用20篇论文走完知识蒸馏在 2014-2020 年的技术进展

2021 年 2 月 3 日 新智元



  新智元推荐 

来源:知乎

作者:傅斯年Walton

【新智元导读】本文是一篇知识蒸馏方面的论文回顾总结,总共涉及了20篇相关的paper。作者介绍了知识蒸馏的三种主要方法Logits(Response)-based 、Feature-based、Relation-based以及知识蒸馏的相关应用。


最近给公司里面的同学做了一个KD的survey,趁热把我回顾研究的一些东西记录下来,算是回馈知乎社区,一直以来,从里面汲取了很多营养,但没有怎么输出优质内容。


原文链接:https://zhuanlan.zhihu.com/p/160206075


概要


  • Intro & Roadmap

  • KD主要方法

  • Applications(NLP-BERT)

  • QA

Intro & Roadmap整个模型压缩优化知识结构如下所示,KD属于模型压缩算法的一种,从2014年发展至今。

Bucilua et al. (2006) 首次提出通过知识蒸馏压缩模型的思想,但是没有实际的工作阐述。之后Hilton et al. (2014)第一次正式定义Distillation,并提出相应的训练方法。


一个典型的KD框架如下图所示,由三个part组成,Teacher model,student model 和Knowledge transfer,整个过程是在有监督的data数据集上训练完成。

下面介绍今年的两篇survey文章,引用他们的Roadmap图,回顾下过去6年,研究者主要在哪些方向参与KD的研究和推进工作。

Lin Wang and Kuk-Jin Yoon. Knowledge distillation and student-teacher learning for visual intelligence: A review and new outlooks. CoRR, 2020
Jianping Gou, Baosheng Yu, Stephen John Maybank, Dacheng Tao . Knowledge Distillation: A Survey. 2020

KD主要方法


作者参考这篇文章,从Logits(Response)-based, Feature-based, 和Relation-based knowledge三种维度去介绍KD在过去6年的一些高引用paper。


Logits(Response)-based knowledge从下图直观感受到,knowledge从teacher model的output layer学习得到;


Feature-based 是从一些中间hidden layers学习knowledge;Relation-based则是学习input-hidden-output之间的关系。

为了大家方便阅读,先列出来三种方法主要代表paper:


1.Logits(Response)-based

  • Distilling the Knowledge in a Neural Network Hilton NIPS 2014

  • Deep mutual learning CVPR 2018

  • On the efficacy of knowledge distillation, ICCV 2019

  • Self-training with noisy student improves imagenet classification 2019

  • Training deep neural networks in generations: A more tolerant teacher educates better students AAAI 2019

  • Distillation-based training for multi-exit architectures ICCV 2019


2. Feature-based

  • Fitnets: Hints for thin deep nets. ICLR 2015

  • Paying more attention to attention: Improving the performance of convolutional neural networks via attention transfer. ICLR 2017


3. Relation-based

  • A gift from knowledge distillation: Fast optimization, network minimization and transfer learning CVPR 2017

  • Similarity-preserving knowledge distillation ICCV 2019


Logits(Response)-based Knowledge


Distilling the Knowledge in a Neural Network Hilton NIPS 2014


KD的开山之作,核心思想是使用softed labels去学习class distribution,具体先训练好一个teacher网络,然后将teacher的网的输出结果q作为student网络的目标,训练student网络,使得student网络的结果p接近q。

提出的新idea是softmax的变形,引入一个变量T去产生softed labels。soft target 与hard target区别如下图所示。

损失函数如下:

T通常设置为1,在paper中,ranging from 1 to 20。根据经验,student比teacher模型小很多时,T设置小一点。


如果T接近于0,则最大的值会越近1,其它值会接近0,近似于onehot编码。如果T越大,则输出的结果的分布越平缓,相当于平滑的一个作用,起到保留相似信息的作用。


如果T等于无穷,就是一个均匀分布。默认α +β=1 , 初始设置 α = β = 0.5,但是实验中 α << β ,结果较好。试验结果如下

MNIST测试结果

Deep mutual learning CVPR 2018


传统蒸馏模型是从功能强大的大型网络或集成网络转移到结构简单,运行快速的小型网络。


本文打破这种预先定义好的“强弱关系”,提出DML,即让一组学生网络在训练过程中相互学习、相互指导,而不是静态的预先定义好教师和学生之间的单向转换通路。


作者引入KL散度的概念来度量两个学生网络的输出概率p1和p2。


相信了解过GAN网络的小伙伴对KL应该不会陌生,KL 散度是一种衡量两个概率分布的匹配程度的指标,两个分布差异越大,KL散度越大。作者采用KL散度,衡量这两个网络的预测p1和p2是否匹配。

损失函数推导:


最后训练的loss函数是两个学生网络分别训练,各自的cross-entropy Loss和KL散度Loss之和。


试验结果,效果很明显,增幅很稳定,并且学生网络越多,效果也是线性上升。


On the efficacy of knowledge distillation, ICCV 2019


继续使用KD softed labels, 但是聚焦regularization。作者实验观察到,并不是性能越好的teacher就能蒸馏出更好的student;


推测是容量不匹配的原因,导致student模型不能够mimic teacher,反而带偏了主要的loss;提出一种early-stop teacher regularization进行蒸馏,接近收敛时要提前停止蒸馏。


如下图,teacher网络越深,student蒸馏效果并一定提升。

具体early-stop teacher regularization的策略作者没有写出来,但是可以推测到就是根据训练loss曲线,看是否接近收敛,如果接近收敛,则停止蒸馏。

实验结果如下:


Self-training with noisy student improves imagenet classification 2019


继续使用KD softed labels, 但是聚焦data issue,通过使用更大的噪声数据集来训练student模型。


大致思路:

  1. 首先在ImageNet上训练Teacher Network
  2. 再使用训练好的T网络(无噪音)来对另一个数据集JFT dataset生成尽可能准确的伪标签
  3. 之后使用生成伪标签的数据集JFT dataset和ImageNet一起训练Student Network

除此之外,作者还提到一些tricks

  1. 在Student Network训练中,增加了模型噪音(DropOut 0.5、随机深度 0.8、随机增强 震级27 ),提高鲁棒性和泛化能力
  2. 数据过滤,将教师模型中置信度不高的图片过滤,因为这通常代表着域外图像
  3. 数据平衡,平衡不同类别的图片数量
  4. 教师模型输出的标签使用软标签

实验结果如下:

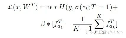
Training deep neural networks in generations: A more tolerant teacher educates better students AAAI 2019


继续使用KD softed labels, 但是在蒸馏过程中通过增加约束来达到优化目标,通常约束加在teacher或者student network。


大致思路:作者发现除了ground Truth class, secondary class可以有效学习类间相似度,并且防止student network过拟合,取得好的效果。


作者挑选了几个具有最高置信度分数的类,并假设这些类在语义上更可能与输入图像相似。


设置了一个固定的整数K,代表每个图像语义上合理的类的数量,包括ground Truth类。


然后计算ground Truth类与其他得分最高的K-1类之间的差距。损失函数推导:

实验结果,K越大,效果越明显。


Distillation-based training for multi-exit architectures ICCV 2019


通常KD在student和teacher network网络模型容量相差较大时,表现较差。


Ensemble distribution KD方法可以很好的保证分布diversity,同时多个模型融合的结构较好。


大致思路:作者借鉴muti-exit architectures去做ensemble distribution KD,扩展提出新的损失函数

损失函数推导:


Logits(Response)-based Knowledge优缺点总结


优点:

1.简单易于理解,student模型学teacher模型输出的概率分布,相当于给出了类别之间的相似性信息,提供了额外的监督信号,学起来更容易。
2.对于输出层,实现简单方便


缺点:

1.蒸馏效率依赖于softmax loss计算和number of class
2.对于没有label(low-level vision)的问题,无法去做
3.当student network模型太小时,很难从teacher network distilled成功


Feature-based Knowledge


Fitnets: Hints for thin deep nets. ICLR 2015


首次提出通过intermediate feature layers学习knowledge


大致思路:

1. 选择teacher模型特征提取器的第N层输出作为hint,从第一层到第N层的参数对应图中的Whint;


2.选择student模型特征提取器的第M层输出作为guided,从第一层到第M层的参数对应图中的WGuided,student和teacher特征图维度可能不匹配,因此在student引入卷积层调整器,记为r,对guided的维度进行调整;


3. 阶段一训练,最小化特征损失函数,uh表示teacher模型从第一层到第N层对应的函数,vg表示student模型从第一层到第M层对应的函数,r表示卷积层调整器,对应的参数记为Wr。


4.阶段二训练,因为阶段一没有label信息,蒸馏粒度不够细,因此论文引入阶段二的训练,利用hinton提出的knowledge distillation对student模型进行蒸馏


实验结果:


Paying more attention to attention: Improving the performance of convolutional neural networks via attention transfer. ICLR 2017


通过提取Teacher模型生成的注意力图来指导Student模型,使Student模型生成的注意力图与Teacher模型相似。


这样简单模型不仅可以学到特征信息,还能够了解如何提炼特征信息。使得Student模型生成的特征更加灵活,不局限于Teacher模型。


作者论文中提出两种attention的计算方式:

思路1:Activation-based attention transfer, 对卷积网络隐藏层输出的特征图——feature map(特征 & 知识)进行迁移(Attention transfer),让学生网络的feature map与教师网络的feature map尽可能相似,步骤如下:


1. 将Teacher网络和Student网络都分成n个part(两者分part的数量相同),保证学生网络和教师网络每个part的最后一个卷积层得到的feature map的size大小相同,都是W * H(数量可以不同)


2. 为了计算loss,每个part的最后一个卷积层C个W * H的特征图变换为1个W* H的的二维张量,为了定义这个空间注意力映射函数,一个潜在假设是,隐层神经元激活(网络在预测时的结果)的绝对值可以用于指示这个神经元的重要性,这样我们可以计算通道维度的统计量, 具体而言,我们考虑如下如下三种空间注意力图:

常见三种计算attention map方式

3.Loss函数,paper中p=2,所以是L2 loss

思路2:Gradient-based attention transfer,Loss对输入X求导,判断损失函数对于输入X的敏感性,pay more attnetion to值得注意的像素(梯度大的像素)

实验结果如下:


Relation-based Knowledge


A gift from knowledge distillation: Fast optimization, network minimization and transfer learning CVPR 2017


不拟合Teacher模型的输出,而是去拟合Teacher模型层与层之间的关系,类似于老师教学生做题,中间的结果并不重要,更应该学习解题流程。


关系通过层与层之间的内积(点乘)来定义。

假如说甲层有 M 个输出通道,乙层有 N 个输出通道,就构建一个 M*N 的矩阵来表示这两层间的关系,其中 (i, j) 元是甲层第 i 个通道 和 乙层第 j 个通道的内积(因此此方法需要甲乙两层 feature map 的形状相同)。


作者使用residual module,从而避免spatial size的相同计算。如果为了保证feature map spatial size相等,可以使用zero padding。


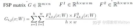
文中把这个矩阵叫 FSP (flow of solution procedure) 矩阵,其实这也是一种 Gram 矩阵,之前一篇很有名的文章 Neural Style 里也有成功的应用:用 Gram 矩阵来描述图像纹理,从而实现风格转换。Gram矩阵是计算每个通道i与通道j的feature map的内积。


Gram matrix的每个值都可以说是代表i通道的feature map与通道j的feature map互相关的程度。x代表输入图像,W代表FSP weights,F1/F2是产生的feature map,h*w代表feature map的height, width;m/n代表channel。

具体步骤:

1.最小化teacher模型FSP矩阵与student模型FSP矩阵之间的L2 Loss,用来初始化student模型的可训练参数。


lamda代表不同层/点的权重系数,paper里面设置为相同权重。

2. 在目标任务的数据集上fine-tunestudent模型实验结果:


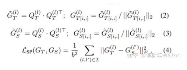
Similarity-preserving knowledge distillation ICCV 2019


如果两个输入在老\师网络中有着高度相似的激活,那么引导学生网络趋向于对该输入同样产生高的相似激活(反之亦然)的参数组合,那将是有利的(对于学生更好的学老\师网络的能力与知识)。


基于这个观察和假设,本文主要思路提出了一个保留相似性损失,来促使学生网络学老\师网络在对于数据内部的关系表达的知识。


假设证明试验:


图2这个图指示了CIFAR-10中10000张图片分别对应于教师网络最后一个卷积层的激活值中所有通道内计算均值得到的矢量,整体绘制出来得到的结果。


这里分成了十类,每一类对应相邻的1000张图片,可见,相邻的1000张图片的激活情况是类似的,而不同类别之间有明显差异。

图3中展示了对于CIFAR-10测试集上的数个batch的G矩阵可视化结果,这里的激活是从最后一个卷积层收集而来的。


• 每一列表示一个单独的batch,两个网络都是一致的。


• 每个batch的图像中,对于样本的顺序已经通过其真值类别分组。一个batch包含128张图片样本。在两行的G矩阵中,显示了独特的块状模式,这指示了者系网络的最后一层的激活,在相同类别的时候有着相似的结果,而不同类别也有着不同的结果,也就是前者有着更大的相似性,后者相似性较小。


• 图中每个块大小不同,这主要是因为不同类别在每个batch中包含的样本数不同。


• 上下对比也可以看出来,对于复杂模型(下面),块状模式更加明显突出,这也反映出来,其对于捕获数据集的语义信息有着更强的能力。


• 这样的现象也在一定程度上支撑了本文的假设,也反映出前面提出的相似性损失的意义与价值所在,就是促使学生网络可以更好的模仿学老师模型对于数据特征中的关联信息的学习。


保留相似性损失函数推导:


实验结果:


Feature/Relation-based Knowledge优缺点总结:

优点

  1. 泛化性更好,目前SOTA的方法都是基于feature/Relation
  2. 可以处理cross domain transfer and low-level vision问题
缺点:
  1. 对于信息损失很难度量,因此很难选择最好的方法。
  2. 大多数方法随机选择intermediate layers,可解释性不够
  3. 特征的蒸馏位置手动选择或基于任务选择


Applications-NLP-BERT


因为Bert本身参数量大,当前对Bert瘦身有三个思路,分别是Distillation(蒸馏)、Quantization(量化)和Pruning(剪枝)。

其中蒸馏效果最好。因此接下来,将通过三篇paper回顾下BERT蒸馏如何去做。

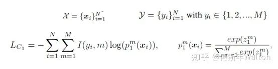
DistilBERT, a distilled version of BERT: smaller, faster, cheaper and lighter 2019

基于Transformer的预训练模型的趋势就是越来越大,训练数据和参数量也是越来越多。


本文将介绍蒸馏方法中的DistilBert。 把KD思想简单应用到BERT上 ,DistilBERT的参数大约只有BERT的40%,而速度快了60%,保证97%精度。

大致思路: 对BERT做forward pass,再计算Triple Loss,进行Backward Propagation训练DistilBERT

损失函数:

模型最后的输出的由distillation loss 以及训练误差,分别是 Mask language modeling loss 和cosine embedding loss 的线性加和组成。

上面的公式主要是拟合两个的模型输出概率分布,理想当然都是用cross entropy来解决,但是在看源码的时候,我们发现这实现中用的是Kullback-Leibler loss。

经过查阅资料,发现其实KL距离和cross entropy其实是等价的,都是拟合两个概率分布,使得最大似然。KL diversion 代表的是两个分布的距离,越大 代表分布越不像,越小=0 代表两个分布一样。

Mask language modeling loss(跟Bert 一致),首层的embedding的cosine embedding loss 。

模型结构:
1. DistilBert将token-type embeddings以及pooler层去掉

2. 学生模型layer数是老师模型的一半,6层transformer encode,但是hidden dim是一致的,文章中指出学生参数初始化是直接复制老师模型的layers,具体的操作是skip的方式,例如12层的教师模型,学生模型6层,初始化用的是for teacher_idx in [0,2,4,7,9,11]。

实验结果:


蒸馏模型的效果取决于三个方面,一个是模型大小,一个是模型效果,以及预测速度。文章中对比了distlbert以及教师模型Bert-Base,得出了结论,可以得到97%的bert的效果,大小减少了近40%,预测时间提高了60%。

可以说还是非常好的。它也提出了,它的学生模型可以在iphone7上直接运行。同时,训练时长和机器配置相比训练BERT而言,明显很有优势。


TinyBERT: Distilling BERT for natural language understanding 2019

通过对Bert编码器中的Transformer进行压缩,提出新的 transformer 蒸馏法,同时还提出了一种专门用于 TinyBERT的两段式学习框架,从而分别在预训练和针对特定任务的具体学习阶段执行 transformer 蒸馏。

这一框架确保 TinyBERT 可以获取 teacherBERT 的通用和针对特定任务的知识。最终可以达到96% BERT base performance, 7.5x samller, 9.4x faster.

损失函数推导:Transformer-layer Distillatio n
attention based distillation attention 的权重可以获取很多的语言学的知识,所以不能够忽视这些信息。

文章中定义每一层的attention loss, 这边的h表示的是attention heads的个数。hidden states based distillation 除了mimic attention 的权重之外,我们还需要mimic每个encoder的hidden states的输出,Hs表示的是学生的某一个block的hidden states的output, Ht表示的是老师的对应block的hidden states的output。

为什么需要乘以Wh呢,这是因为做一个线性映射, Wh 是一个可学习的矩阵,目的是把学生模型的特定向量映射到对应的老师模型的向量空间去,因为我们不要求两个的维度一致。Embedding-layer Distillation

其实embedding layer的学习在distilBERT已经提到了,它学习的是embedding的cosine距离,但是这边提出的的方式用的是MSE,其中Es 表示的是学生的embedding,Et 表示的是老师的embedding。

为什么需要乘以We呢,这是因为做一个线性映射, We 是一个可学习的矩阵,目的是把学生模型的特定向量映射到对应的老师模型的向量空间去吗,因为我们不要求两个的维度一致。

Prediction-Layer Distillation,最后的这个就是典型的softmax-soft loss了。

实验结果:


Minilm: Deep self-attention distillation for task-agnostic compression of pre-trained transformers 2020

DistilBERT采用了soft-label distillation loss and a cosine embedding loss,并通过从两层中选取一层来初始化老师的学生。但是,学生的每个Transformer层都必须具有与其老师相同的体系结构。

TinyBERT利用更细粒度的知识,包括Transformer网络的hidden states和self-attention distributions,并将这些知识逐层转移到学生模型中。

为了进行逐层蒸馏,TinyBERT采用统一函数来确定教师和学生层之间的映射,并使用参数矩阵对学生的隐藏状态进行线性变换。

本文具体提出只蒸馏teacher网络的最后一个Transformer层的self-attention模块,就可以达到不错的效果。

与以前的方法相比,使用最后一个Transformer层的知识而不是执行层到层的知识提纯可以减轻教师模型和学生模型之间的层映射困难,并且我们的学生模型的层数可以更灵活.

图1整体介绍了深度自注意力知识蒸馏的方法,主要由两种知识迁移构成:

第一种就是自注意力得分/分布迁移(Self-Attention Distribution Transfer),主要迁移自注意力得分/分布知识(Attention Scores/Distributions)。

自注意力得分矩阵由Queries 和 Keys 通过点积操作得到,矩阵中每个值表示两个词的依赖关系。

自注意力得分矩阵是自注意力模块中至关重要的知识,我们通过相对熵(KL-Divergence)来计算大模型和小模型自注意力得分矩阵的差异。
第二种,为了迁移更深层次的自注意力知识,使小模型可以更深层次地模仿大模型,我们引入了 Values 知识并将其转换为关系矩阵进行迁移。

Values 关系矩阵(Value Relation)由 Values 向量间点积得到,可以表示 Values 词与词间的依赖。

使用点积操作可以将大小模型不同维度的 Values 向量转换为相同维度大小的关系矩阵,避免引入额外的随机初始化参数对小模型的 Values 向量进行线性变换,以使其和大模型向量具有相同的维度来进行知识迁移。

我们也通过相对熵来衡量大小模型间关系矩阵的差异。

整体损失函数:

实验结果:




QA


1. QA-Why KD works?

Explaining Knowledge Distillation by Quantifying the Knowledge. CVPR 2020

作者提出三个假设,并依次证明:
1.KD促使DNN更容易从数据中学习更多的视觉概念。

2.KD可确保DNN更容易同时学习到各种视觉概念,在没有KD的情况下,DNN在多个阶段分阶段学习不同的视觉概念。

3. KD使得学习产生了更稳定的优化方向。

如何证明?

对于第一个假设,就是如何度量测试number of visual concepts;

第二个假设就是度量学习不同visual concepts的速度;

第三个假设就是度量学习的稳定性。

假设一证明:

 H(x) 是整张图的information entropy,它由每个像素点的entropy组成,  和  分别代表背景和前景上的number of visual concepts。x 是输入图像, 函数I代表is the indicator function。

括号里面的条件满足时,返回1;否则返回0。 代表 整个背景的平均熵值,用来测量信息的重要性。  as a baseline entropy. b是一个正实数。  该指标用于衡量 特征的判别力。

所以在训练结束后,如果  ,  越大,  越小,证明假设一ok。具体请看最后试验结果汇总表3。

假设二证明:

其实思路很直观,是否前景  随着训练epoch number增加而快速增加;是否不同input images的前景  增加。因此作者提出两个参数去度量不同visual concepts的学习速度

Dmean平均值和Dstd标准差。作者首先定义了一个参数叫weight distance ,weight distance是定义 to measure the learning effect at 第几个epoch,k代表不同的epoch number 。w0 代表初始参数wk 代表在k个epoch之后的参数。  代表  达到最大时的epoch number。

Dmean 代表平均的weight distance,即DNN获得的前景forground visual concepts数量,Dmean反应了DNN学习visual concepts的速度是否快,越小越好;Dstd代表不同图片之间的weight distance标准差,它意味着DNNs是否同时学到这些visual concepts。也是越小越好。

总结下,就是越小的Dmean 和 Dstd意味着DNN学习visual concepts越快越同时。具体请看最后试验结果汇总表3。

假设三证明:

分子反应了视觉概念的数量,最终被选作对象分类,就是图4里面的黑框里面的东西;分母表示在学习过程中临时学习到的视觉概念,就是图4里面绿色框里面的东西。

最终分子/分母,代表已尝试过但最终被DNN丢弃的视觉概念集。一个高的 表示DNN少走弯路,更稳定地优化;反之亦然。具体请看最后试验结果汇总表3。

实验结果:

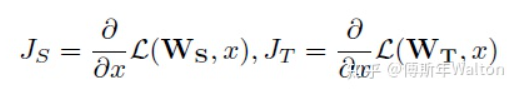
Variational information distillation for knowledge transfer. CVPR 2019


作者总结到,KD其实是最大化teacher network 和student network之间的mutual information(互信息)。


通过大量的数学推导,得出下面的公式。具体推导过程,读者可以看原paper。

t代表教师网络的中间层,s代表相对应的student网络的中间层,c,h,w分别对应channel,height,width;q(t|s)是variational distribution变异分布,公式如图所示,是一个高斯均方差分布和标准差之和


有了这个公式,可以画出它学习过程中的variational distribution的heat map热度图(红色像素代表概率越高),我们直接看图。

图a是输入图像,图(b,c和d)是不同训练epoch下的student网络和teacher网络variational distribution的密度heat map变化,观察到学生网络通过训练,根据教师网络去估计中间层的密度分布;


同时作为比较,作者也画出了未经KD训练的学生网络和老师网络的variational distribution的密度heat map变化(图e所示)。


通过e和b/c/d的相互比较,我们观察到e无法获得较高的variational distribution对数似然概率,这表明教师与学生网络之间的相互信息较少。


即作者的推断和理论推导work,KD其实是最大化teacher network 和student network之间的mutual information(互信息)。


2. QA-Are bigger models better teachers?


On the efficacy of knowledge distillation. ICCV 2019

模型容量不匹配,导致student模型不能够mimic teacher,反而带偏了主要的loss;


KD losses 和accuracy不匹配,导致student虽然可以follow teacher, 但是并不能吸收teacher知识。


3. QA-Is a pretrained teacher important?


Deep mutual learning. CVPR 2018

这篇paper其实两方面辩证来看,


1.假设没有一个pretrained的teacher模型,那KD在不同的peer students中间学习,也是可以获得不错的提高,所以pretrained的teacher其实没有那么重要,就拿bert这种大模型来说,如果pretrain一次大模型,需要很多数据,机器,时间成本去训练,那我们完全可以换几个小模型去训练,去做蒸馏;


2.如果在有pretrain的teacher前提下,那我们肯定让teacher更好的含有知识,就拿图像分类来说,它在imagnet上pre-train,再去fine tune其他模型,效果很明显。


4. QA-Single teacher vs multiple teachers


Learning from multiple teacher networks. SIGKDD 2017


后记:20篇paper简单回顾下KD在过去6年的发展,可以看到一些令人激动或者眼前一亮的工作。欢迎大家和我继续交流,我们一起探索KD更多的可能性。


在part2/3/4的陈述中,我没有加paper的引用和下载链接,但是都列出每一篇paper的title和发表年份,读者们感兴趣自行搜索即可



参考:

1、Model compression  
    https://www.cs.cornell.edu/~caruana/compression.kdd06.pdf
2、Distilling the Knowledge in a Neural Network  
     https://arxiv.org/pdf/1503.02531.pdf
3、Knowledge Distillation: A Survey 
     https://arxiv.org/pdf/2006.05525.pdf




登录查看更多
1

相关内容

专知会员服务
32+阅读 · 2021年3月17日
Transformer替代CNN?8篇论文概述最新进展!
专知会员服务
77+阅读 · 2021年1月19日
ICLR 2021 评审出炉!来看看得分最高的50篇论文是什么!
专知会员服务
41+阅读 · 2020年11月13日
最新《知识驱动的文本生成》综述论文,44页pdf
专知会员服务
78+阅读 · 2020年10月13日
最新《知识蒸馏》2020综述论文,20页pdf,悉尼大学
专知会员服务
158+阅读 · 2020年6月14日
机器翻译深度学习最新综述
专知会员服务
99+阅读 · 2020年2月20日
BERT进展2019四篇必读论文
专知会员服务
69+阅读 · 2020年1月2日
深度神经网络模型压缩与加速综述
专知会员服务
130+阅读 · 2019年10月12日
深度学习自然语言处理综述,266篇参考文献
专知会员服务
231+阅读 · 2019年10月12日
知识图谱最新研究综述
深度学习自然语言处理
45+阅读 · 2020年6月14日
SIGIR2020推荐系统论文聚焦
机器学习与推荐算法
15+阅读 · 2020年6月9日
模型压缩 | 知识蒸馏经典解读
AINLP
10+阅读 · 2020年5月31日
论文解读|知识图谱最新研究综述
AINLP
17+阅读 · 2020年5月4日
基于知识蒸馏的BERT模型压缩
大数据文摘
18+阅读 · 2019年10月14日
ACL 2019 | 微软8篇精选论文解读,一览最新研究进展
微软研究院AI头条
12+阅读 · 2019年6月28日
5篇顶会论文带你了解知识图谱最新研究进展
PaperWeekly
15+阅读 · 2019年2月21日
知识表示学习领域代表论文全盘点
AI科技评论
6+阅读 · 2018年2月14日
Arxiv
0+阅读 · 2021年4月23日
Arxiv
9+阅读 · 2021年3月3日
Arxiv
102+阅读 · 2020年3月4日
Arxiv
3+阅读 · 2019年11月28日
Arxiv
4+阅读 · 2017年11月13日
VIP会员
相关VIP内容
专知会员服务
32+阅读 · 2021年3月17日
Transformer替代CNN?8篇论文概述最新进展!
专知会员服务
77+阅读 · 2021年1月19日
ICLR 2021 评审出炉!来看看得分最高的50篇论文是什么!
专知会员服务
41+阅读 · 2020年11月13日
最新《知识驱动的文本生成》综述论文,44页pdf
专知会员服务
78+阅读 · 2020年10月13日
最新《知识蒸馏》2020综述论文,20页pdf,悉尼大学
专知会员服务
158+阅读 · 2020年6月14日
机器翻译深度学习最新综述
专知会员服务
99+阅读 · 2020年2月20日
BERT进展2019四篇必读论文
专知会员服务
69+阅读 · 2020年1月2日
深度神经网络模型压缩与加速综述
专知会员服务
130+阅读 · 2019年10月12日
深度学习自然语言处理综述,266篇参考文献
专知会员服务
231+阅读 · 2019年10月12日
相关资讯
知识图谱最新研究综述
深度学习自然语言处理
45+阅读 · 2020年6月14日
SIGIR2020推荐系统论文聚焦
机器学习与推荐算法
15+阅读 · 2020年6月9日
模型压缩 | 知识蒸馏经典解读
AINLP
10+阅读 · 2020年5月31日
论文解读|知识图谱最新研究综述
AINLP
17+阅读 · 2020年5月4日
基于知识蒸馏的BERT模型压缩
大数据文摘
18+阅读 · 2019年10月14日
ACL 2019 | 微软8篇精选论文解读,一览最新研究进展
微软研究院AI头条
12+阅读 · 2019年6月28日
5篇顶会论文带你了解知识图谱最新研究进展
PaperWeekly
15+阅读 · 2019年2月21日
知识表示学习领域代表论文全盘点
AI科技评论
6+阅读 · 2018年2月14日
Top
微信扫码咨询专知VIP会员