论文浅尝 | 从知识图谱流中学习时序规则

2019 年 6 月 28 日 开放知识图谱

论文笔记整理:汪寒,浙江大学硕士,研究方向为知识图谱、自然语言处理。



链接:http://ceur-ws.org/Vol-2350/paper15.pdf


动机

知识图谱是现在十分流行的数据管理方式,在最近几年应用广泛。但目前的基于KG的规则挖掘主要都是针对静态的KG,无法应用于有时间维度的KG。本文提出了一种针对有时间维度的KG流的规则挖掘算法,挖掘出的规则也有时间维度。


亮点

文章的亮点主要包括:

提出了针对KG流的规则挖掘算法,可以挖掘出带有时间维度的规则。


概念

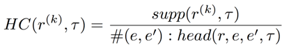
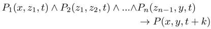
1.Temporal closed-path rule r(k)LHS记为body(r)RHS记为head(r)

2. support degree of r(k) at time point τ,在时间点τ满足r(k)的实体对个数

3.standard confidencehead coverage

 


4.dynamic standard confidence (DSC) dynamic head coverage(DHC),作者认为不同时刻的ruleSCHC应该与之前时间步的SCHC相关

       5.S[i,j]表示时间步i到时间步j时刻的KG

       6.S*[i,j]表示把S[i,j]的所有元组去掉时间维度后获得的静态KG


方法

先把整个KG流转换成 static KG,用不带时间维度的规则挖掘算法 RLvLR 挖掘CP rules。然后根据DSCDHC筛选规则,为了减少计算量,在筛选规则时加入了滑动窗口,只计算滑动窗口时间步内的KGW包含了所有在当前滑动窗口的KG片段。


实验                                                                

. 数据集

用的是Integrated Crisis EarlyWarning System (ICEWS) 数据集。

. 实验结果

总结                                                  

本文提出了一种可以在KG流中挖掘带时间维度的时序规则算法。




OpenKG


开放知识图谱(简称 OpenKG)旨在促进中文知识图谱数据的开放与互联,促进知识图谱和语义技术的普及和广泛应用。

点击阅读原文,进入 OpenKG 博客。

登录查看更多
7

相关内容

知识图谱(Knowledge Graph),在图书情报界称为知识域可视化或知识领域映射地图,是显示知识发展进程与结构关系的一系列各种不同的图形,用可视化技术描述知识资源及其载体,挖掘、分析、构建、绘制和显示知识及它们之间的相互联系。 知识图谱是通过将应用数学、图形学、信息可视化技术、信息科学等学科的理论与方法与计量学引文分析、共现分析等方法结合,并利用可视化的图谱形象地展示学科的核心结构、发展历史、前沿领域以及整体知识架构达到多学科融合目的的现代理论。它能为学科研究提供切实的、有价值的参考。

知识荟萃

精品入门和进阶教程、论文和代码整理等

更多

查看相关VIP内容、论文、资讯等
【天津大学】知识图谱划分算法研究综述
专知会员服务
111+阅读 · 2020年4月27日
基于深度学习的多标签生成研究进展
专知会员服务
147+阅读 · 2020年4月25日
【斯坦福大学-论文】实体上下文关系路径的知识图谱补全
17篇知识图谱Knowledge Graphs论文 @AAAI2020
专知会员服务
172+阅读 · 2020年2月13日
知识图谱本体结构构建论文合集
专知会员服务
110+阅读 · 2019年10月9日
最新BERT相关论文清单,BERT-related Papers
专知会员服务
53+阅读 · 2019年9月29日
论文浅尝 | 时序与因果关系联合推理
开放知识图谱
36+阅读 · 2019年6月23日
论文浅尝 | 知识图谱三元组置信度的度量
开放知识图谱
24+阅读 · 2019年5月16日
论文浅尝 | 5 篇顶会论文带你了解知识图谱最新研究进展
论文浅尝 | 基于局内去噪和迁移学习的关系抽取
开放知识图谱
16+阅读 · 2018年12月2日
论文浅尝 | 用可微的逻辑规则学习完成知识库推理
开放知识图谱
14+阅读 · 2018年7月5日
论文浅尝 | 基于多原型mention向量的文本-实体联合学习
论文浅尝 | Know-Evolve: Deep Temporal Reasoning for Dynamic KG
开放知识图谱
36+阅读 · 2018年3月30日
论文浅尝 | 基于置信度的知识图谱表示学习框架
开放知识图谱
24+阅读 · 2018年2月27日
Arxiv
13+阅读 · 2019年4月9日
Arxiv
4+阅读 · 2018年11月6日
Arxiv
7+阅读 · 2017年12月28日
VIP会员
相关资讯
论文浅尝 | 时序与因果关系联合推理
开放知识图谱
36+阅读 · 2019年6月23日
论文浅尝 | 知识图谱三元组置信度的度量
开放知识图谱
24+阅读 · 2019年5月16日
论文浅尝 | 5 篇顶会论文带你了解知识图谱最新研究进展
论文浅尝 | 基于局内去噪和迁移学习的关系抽取
开放知识图谱
16+阅读 · 2018年12月2日
论文浅尝 | 用可微的逻辑规则学习完成知识库推理
开放知识图谱
14+阅读 · 2018年7月5日
论文浅尝 | 基于多原型mention向量的文本-实体联合学习
论文浅尝 | Know-Evolve: Deep Temporal Reasoning for Dynamic KG
开放知识图谱
36+阅读 · 2018年3月30日
论文浅尝 | 基于置信度的知识图谱表示学习框架
开放知识图谱
24+阅读 · 2018年2月27日
相关论文
Top
微信扫码咨询专知VIP会员