训练1000层的Transformer究竟有什么困难?

2022 年 3 月 13 日 PaperWeekly


©PaperWeekly 原创 · 作者 | 苏剑林
单位 | 追一科技
研究方向 | NLP、神经网络

众所周知,现在的 Transformer 越做越大,但这个“大”通常是“宽”而不是“深”,像 GPT-3 虽然参数有上千亿,但也只是一个 96 层的 Transformer 模型,与我们能想象的深度相差甚远。是什么限制了 Transformer 往“深”发展呢?可能有的读者认为是算力,但“宽而浅”的模型所需的算力不会比“窄而深”的模型少多少,所以算力并非主要限制,归根结底还是 Transformer 固有的训练困难。一般的观点是,深模型的训练困难源于梯度消失或者梯度爆炸,然而实践显示,哪怕通过各种手段改良了梯度,深模型依然不容易训练。

近来的一些工作(如 Admin [1])指出,深模型训练的根本困难在于“增量爆炸”,即模型越深对输出的扰动就越大。上周的论文《DeepNet: Scaling Transformers to 1,000 Layers》[2] 则沿着这个思路进行尺度分析,根据分析结果调整了模型的归一化和初始化方案,最终成功训练出了 1000 层的 Transformer 模型。整个分析过程颇有参考价值,我们不妨来学习一下。



增量爆炸
原论文的完整分析比较长,而且有些假设或者描述细酌之下是不够合理的。所以在本文的分享中,笔者会尽量修正这些问题,试图以一个更合理的方式来得到类似结果。
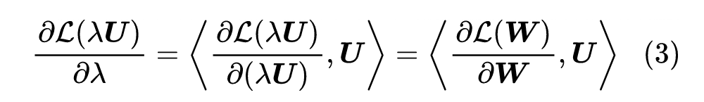
假设损失函数为 是它的参数,考虑参数由 变为 时损失函数的增量:

对于 SGD 有 ,那么 。设模型有 层,每层的平均参数量为 ,配合 Xavier 初始化以及各种 Normalization 手段,我们可以使得多数参数的梯度是 量级,所以有 。因此,模型每一步的更新量是正比于模型深度 的(宽度不在本文讨论范围),如果模型越深,那么更新量就越大,这意味着初始阶段模型越容易进入不大好的局部最优点,然后训练停滞甚至崩溃,这就是“增量爆炸”问题。
这时候解决方法有两个,一是初始阶段用更小的学习率进行训练(不超过 量级),然后慢慢增大学习率,这就是 Warmup 技巧;二就是调整初始化方案,使得参数的梯度是 量级,这样就自动抵消掉模型深度的影响。


量级分析

怎么做到第二种方案呢?我们可以尝试分析 Transformer 的梯度。然而,精确的梯度求起来比较繁琐,并且事实上我们也不需要精确的梯度,而只是要对梯度做一个量级分析,所以我们可以用如下的“量级分解”技巧转化为标量的导数问题。

对于一个矩阵 ,我们将其分解为 的形式,其中

说白了,我们就是要将一个矩阵分解为一个标量 与一个尽可能正交的矩阵 之积。由于 接近正交矩阵,它起到了一个标准参考系的作用,而对应的 则代表了矩阵 的量级。如果 使用 Xavier 初始化,那么 相当于其中的 gain 参数,即在 Xavier 初始化的基础上还要再乘一个 。这是因为 Xavier 初始化的结果就接近一个正交矩阵,这一点可以参考《从几何视角来理解模型参数的初始化策略》 [3]
在此分解之下,我们有
这意味着 在量级上是成正比的,所以对 做量级分析就相当于对 做量级分析。这样原来的矩阵求导就可以转化为标量求导,降低了分析难度。


前馈梯度
很多实验结果都显示虽然 Pre Norm 比 Post Norm 更容易训练,但 Post Norm 的最终效果往往更好些,所以原论文保留了 Post Norm 结构,并考虑了更一般的形式:

其中 是一个常数。简单起见,我们先考虑 FFN 层,此时

这里的 是激活函数,一般为 ReLU 或其变体(Swish、GeLU等),它们(近似)满足 。使用前一节的量级分解,我们得到

的梯度:

我们断言 都是 的,并且由于 都接近正交矩阵,所以 也是 的,因此最终有


自注意力
现在考虑自 Self Attention,作为量级分析,我们考虑单头注意力即可,其形式为

其中 是 softmax 操作的简写,这里省略了 Attention 的 scale 操作。对上式进行量级分解后的形式为
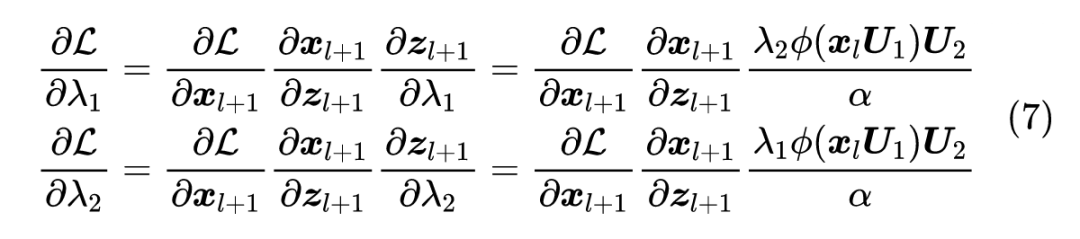
现在我们可以对各个 分别求梯度,而由于 softmax 的存在,事实上 的梯度本身会很小,不会明显影响最终的更新量,所以其实我们考虑 的更新量足矣:

同样断言 都是 的,并且注意 softmax 出来是一个概率分布,然后对 的各个 token 做加权平均,通常而言,平均前后的向量会在同一数量级,所以我们认为 也是 的,因此结果跟 FFN 层的类似:


初步结论
现在不管是 FFN 还是 Self Attention,我们都得到了相似的结论,现在简单起见,假设每个参数的量级(至少在初始化阶段)是一致的,即所有的 取同一个值,那么总的结论是

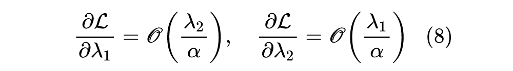
即梯度的量级是 。另一方面,我们说 层的 Transformer 模型,一般是 层的 Self Attention 加 层的 FFN,所以严格来说层数是 。因此,按照“增量爆炸”一节的分析,我们需要将梯度调整到 ,上式告诉我们可以通过让 来实现。原论文的放缩更为宽松一些,得到的结果是 ,量级上是等价的。
现在我们得到了 的一个比例关系,但无法直接得到 的具体值。按照论文的说法,是从对称角度出发,让 ,从而可以解得

然而,单纯对称的解释显然是不够说服力的,我们需要搞清楚不同的选择究竟有什么不同的结果。为此,我们可以比较另外两组解:

另解一: ,此时参数的初始化缩小到原来的 倍,梯度也被缩小到原来的 倍,根据 SGD 的 得出每步的更新量也是原来的 倍,也就是说,调整前后的相对学习幅度是没有变化的,因此有可能刚开始 级别,但训练集几步后就脱离了这个量级了。
另解二: ,此时参数的初始化没有缩小,但梯度也被缩小到原来的 倍,根据 SGD 的 得出每步的更新量也是原来的 倍,调整前后的相对学习幅度是明显缩小了,因此有可能出现学习得非常慢的情况。
这两种情况看上去都各有缺点,因此介乎两者之间的式(14)似乎就能解释得通了,它就是保持梯度缩放到原来的 倍的同时,让初始学习步伐稍微慢一些,但又不至于太慢,隐式地起到了 Warmup 的作用。


多种优化

上面的分析都是基于 SGD 进行的,但事实上我们很少直接用 SGD 去训练 NLP 模型,我们更多是自适应学习率优化器,主要有两大类:一是用二阶矩来校正学习率,Adam、AdamW 等都属此类;另一类是通过参数模长进一步校正学习率,比如 LAMB [4]、AdaFactor [5]。原论文的说法是“我们在 SGD 上进行推导,然后在Adam上验证发现也还可以”,但从理论上来讲,它们并不完全通用,这一节我们就来针对性地做一下分析。

对于 Adam 类优化器来说,每一步的更新量大约为 ,所以 ,它是正比于梯度的 1 次方而不是 2 次方,因此要过要让更新量跟层数无关,那么梯度应该缩小到原来的 倍才对,即应该有 ,如果同样让 ,那么有

对于 LAMB 类优化器来说,每一步更新量大约为 ,所以 ,注意到参数的缩放比例是 、梯度的缩放比例是 ,从而是 。注意这类优化器每步的相对更新量是一样的(等于学习率 ),所以不管怎么调整相对更新大小都不会变化,所以我们可以直接取
结果汇总对比如下:



事后分析
前面的两节推导过程都用到了断言“ 都是 的”,那么它是否成立呢?这里我们事后分析一下。
其实也很简单,经过前述调整后,不管是 FFN 层(6)还是 Self Attention 层 (10),初始阶段每个残差分支的权重被缩放到原来的 倍,不管是哪种优化器的结果, 都是一个比较小的数字,这意味着初始阶段整个模型其实接近一个恒等函数,因此 自然都是 的,所以结论和断言是自洽的。
另外,可能有读者想问同样的分析是否可以用到 Pre Norm 结构上呢?答案是可以的,并且结论是基本一致的,只是因为 Norm 放在了残差分支之前,所以就没必要设置 参数了,所以结论就是上述关于 Post Norm 的结果中所有的 都等于为 1,然后重新计算相应的
最后,读者可能有疑问的是花了那么多功夫讨论把模型做深,那么模型深度真有那么重要吗?有,原论文给出了一个漂亮的实验结果,用一个 200 层的“深而窄”的模型(32 亿参数),战胜了之前48层“浅而宽”的 SOTA 模型(120 亿参数):
▲ “深而窄”的模型胜于“浅而宽”的模型


文章小结
本文分析了将 Transformer 做“深”的瓶颈所在并给出了相应的解决方案,文章的主要思路源于微软新出的 DeepNet,并对原论文的分析过程做了一定的简化和完善。


参考文献

[1] https://arxiv.org/abs/2004.08249
[2] https://arxiv.org/abs/2203.00555
[3] https://kexue.fm/archives/7180
[4] https://kexue.fm/archives/7094
[5] https://kexue.fm/archives/7302


更多阅读




#投 稿 通 道#

 让你的文字被更多人看到 



如何才能让更多的优质内容以更短路径到达读者群体,缩短读者寻找优质内容的成本呢?答案就是:你不认识的人。


总有一些你不认识的人,知道你想知道的东西。PaperWeekly 或许可以成为一座桥梁,促使不同背景、不同方向的学者和学术灵感相互碰撞,迸发出更多的可能性。 


PaperWeekly 鼓励高校实验室或个人,在我们的平台上分享各类优质内容,可以是最新论文解读,也可以是学术热点剖析科研心得竞赛经验讲解等。我们的目的只有一个,让知识真正流动起来。


📝 稿件基本要求:

• 文章确系个人原创作品,未曾在公开渠道发表,如为其他平台已发表或待发表的文章,请明确标注 

• 稿件建议以 markdown 格式撰写,文中配图以附件形式发送,要求图片清晰,无版权问题

• PaperWeekly 尊重原作者署名权,并将为每篇被采纳的原创首发稿件,提供业内具有竞争力稿酬,具体依据文章阅读量和文章质量阶梯制结算


📬 投稿通道:

• 投稿邮箱:hr@paperweekly.site 

• 来稿请备注即时联系方式(微信),以便我们在稿件选用的第一时间联系作者

• 您也可以直接添加小编微信(pwbot02)快速投稿,备注:姓名-投稿


△长按添加PaperWeekly小编




🔍


现在,在「知乎」也能找到我们了

进入知乎首页搜索「PaperWeekly」

点击「关注」订阅我们的专栏吧



·

登录查看更多
0

相关内容

梯度的本意是一个向量(矢量),表示某一函数在该点处的方向导数沿着该方向取得最大值,即函数在该点处沿着该方向(此梯度的方向)变化最快,变化率最大(为该梯度的模)。
Transformer如何用于视频?最新「视频Transformer」2022综述
专知会员服务
76+阅读 · 2022年1月20日
周志华教授:关于深度学习的一点思考
专知会员服务
122+阅读 · 2021年11月23日
Transformer替代CNN?8篇论文概述最新进展!
专知会员服务
77+阅读 · 2021年1月19日
专知会员服务
16+阅读 · 2020年7月27日
专知会员服务
45+阅读 · 2020年3月6日
模型压缩究竟在做什么?我们真的需要模型压缩么?
专知会员服务
28+阅读 · 2020年1月16日
为什么深度学习是非参数的?
THU数据派
1+阅读 · 2022年3月29日
1000层的Transformer,诞生了!
CVer
1+阅读 · 2022年3月3日
周志华教授:关于深度学习的一点思考
新智元
1+阅读 · 2021年12月27日
GPU 显存不足怎么办?
AINLP
13+阅读 · 2019年8月16日
激活函数还是有一点意思的!
计算机视觉战队
12+阅读 · 2019年6月28日
你有哪些深度学习(rnn、cnn)调参的经验?
七月在线实验室
10+阅读 · 2019年3月27日
如何找到最优学习率?
AI研习社
11+阅读 · 2017年11月29日
国家自然科学基金
0+阅读 · 2013年12月31日
国家自然科学基金
0+阅读 · 2012年12月31日
国家自然科学基金
1+阅读 · 2012年12月31日
国家自然科学基金
0+阅读 · 2012年12月31日
国家自然科学基金
0+阅读 · 2011年12月31日
国家自然科学基金
0+阅读 · 2009年12月31日
国家自然科学基金
0+阅读 · 2009年12月31日
国家自然科学基金
0+阅读 · 2008年12月31日
国家自然科学基金
0+阅读 · 2008年12月31日
国家自然科学基金
0+阅读 · 2008年12月31日
Arxiv
2+阅读 · 2022年4月19日
Arxiv
1+阅读 · 2022年4月18日
Arxiv
19+阅读 · 2021年4月8日
Arxiv
17+阅读 · 2021年3月29日
Arxiv
15+阅读 · 2020年2月5日
VIP会员
相关资讯
为什么深度学习是非参数的?
THU数据派
1+阅读 · 2022年3月29日
1000层的Transformer,诞生了!
CVer
1+阅读 · 2022年3月3日
周志华教授:关于深度学习的一点思考
新智元
1+阅读 · 2021年12月27日
GPU 显存不足怎么办?
AINLP
13+阅读 · 2019年8月16日
激活函数还是有一点意思的!
计算机视觉战队
12+阅读 · 2019年6月28日
你有哪些深度学习(rnn、cnn)调参的经验?
七月在线实验室
10+阅读 · 2019年3月27日
如何找到最优学习率?
AI研习社
11+阅读 · 2017年11月29日
相关基金
国家自然科学基金
0+阅读 · 2013年12月31日
国家自然科学基金
0+阅读 · 2012年12月31日
国家自然科学基金
1+阅读 · 2012年12月31日
国家自然科学基金
0+阅读 · 2012年12月31日
国家自然科学基金
0+阅读 · 2011年12月31日
国家自然科学基金
0+阅读 · 2009年12月31日
国家自然科学基金
0+阅读 · 2009年12月31日
国家自然科学基金
0+阅读 · 2008年12月31日
国家自然科学基金
0+阅读 · 2008年12月31日
国家自然科学基金
0+阅读 · 2008年12月31日
相关论文
Arxiv
2+阅读 · 2022年4月19日
Arxiv
1+阅读 · 2022年4月18日
Arxiv
19+阅读 · 2021年4月8日
Arxiv
17+阅读 · 2021年3月29日
Arxiv
15+阅读 · 2020年2月5日
Top
微信扫码咨询专知VIP会员