频率学派还是贝叶斯学派?聊一聊机器学习中的MLE和MAP

2018 年 1 月 7 日 量子位 专注报道AI
作者:夏飞
Google | 软件工程师
量子位 已获授权编辑发布
转载请联系原作者

本文作者夏飞,清华大学计算机软件学士,卡内基梅隆大学人工智能硕士,现为谷歌软件工程师。

在这篇文章中,他探讨了机器学习中的MLE和MAP两大学派的争论。

  • 频率学派 - Frequentist - Maximum Likelihood Estimation (MLE,最大似然估计)

  • 贝叶斯学派 - Bayesian - Maximum A Posteriori (MAP,最大后验估计)

概述

有时候和别人聊天,对方会说自己有很多机器学习经验,深入一聊发现,对方竟然对MLE和MAP一知半解,至少在我看来,这位同学的机器学习基础并不扎实。难道在这个深度学习盛行的年代,不少同学都只注重调参数?

现代机器学习的终极问题都会转化为解目标函数的优化问题,MLE和MAP是生成这个函数的很基本的思想,因此我们对二者的认知是非常重要的。这次就和大家认真聊一聊MLE和MAP这两种estimator。

两大学派的争论

抽象一点来讲,频率学派和贝叶斯学派对世界的认知有本质不同:频率学派认为世界是确定的,有一个本体,这个本体的真值是不变的,我们的目标就是要找到这个真值或真值所在的范围;而贝叶斯学派认为世界是不确定的,人们对世界先有一个预判,而后通过观测数据对这个预判做调整,我们的目标是要找到最优的描述这个世界的概率分布。

在对事物建模时,用θ表示模型的参数,请注意,解决问题的本质就是求θ。那么:

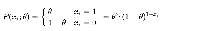
(1) 频率学派:存在唯一真值θ。举一个简单直观的例子—抛硬币,我们用P(head)来表示硬币的bias。抛一枚硬币100次,有20次正面朝上,要估计抛硬币正面朝上的bias P(head)=θ。在频率学派来看,θ= 20 / 100 = 0.2,很直观。

当数据量趋于无穷时,这种方法能给出精准的估计;然而缺乏数据时则可能产生严重的偏差。例如,对于一枚均匀硬币,即θ= 0.5,抛掷5次,出现5次正面 (这种情况出现的概率是1/2^5=3.125%),频率学派会直接估计这枚硬币θ= 1,出现严重错误。

(2) 贝叶斯学派: θ是一个随机变量,符合一定的概率分布。在贝叶斯学派里有两大输入和一大输出,输入是先验 (prior)和似然 (likelihood),输出是后验 (posterior)。

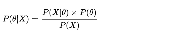
先验,即P(θ),指的是在没有观测到任何数据时对θ的预先判断,例如给我一个硬币,一种可行的先验是认为这个硬币有很大的概率是均匀的,有较小的概率是是不均匀的;似然,即P(X|θ),是假设θ已知后我们观察到的数据应该是什么样子的;后验,即P(θ|X),是最终的参数分布。

贝叶斯估计的基础是贝叶斯公式,如下:

同样是抛硬币的例子,对一枚均匀硬币抛5次得到5次正面,如果先验认为大概率下这个硬币是均匀的 (例如最大值取在0.5处的Beta分布),那么P(head),即P(θ|X),是一个distribution,最大值会介于0.5~1之间,而不是武断的θ= 1。

这里有两点值得注意的地方:

随着数据量的增加,参数分布会越来越向数据靠拢,先验的影响力会越来越小

如果先验是uniform distribution,则贝叶斯方法等价于频率方法。因为直观上来讲,先验是uniform distribution本质上表示对事物没有任何预判。

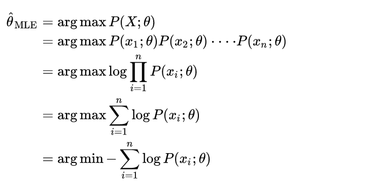
MLE - 最大似然估计

Maximum Likelihood Estimation, MLE是频率学派常用的估计方法!

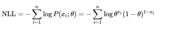
假设数据X1,X2,…,Xn是i.i.d.的一组抽样,X=(X1,X2,…,Xn)。其中i.i.d.表示Independent and identical distribution,独立同分布。那么MLE对θ的估计方法可以如下推导:

最后这一行所优化的函数被称为Negative Log Likelihood (NLL),这个概念和上面的推导是非常重要的!

我们经常在不经意间使用MLE,例如

上文中关于频率学派求硬币概率的例子,其方法其实本质是由优化NLL得出。本文末尾附录中给出了具体的原因 :-)

给定一些数据,求对应的高斯分布时,我们经常会算这些数据点的均值和方差然后带入到高斯分布的公式,其理论依据是优化NLL

深度学习做分类任务时所用的cross entropy loss,其本质也是MLE

MAP - 最大后验估计

Maximum A Posteriori, MAP是贝叶斯学派常用的估计方法!

同样的,假设数据X1,X2,…,Xn是i.i.d.的一组抽样,X=(X1,X2,…,Xn) 。那么MAP对θ的估计方法可以如下推导:

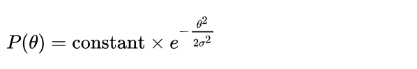
其中,第二行到第三行使用了贝叶斯定理,第三行到第四行P(X)可以丢掉因为与θ无关。注意-log P(X|θ)其实就是NLL,所以MLE和MAP在优化时的不同就是在于先验项-log P(θ)。好的,那现在我们来研究一下这个先验项,假定先验是一个高斯分布,即

那么,

。至此,一件神奇的事情发生了 — 在MAP中使用一个高斯分布的先验等价于在MLE中采用L2的regularizaton !

再稍微补充几点:

我们不少同学大学里学习概率论时,最主要的还是频率学派的思想,其实贝叶斯学派思想也非常流行,而且实战性很强

CMU的很多老师都喜欢用贝叶斯思想解决问题;我本科时的导师朱军老师也在做贝叶斯深度学习的工作,有兴趣可以关注一下。

相关研究论文:

https://arxiv.org/abs/1709.05870

后记

有的同学说:“了解这些没用,现在大家都不用了。”这种想法是不对的,因为这是大家常年在用的知识,是推导优化函数的核心,而优化函数又是机器学习 (包含深度学习) 的核心之一。这位同学有这样的看法,说明对机器学习的本质并没有足够的认识,而让我吃惊的是,竟然有不少其他同学为这种看法点赞。内心感到有点儿悲凉,也引发了我写这篇文章的动力,希望能帮到一些朋友 :-)

参考资料

[1] Bayesian Method Lecture, UT Dallas.
http://www.utdallas.edu/~nrr150130/cs7301/2016fa/lects/Lecture_14_Bayes.pdf

[2] MLE, MAP, Bayes classification Lecture, CMU.
http://www.cs.cmu.edu/~aarti/Class/10701_Spring14/slides/MLE_MAP_Part1.pdf

附录

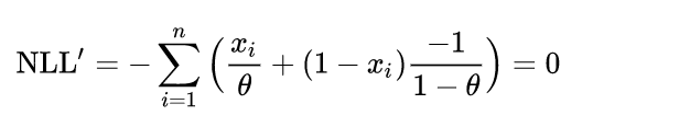
为什么说频率学派求硬币概率的算法本质是在优化NLL?

因为抛硬币可以表示为参数为θ的Bernoulli分布,即:

其中xi= 1 表示第i次抛出正面。那么,

求导数并使其等于零,得到



,也就是出现正面的次数除以总共的抛掷次数。

点击左下角“阅读原文”,可解锁更多作者的文章

还可以直接参与讨论~

量子位特约稿件,转载请联系原作者。

加入社群

量子位AI社群13群开始招募啦,欢迎对AI感兴趣的同学,加小助手微信qbitbot5入群;


此外,量子位专业细分群(自动驾驶、CV、NLP、机器学习等)正在招募,面向正在从事相关领域的工程师及研究人员。


进群请加小助手微信号qbitbot5,并务必备注相应群的关键词~通过审核后我们将邀请进群。(专业群审核较严,敬请谅解)

诚挚招聘

量子位正在招募编辑/记者,工作地点在北京中关村。期待有才气、有热情的同学加入我们!相关细节,请在量子位公众号(QbitAI)对话界面,回复“招聘”两个字。

量子位 QbitAI · 头条号签约作者

վ'ᴗ' ի 追踪AI技术和产品新动态


登录查看更多
0

相关内容

极大似然估计方法(Maximum Likelihood Estimate,MLE)也称为最大概似估计或最大似然估计,是求估计的另一种方法,最大概似是1821年首先由德国数学家高斯(C. F. Gauss)提出,但是这个方法通常被归功于英国的统计学家罗纳德·费希尔(R. A. Fisher) 它是建立在极大似然原理的基础上的一个统计方法,极大似然原理的直观想法是,一个随机试验如有若干个可能的结果A,B,C,... ,若在一次试验中,结果A出现了,那么可以认为实验条件对A的出现有利,也即出现的概率P(A)较大。极大似然原理的直观想法我们用下面例子说明。设甲箱中有99个白球,1个黑球;乙箱中有1个白球.99个黑球。现随机取出一箱,再从抽取的一箱中随机取出一球,结果是黑球,这一黑球从乙箱抽取的概率比从甲箱抽取的概率大得多,这时我们自然更多地相信这个黑球是取自乙箱的。一般说来,事件A发生的概率与某一未知参数theta有关, theta取值不同,则事件A发生的概率P(A/theta)也不同,当我们在一次试验中事件A发生了,则认为此时的theta值应是t的一切可能取值中使P(A/theta)达到最大的那一个,极大似然估计法就是要选取这样的t值作为参数t的估计值,使所选取的样本在被选的总体中出现的可能性为最大。
【经典书】机器学习高斯过程,266页pdf
专知会员服务
235+阅读 · 2020年5月2日
《强化学习》简介小册,24页pdf
专知会员服务
277+阅读 · 2020年4月19日
机器学习速查手册,135页pdf
专知会员服务
345+阅读 · 2020年3月15日
【UMD开放书】机器学习课程书册,19章227页pdf,带你学习ML
一文读懂机器学习中的贝叶斯统计学
数据分析
26+阅读 · 2019年5月8日
生活中处处的贝叶斯
算法与数学之美
4+阅读 · 2018年2月19日
从香农熵到手推KL散度:一文带你纵览机器学习中的信息论
概率论之概念解析:引言篇
专知
6+阅读 · 2018年1月8日
基于概率论的分类方法:朴素贝叶斯
Python开发者
8+阅读 · 2017年11月9日
专栏 | 贝叶斯学习与未来人工智能
机器之心
10+阅读 · 2017年9月19日
Arxiv
3+阅读 · 2018年10月11日
Arxiv
5+阅读 · 2018年1月29日
VIP会员
相关资讯
一文读懂机器学习中的贝叶斯统计学
数据分析
26+阅读 · 2019年5月8日
生活中处处的贝叶斯
算法与数学之美
4+阅读 · 2018年2月19日
从香农熵到手推KL散度:一文带你纵览机器学习中的信息论
概率论之概念解析:引言篇
专知
6+阅读 · 2018年1月8日
基于概率论的分类方法:朴素贝叶斯
Python开发者
8+阅读 · 2017年11月9日
专栏 | 贝叶斯学习与未来人工智能
机器之心
10+阅读 · 2017年9月19日
Top
微信扫码咨询专知VIP会员