们认为两个中心点较远的框可能会定位不同的物体,而不应该被删除。此外 是非常灵活, 仅仅是几行的代码就可以集成到任何目标检测管道中。

小结

在本文中,主要的介绍用于边界框回归的 和 用于抑制冗余检测框的 通过直接最小化两个中心点的归一化的距离, 可以比 实现更快的收敛。此外 考虑了三个几何属性(即重叠区域、中心点距离和长宽比),促进了更快的收敛和更优的性能。

参考文章

  • https://github.com/Zzh-tju/DIoU/blob/master/README.md#introduction
  • https://github.com/Zzh-tju/DIoU/blob/master/README.md#introduction
  • IoU: https://arxiv.org/pdf/1608.01471.pdf
  • GIoU: https://giou.stanford.edu/GIoU.pdf
  • DIoU: https://arxiv.org/pdf/1911.08287.pdf

🎉代码仓库地址:https://github.com/Oneflow-Inc/one-yolov5欢迎star one-yolov5项目 获取最新的动态。如果您有问题,欢迎在仓库给我们提出宝贵的意见。🌟🌟🌟如果对您有帮助,欢迎来给我Star呀😊~

公众号后台回复“速查表”获取

21张速查表(神经网络、线性代数、可视化等)打包下载~

△点击卡片关注极市平台,获取 最新CV干货


极市干货
算法竞赛:算法offer直通车、50万总奖池!高通人工智能创新应用大赛等你来战!
技术干货超简单正则表达式入门教程22 款神经网络设计和可视化的工具大汇总
极视角动态:芜湖市湾沚区联手极视角打造核酸检测便民服务系统上线!青岛市委常委、组织部部长于玉一行莅临极视角调研



点击阅读原文进入CV社区

收获更多技术干货

登录查看更多
0

相关内容

浙大《深度学习低样本目标检测》综述论文
专知会员服务
76+阅读 · 2021年12月13日
《过参数化机器学习理论》综述论文
专知会员服务
46+阅读 · 2021年9月19日
专知会员服务
22+阅读 · 2021年7月28日
专知会员服务
18+阅读 · 2021年4月24日
专知会员服务
30+阅读 · 2021年4月5日
【CVPR2021】用于目标检测的通用实例蒸馏
专知会员服务
24+阅读 · 2021年3月22日
深度学习目标检测方法综述
专知会员服务
280+阅读 · 2020年8月1日
YOLOv5全面解析教程(一):网络结构逐行代码解析
全面理解目标检测中的anchor
极市平台
2+阅读 · 2021年11月20日
YOLOv5 深度可视化解析
CVer
27+阅读 · 2020年8月16日
一文读懂YOLO V5 与 YOLO V4
极市平台
17+阅读 · 2020年7月21日
CVPR 2019:精确目标检测的不确定边界框回归
AI科技评论
13+阅读 · 2019年9月16日
CenterNet:目标即点(代码已开源)
极市平台
25+阅读 · 2019年5月24日
理解 YOLO 目标检测
AI研习社
22+阅读 · 2018年11月5日
SSD多盒实时目标检测教程
论智
13+阅读 · 2018年4月5日
国家自然科学基金
0+阅读 · 2016年12月31日
国家自然科学基金
1+阅读 · 2015年12月31日
国家自然科学基金
0+阅读 · 2014年12月31日
国家自然科学基金
0+阅读 · 2014年12月31日
国家自然科学基金
0+阅读 · 2014年12月31日
国家自然科学基金
0+阅读 · 2013年12月31日
国家自然科学基金
0+阅读 · 2013年12月31日
国家自然科学基金
0+阅读 · 2009年12月31日
Arxiv
0+阅读 · 2023年1月16日
Arxiv
0+阅读 · 2023年1月13日
SlowFast Networks for Video Recognition
Arxiv
19+阅读 · 2018年12月10日
VIP会员
相关VIP内容
浙大《深度学习低样本目标检测》综述论文
专知会员服务
76+阅读 · 2021年12月13日
《过参数化机器学习理论》综述论文
专知会员服务
46+阅读 · 2021年9月19日
专知会员服务
22+阅读 · 2021年7月28日
专知会员服务
18+阅读 · 2021年4月24日
专知会员服务
30+阅读 · 2021年4月5日
【CVPR2021】用于目标检测的通用实例蒸馏
专知会员服务
24+阅读 · 2021年3月22日
深度学习目标检测方法综述
专知会员服务
280+阅读 · 2020年8月1日
相关资讯
YOLOv5全面解析教程(一):网络结构逐行代码解析
全面理解目标检测中的anchor
极市平台
2+阅读 · 2021年11月20日
YOLOv5 深度可视化解析
CVer
27+阅读 · 2020年8月16日
一文读懂YOLO V5 与 YOLO V4
极市平台
17+阅读 · 2020年7月21日
CVPR 2019:精确目标检测的不确定边界框回归
AI科技评论
13+阅读 · 2019年9月16日
CenterNet:目标即点(代码已开源)
极市平台
25+阅读 · 2019年5月24日
理解 YOLO 目标检测
AI研习社
22+阅读 · 2018年11月5日
SSD多盒实时目标检测教程
论智
13+阅读 · 2018年4月5日
相关基金
国家自然科学基金
0+阅读 · 2016年12月31日
国家自然科学基金
1+阅读 · 2015年12月31日
国家自然科学基金
0+阅读 · 2014年12月31日
国家自然科学基金
0+阅读 · 2014年12月31日
国家自然科学基金
0+阅读 · 2014年12月31日
国家自然科学基金
0+阅读 · 2013年12月31日
国家自然科学基金
0+阅读 · 2013年12月31日
国家自然科学基金
0+阅读 · 2009年12月31日
Top
微信扫码咨询专知VIP会员