女研究生做“思维导图”与男友吵架!网友:吵架届的“内卷之王”....

2022 年 3 月 19 日 CVer

点击下方卡片,关注“CVer”公众号

AI/CV重磅干货,第一时间送达

本文转载自:募格学术 | 参考资料:抖音、女教授跟生活的死磕、极目新闻(记者:丁伟) 、亚辉、麦穗视频、潇湘晨报、知乎、微博等。


研究生吵起架来的“职业病”有哪些?

近日,湖南长沙一女研究生因为 “画思维导图与男友吵架” 的视频火了。


网友们纷纷表示,“原来女生吵架都是认真的。”

9日晚,视频拍摄者龚同学称,视频的女主角是她的室友阿彭, 在思维导图的助力下,阿彭仅用10分钟就完胜男友,其男友已于次日主动送花认错。

吵架也内卷?
研究生画思维导图与男友吵架

9日,一则研究生和男友吵架的短视频“火”了。

视频显示,在学校宿舍内,一个坐在上铺的女生正在给男友打电话:“我今天必须要跟你battle清楚,你给我等着。”随后女生爬下床铺,打开电脑,命名 “近几日吵架分析”建立思维导图,疯狂码字。


然后她拨通了电话,开始比照着思维导图和男友讲道理:“首先是从中午开始……然后……你说谁能受得了?”


几分钟后,室友问女生:“赢了吗?”女生回头笑着做手势示意胜出。视频配文称: “《论当代女研究生如何以理服男朋友——以思维导图为例》,室友和男朋友吵架从没输过,我好有面子!”

有关思维导图这个东西,相信研究生们都不陌生。

日常读文献的时候,思维导图能帮助你更好的总结、概括、提炼逻辑以及表达。也有一些导师会要求研究生在读文献的时候用思维导图的方式,以便他们能更好的完成自己的论文。

读文献时做的思维导图可以是这样的~

不过将思维导图用到和男友吵架“盘逻辑”上,那属实是吵架内卷啊

据视频拍摄者龚同学介绍,当时她正在床上看论文,而室友阿彭则坐在床上和男友吵架。

“当她说要做思维导图和男友battle的时候,我也觉得很新奇就拿出手机拍了下来。”龚同学说,阿彭大概花了半个小时做好了《近几日吵架分析》的思维导图, 然后就比照着思维导图的逻辑顺序一步一步地和男友理论 ,在十来分钟后男友就认输了。龚同学说, 室友阿彭写论文时用思维导图比较多,但没有想到她还把思维导图用到了和男友吵架上。

据说第二天,阿彭的男朋友给她点了外卖,另外还买了一束花留言说:‘亲爱的,你是对的’。


对此,网友纷纷表示:

“拿思维导图吵架,真是学到了,开了眼界。”

还有网友评论称:

“女研究生吵架就是不一样,以后没点文化还真不配吵架。”

其实,关于用“职业技能”内卷各个领域这些事,不少硕博那可是深有体会........

理工男博士买房:我先建个模


你们买房是如何在众多备选里挑出最后那一套的?博士后X表示: 我为此专门建了个模。

据亚辉公众号分享,博士X君是研究固体力学的,尤其擅长材料的本构建模, 他毕生信奉万事万物皆可建模。

X君先后看了二十多套房子,为了便于媳妇决策,他建立了一个模型,最终筛选出了六套备选方案。

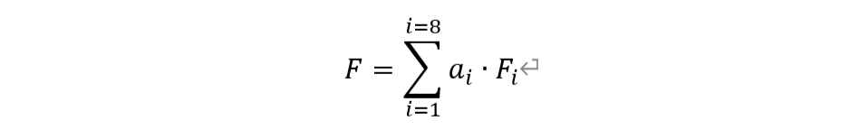
每套房子的评价参数有8个,分别是:地段交通、小区物业、内外环境、户型、采光、年代、装修、楼层。通过给不同指标打分,可以得出每套房子的雷达图(如图1)。

图1 房源评价雷达图

但是,这样的评价是无法直接指导买房的,因为不同指标的“含金量”不同,用术语讲,就是权重不同。

例如:学区房属性,本应占很大的权重,但X君是老师,对此无所谓,也就没必要定义为参数了。再比如,如果打算直接入住,那么装修占的权重必然很大;如果打算不论装修如何都要按照自己的风格重新装修,那么此项权重就可以很小。为此,X君建立了一个简单的房源得分加权算法:


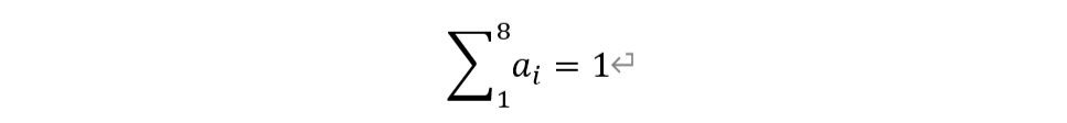
其中Fi就是房源评价雷达图里的8个指标,每个ai的值对应了每个指标的权重,并满足如下条件:


在X君看来,地段交通比较重要,它直接决定了以后生活、上班的便利程度;户型亦然,它直接决定了居住体验。据此,X君按照自己的想法给出了各项权值,得到了这六套房的加权总得分,如图2所示:

图2 房源加权总分

接着,以房源加权得分为横坐标、以房屋总价为纵坐标作图,即可得到得分与房价散点图,如图3:

图3 房源得分与房价散点图

对散点进行线性拟合,即可得出房源得分与房价的分布规律,如图4中蓝色直线,该线即可视为可信的房价预测。

图4 房源得分与房价趋势图线性拟合

显然,可以对图4进行分区解释:
拟合线:拟合线代表房源得分与房屋总价相符,可认为符合市场规律;
拟合线左上方:房屋总价高出预估市场价,属于低分高价,应予以排除;
拟合线右下方:房屋总价低于预估市场价,属于高分低价,应着重考虑;
拟合线左下方:房屋得分低,但报价也低于市场价,属于低分低价,若手头资金紧张可以考虑;
拟合线右上端:房屋得分高,但报价略高于市场价,对于追求品质的土豪随意。

待一切妥当,X君把整理好的模型及结论拿给媳妇。媳妇表示—— “还是理工男靠谱,本、硕、博修炼十多年的理工男尤其是。”

博士被坑需维权,直接写了篇万字论文

通过建模买好了房子,那万一买的房出了问题,需要维权怎么办?

这群博士业主直接写了篇万字论文维权,不光解决了自己楼盘的问题,还通过论文分析了房地产行业乱象的一些共性问题,希望给有同样烦恼的买房用户当做参考。

据悉,因为该小区博士业主多,小区的一些博士还针对小区的不合理地方,准备来个学术版的大完善。

小区业主给我们的留言

具体情况就是,2020年3月,博士小科决定购房,于是贷款了一百多万用于购房。对小科来说,“这是人生的第一笔巨款”。2020年房子的建设进度很正常,按照合同约定,2022年6月小科就能入住。

图源:麦穗视频

但随着时间的流逝,一直到2021年3月,小科发现工地上基本没有工人,项目施工很缓慢。与此同时,网上也曝出苏宁集团出现了财务危机, 楼盘可能面临烂尾的危险。 于是小区业主代表通过调查、走访,发现苏宁置业拖欠建筑单位的工程款是造成停工的主要原因。

在走访调查的过程中,小科还发现了两个核心问题:

一是 购房款部分流失。小区购房款为43亿,但不是所有的购房款都进入了资金监管账户,导致部分购房款流失;

二是 购房款被广发超额划扣。进入广发银行监管账户的部分资金,并没有用于建设房屋,而是被广发银行超额划扣了,用来偿还苏宁置业的贷款。

于是小区业主们找到苏宁置业,苏宁置业承诺承诺2021年9月复工,不过却被业主们发现工地现场的工人是“群演”假扮的。

图源:麦穗视频

银行有权利要求苏宁置业还贷款,但是购房款又理应用来建设房屋,银行做得对还是做得不对?由于没有一个统一的定论,于是小科花了四天时间,查阅了百篇文献,写出了名为 “商业银行划扣预售资金抵偿开发贷的合理性探讨” 的学术论文, 共计12000字,其中在文中引用27篇参考文献。

图源:麦穗视频


文中,小科对银行划扣业主房款偿还房地产商贷款一事的合理性进行了讨论。最后,他提出5点建议,包括:

1、配合推动公安部门调查的进行
2、对广发银行的不力监管催民事诉讼
3、向纪委部门举报广发银行西安分行党委的涉嫌违规行为
4、投诉银保监会不作为
5、积极督促苏宁置业变卖资产筹措资金

最终,楼盘得以顺利复工,而这篇论文,也被无数网友赞为“维权界的天花板”。


诸如此类的例子还有很多,比如有博士写论文研究《如何给女朋友送礼》的。


有结婚现场被要求当场写代码编程,需要用程序“画”出一颗爱心来的。


别人的接亲现场是玩游戏,我们博士的接亲现场,是大家一起跪地做试卷

做英语六级题中 图源:济南晚报

操作太多,小募只想说一句:

“重金求和男友吵架做的思维导图细节”哇!



ICCV和CVPR 2021论文和代码下载


后台回复:CVPR2021,即可下载CVPR 2021论文和代码开源的论文合集

后台回复:ICCV2021,即可下载ICCV 2021论文和代码开源的论文合集

后台回复:Transformer综述,即可下载最新的3篇Transformer综述PDF


CVer-Transformer交流群成立


扫码添加CVer助手,可申请加入CVer-Transformer 微信交流群,方向已涵盖:目标检测、图像分割、目标跟踪、人脸检测&识别、OCR、姿态估计、超分辨率、SLAM、医疗影像、Re-ID、GAN、NAS、深度估计、自动驾驶、强化学习、车道线检测、模型剪枝&压缩、去噪、去雾、去雨、风格迁移、遥感图像、行为识别、视频理解、图像融合、图像检索、论文投稿&交流、PyTorch和TensorFlow等群。


一定要备注:研究方向+地点+学校/公司+昵称(如Transformer+上海+上交+卡卡),根据格式备注,可更快被通过且邀请进群


▲长按加小助手微信,进交流群


CVer学术交流群(知识星球)来了!想要了解最新最快最好的CV/DL/ML论文速递、优质开源项目、学习教程和实战训练等资料,欢迎扫描下方二维码,加入CVer学术交流群,已汇集数千人!


扫码进群

▲点击上方卡片,关注CVer公众号

整理不易,请点赞和在看

登录查看更多
0

相关内容

吴恩达知乎问答:如何系统学习机器学习?
专知会员服务
21+阅读 · 2022年4月10日
TPAMI 2022|华为诺亚最新视觉Transformer综述
专知会员服务
56+阅读 · 2022年2月24日
清华大学《人工智能》书籍教学课件开放下载
专知会员服务
144+阅读 · 2020年7月27日
专知会员服务
40+阅读 · 2020年6月19日
春节反催婚,我输了
人人都是产品经理
0+阅读 · 2022年2月7日
大年三十问候导师的后果...
CVer
0+阅读 · 2022年1月31日
国家自然科学基金
1+阅读 · 2014年12月31日
国家自然科学基金
1+阅读 · 2013年12月31日
国家自然科学基金
0+阅读 · 2013年12月31日
国家自然科学基金
0+阅读 · 2012年12月31日
国家自然科学基金
0+阅读 · 2009年12月31日
国家自然科学基金
1+阅读 · 2009年12月31日
国家自然科学基金
0+阅读 · 2009年12月31日
国家自然科学基金
0+阅读 · 2009年12月31日
Arxiv
19+阅读 · 2021年1月14日
Arxiv
11+阅读 · 2018年7月31日
Arxiv
11+阅读 · 2018年5月13日
VIP会员
相关基金
国家自然科学基金
1+阅读 · 2014年12月31日
国家自然科学基金
1+阅读 · 2013年12月31日
国家自然科学基金
0+阅读 · 2013年12月31日
国家自然科学基金
0+阅读 · 2012年12月31日
国家自然科学基金
0+阅读 · 2009年12月31日
国家自然科学基金
1+阅读 · 2009年12月31日
国家自然科学基金
0+阅读 · 2009年12月31日
国家自然科学基金
0+阅读 · 2009年12月31日
相关论文
Arxiv
19+阅读 · 2021年1月14日
Arxiv
11+阅读 · 2018年7月31日
Arxiv
11+阅读 · 2018年5月13日
Top
微信扫码咨询专知VIP会员