基于Pytorch的动态卷积复现

2021 年 11 月 7 日 极市平台
↑ 点击 蓝字  关注极市平台

作者丨史开杰
来源丨 GiantPandaCV
编辑丨极市平台

极市导读

 

本文重点介绍了Pytorch中卷积的实现,并为实现过程中可能出现的问题给出解决方案。文末列出了相关代码,读者可对照代码进行实践。

Dynamic Convolution: Attention over Convolution Kernels

paper地址:
arxiv.org/pdf/1912.0345
代码实现地址:
https://github.com/kaijieshi7/Dynamic-convolution-Pytorch

其中包含一维,二维,三维的动态卷积;分别可以用于实现eeg的处理,正常图像的处理,医疗图像中三维脑部的处理等等。

一句话描述下文的内容:  的大小视为分组卷积里面的组的大小进行动态卷积。如   ,那么就转化成   ,   的分组卷积。

单回顾

这篇文章主要是改进传统卷积,让每层的卷积参数在推理的时候也是随着输入可变的,而不是传统卷积中对任何输入都是固定不变的参数。由于本文主要说明的是代码如何实现,所以推荐给大家一个讲解论文的链接:
https://zhuanlan.zhihu.com/p/142381725
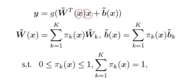
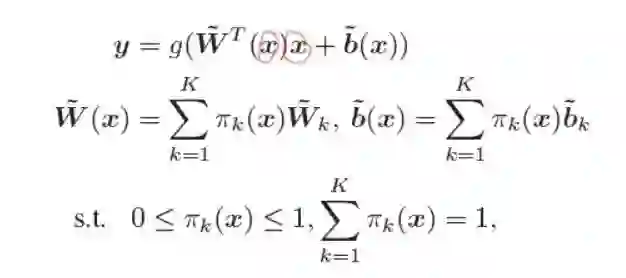
推理的时候:红色框住的参数是固定的,黄色框住的参数是随着输入的数据不断变化的。
对于卷积过程中生成的一个特征图   ,先对特征图做几次运算,生成   个和为   的参数   ,然后对   个卷积核参数进行线性求和,这样推理的时候卷积核是随着输入的变化而变化的。(可以看看其他的讲解文章,本文主要理解怎么写代码)
下面是attention代码的简易版本,输出的是[   ,   ]大小的加权参数。   对应着要被求和的卷积核数量。
  
  
    
class attention2d(nn.Module):
def __init__(self, in_planes, K,):
super(attention2d, self).__init__()
self.avgpool = nn.AdaptiveAvgPool2d(1)
self.fc1 = nn.Conv2d(in_planes, K, 1,)
self.fc2 = nn.Conv2d(K, K, 1,)

def forward(self, x):
x = self.avgpool(x)
x = self.fc1(x)
x = F.relu(x)
x = self.fc2(x).view(x.size(0), -1)
return F.softmax(x, 1)
下面是文章中   个卷积核求和的公式。
其中   是输入,   是输出;可以看到   进行了两次运算,一次用于求注意力的参数(用于生成动态的卷积核),一次用于被卷积。
但是,写代码的时候如果直接将   个卷积核求和,会出现问题。接下来我们先回顾一下Pytorch里面的卷积参数,然后描述一下可能会出现的问题,再讲解如何通过分组卷积去解决问题。

Pytorch卷积的实现

我会从维度的视角回顾一下Pytorch里面的卷积的实现(大家也可以手写一下,几个重点:输入维度、输出维度、正常卷积核参数维度、分组卷积维度、动态卷积维度、attention模块输出维度)。
输入:输入数据维度大小为[  ,   ,   ,   ]。
输出:输出维度为[   ,   ,   ,   ]。
卷积核:正常卷积核参数维度为[   ,   ,   ,   ]。(在Pytorch中,2d卷积核参数应该是固定这种维度的)
这里我们可以注意到,正常卷积核参数的维度是不存在   的。因为对于正常的卷积来说,不同的输入数据,使用的是相同的卷积核,卷积核的数量与一次前向运算所输入的   大小无关(相同层的卷积核参数只需要一份)。

能会出现的问题

这里描述一下实现动态卷积代码的过程中可能因为   大于1而出现的问题。
对于图中attention模块最后softmax输出的   个数,他们的维度为[   ,   ,   ,   ],可以直接.view成[   ,   ],紧接着   作用于   卷积核参数上(形成动态卷积)。
问题所在:正常卷积,一次输入多个数据,他们的卷积核参数是一样的,所以只需要一份网络参数即可;但是对于动态卷积而言,每个输入数据用的都是不同的卷积核,所以需要   份网络参数,不符合Pytorch里面的卷积参数格式,会出错。
看下维度运算[   ,   ]*[   ,   ,   ,   ,   ],生成的动态卷积核是[   ,   ,   ,   ,   ],不符合Pytorch里面的规定,不能直接参与运算(大家可以按照这个思路写个代码看看,体会一下,光看可能感觉不出来问题),最简单的解决办法就是   等于1,不会出现错误,但是慢啊!
总之,  大于1会导致中间卷积核参数不符合规定。

分组卷积以及如何通过分组卷积实现  大于1的动态卷积

一句话描述分组卷积:对于多通道的输入,将他们分成几部分各自进行卷积,结果concate。
组卷积过程用废话描述:对于输入的数据[   ,   ,   ,   ],假设   为   ,那么分组卷积就是将他分为两个   为   的数据(也可以用其他方法分),那么维度就是[   , 5x2 ,   ,   ],换个维度换下视角,[   ,   ,   ,   ],那么   为2的组卷积可以看成   的正常卷积。(如果还是有点不了解分组卷积,可以阅读其他文章仔细了解一下。)
巧妙的转换:上面将   翻倍即可将分组卷积转化成正常卷积,那么反向思考一下,将   变为1,是不是可以将正常卷积变成分组卷积?
我们将   大小看成分组卷积中   的数量,令   所在维度直接变为   !!!直接将输入数据从[   ,   ,   ,   ]变成[1,   ,   ,   ],就可以用分组卷积解决问题了!!!
详细描述实现过程:将输入数据的维度看成[1,  ,   ,   ](分组卷积的节奏);卷积权重参数初始化为[   ,   ,   ,   ,   ],attention模块生成的维度为[   ,   ],直接进行正常的矩阵乘法[   ,   ]*[   ,   *  *   *   ]生成动态卷积的参数,生成的动态卷积权重维度为[   ,   ,   ,   ,   ],将其看成分组卷积的权重[   ,   ,   ,   ](过程中包含reshape)。这样的处理就完成了,输入数据[   ,   ,   ,   ],动态卷积核[   ,   ,   ,   ],直接是   的分组卷积,问题解决。
具体代码如下:
  
  
    
class Dynamic_conv2d(nn.Module):
def __init__(self, in_planes, out_planes, kernel_size, stride=1, padding=0, dilation=1, groups=1, bias=True, K=4,):
super(Dynamic_conv2d, self).__init__()
assert in_planes%groups==0
self.in_planes = in_planes
self.out_planes = out_planes
self.kernel_size = kernel_size
self.stride = stride
self.padding = padding
self.dilation = dilation
self.groups = groups
self.bias = bias
self.K = K
self.attention = attention2d(in_planes, K, )

self.weight = nn.Parameter(torch.Tensor(K, out_planes, in_planes//groups, kernel_size, kernel_size), requires_grad=True)
if bias:
self.bias = nn.Parameter(torch.Tensor(K, out_planes))
else:
self.bias = None


def forward(self, x):#将batch视作维度变量,进行组卷积,因为组卷积的权重是不同的,动态卷积的权重也是不同的
softmax_attention = self.attention(x)
batch_size, in_planes, height, width = x.size()
x = x.view(1, -1, height, width)# 变化成一个维度进行组卷积
weight = self.weight.view(self.K, -1)

# 动态卷积的权重的生成, 生成的是batch_size个卷积参数(每个参数不同)
aggregate_weight = torch.mm(softmax_attention, weight).view(-1, self.in_planes, self.kernel_size, self.kernel_size)
if self.bias is not None:
aggregate_bias = torch.mm(softmax_attention, self.bias).view(-1)
output = F.conv2d(x, weight=aggregate_weight, bias=aggregate_bias, stride=self.stride, padding=self.padding,
dilation=self.dilation, groups=self.groups*batch_size)
else:
output = F.conv2d(x, weight=aggregate_weight, bias=None, stride=self.stride, padding=self.padding,
dilation=self.dilation, groups=self.groups * batch_size)

output = output.view(batch_size, self.out_planes, output.size(-2), output.size(-1))
return output
完整的代码在 github.com/kaijieshi7/D ,大家觉得有帮助的话,求点个星星。
纸上得来终觉浅,绝知此事要躬行。试下代码,方能体会其中妙处。


如果觉得有用,就请分享到朋友圈吧!

△点击卡片关注极市平台,获取 最新CV干货

公众号后台回复“CVPR21检测”获取CVPR2021目标检测论文下载~


极市干货
神经网络: 视觉神经网络模型优秀开源工作:timm库使用方法和最新代码解读
技术综述: 综述:神经网络中 Normalization 的发展历程 CNN轻量化模型及其设计原则综述
算法技巧(trick): 8点PyTorch提速技巧汇总 图像分类算法优化技巧


CV技术社群邀请函 #

△长按添加极市小助手
添加极市小助手微信(ID : cvmart4)

备注:姓名-学校/公司-研究方向-城市(如:小极-北大-目标检测-深圳)


即可申请加入极市目标检测/图像分割/工业检测/人脸/医学影像/3D/SLAM/自动驾驶/超分辨率/姿态估计/ReID/GAN/图像增强/OCR/视频理解等技术交流群


每月大咖直播分享、真实项目需求对接、求职内推、算法竞赛、干货资讯汇总、与 10000+来自港科大、北大、清华、中科院、CMU、腾讯、百度等名校名企视觉开发者互动交流~



觉得有用麻烦给个在看啦~   
登录查看更多
2

相关内容

13个经典CNN架构比较分析!从AlexNet到ResNet再到ConvNeXt
专知会员服务
102+阅读 · 2022年3月14日
深度学习激活函数全面综述论文
专知会员服务
72+阅读 · 2021年10月1日
【CVPR2021】重新思考BiSeNet让语义分割模型速度起飞
专知会员服务
34+阅读 · 2021年5月5日
专知会员服务
18+阅读 · 2020年10月18日
【ECCV2020】OCRNet化解语义分割上下文信息缺失难题
专知会员服务
17+阅读 · 2020年8月24日
卷积神经网络的概述论文:分析、应用和展望,21页pdf
专知会员服务
91+阅读 · 2020年4月7日
pytorch提取参数及自定义初始化
极市平台
0+阅读 · 2022年4月13日
pytorch学习 | 提取参数及自定义初始化
极市平台
0+阅读 · 2021年12月21日
实践教程 | 浅谈 PyTorch 中的 tensor 及使用
极市平台
1+阅读 · 2021年12月14日
PyTorch 深度剖析:如何保存和加载PyTorch模型?
极市平台
0+阅读 · 2021年11月28日
初学者的 Keras:实现卷积神经网络
Python程序员
24+阅读 · 2019年9月8日
PyTorch模型训练特征图可视化(TensorboardX)
极市平台
33+阅读 · 2019年6月29日
国家自然科学基金
4+阅读 · 2014年12月31日
国家自然科学基金
0+阅读 · 2012年12月31日
国家自然科学基金
0+阅读 · 2012年12月31日
国家自然科学基金
1+阅读 · 2012年12月31日
国家自然科学基金
0+阅读 · 2012年12月31日
国家自然科学基金
0+阅读 · 2011年12月31日
国家自然科学基金
0+阅读 · 2009年12月31日
国家自然科学基金
0+阅读 · 2008年12月31日
国家自然科学基金
0+阅读 · 2008年12月31日
国家自然科学基金
3+阅读 · 2008年12月31日
Arxiv
0+阅读 · 2022年4月19日
Principal Neighbourhood Aggregation for Graph Nets
Arxiv
17+阅读 · 2020年6月7日
Arxiv
13+阅读 · 2019年4月9日
Arxiv
22+阅读 · 2018年8月30日
Arxiv
11+阅读 · 2018年1月18日
VIP会员
相关VIP内容
相关资讯
pytorch提取参数及自定义初始化
极市平台
0+阅读 · 2022年4月13日
pytorch学习 | 提取参数及自定义初始化
极市平台
0+阅读 · 2021年12月21日
实践教程 | 浅谈 PyTorch 中的 tensor 及使用
极市平台
1+阅读 · 2021年12月14日
PyTorch 深度剖析:如何保存和加载PyTorch模型?
极市平台
0+阅读 · 2021年11月28日
初学者的 Keras:实现卷积神经网络
Python程序员
24+阅读 · 2019年9月8日
PyTorch模型训练特征图可视化(TensorboardX)
极市平台
33+阅读 · 2019年6月29日
相关基金
国家自然科学基金
4+阅读 · 2014年12月31日
国家自然科学基金
0+阅读 · 2012年12月31日
国家自然科学基金
0+阅读 · 2012年12月31日
国家自然科学基金
1+阅读 · 2012年12月31日
国家自然科学基金
0+阅读 · 2012年12月31日
国家自然科学基金
0+阅读 · 2011年12月31日
国家自然科学基金
0+阅读 · 2009年12月31日
国家自然科学基金
0+阅读 · 2008年12月31日
国家自然科学基金
0+阅读 · 2008年12月31日
国家自然科学基金
3+阅读 · 2008年12月31日
Top
微信扫码咨询专知VIP会员