SlimTrie:战胜Btree单机百亿文件的极致索引-实现篇

2019 年 3 月 14 日 高可用架构

最近,知名博主 @drdrxp (张炎泼) 一条关于SlimTrie介绍的微博引发了热议



高可用架构联系了 XP 老师,通过本文首次介绍了 SlimTrie 的详细实现。本文作者李文博,吴义谱、张炎泼对本文亦有贡献。


李文博,目前就职于白山云科技有限公司,从事云存储研发工程师。在白山主要有 s2 分布式对象存储系统的日常建设和 ec 冷数据存储集群开发的实战经历,在分布式存储服务方向有一些积累和经验。


吴义谱,目前就职于白山CWN云存储部门,2016年加入白山,主要负责分布式对象存储的研发工作,熟悉了解行业内主流的分布式存储系统,积累了丰富的云存储相关技术,并运用这些技术攻克了实际中遇到的难点,运用EC(Erasure Code)技术解决了冷数据在保证可靠性的同时降低33%成本,运用haystack技术解决百亿级别小文件的访问IO瓶颈问题,运用paxos技术解决几十亿集群管理和leader选举问题。


张炎泼 (xp),30 年软件开发经验,物理系背叛者,设计师眼中的美工,bug maker,vim 死饭,悬疑片脑残粉。曾就职新浪, 美团。现在白山云,不是白云山 。


上一篇 SlimTrie 设计篇 [1] 中,我们介绍了单机百亿文件的索引设计思路,今天我们来具体介绍下它代码级别的实现。文中我们要解决的问题是: 在一台通用的100TB的存储服务器的内存中, 索引100亿个小文件。


而最终我们通过SlimTrie对存储系统中静态文件的索引, 内存开销只占 Btree的 13%, 查询速度却是 Btree 的 2.6倍!


索引的一点背景知识


索引可以被认为是业务数据(用户文件)之外的一些"额外"的数据, 在这些额外的数据帮助下, 可以在大量的数据中快速找到自己想要的内容. 就像一本数学课本的2个"索引": 一个是目录, 一个是关键词索引.现实系统中,存储系统中的索引需要做到:


  • 足够小 : 一般实现为将索引信息全部存储在内存中可以达到比较好的性能。访问索引的过程中不能访问磁盘, 否则延迟变得不可控(这也是为什么leveldb或其他db在我们的设计中没有作为索引的实现来考虑).

  • 足够准确 : 对较小的文件, 访问一个文件开销为1次磁盘IO操作。


分析下已有的2种索引类型, hash-map类型的和tree类型的,Hash map类索引利用hash函数的计算来定位一个文件:


  • 优势 :快速,一次检索定位数据。非常适合用来做 单条 数据的定位。

  • 劣势 :无序。不支持范围查询。必须是等值匹配的,不支持“>”、“<”的操作。

  • 内存开销: O(k * n)。

  • 查询效率: O(k)。


而基于Tree 的索引中代表性的有: B+tree, RBTree, SkipList, LSM Tree, 排序数组 :


  • 优势 : 它对保存的key是排序的;

  • 劣势 : 跟Hash map一样, 用Tree做索引的时候, map.set(key = key, value = (offset, size)) 内存中必须保存完整的key, 内存开销也很大: O(k * n);

  • 内存开销: O(k * n);

  • 查询效率: O(k * log(n));


以上是两种经典的索引都存在一个无法避免的问题: key的数量很大时,它们对内存空间的需求会变的非常巨大:O(k * n) 。


如果100亿个key(文件名)长度为1KB的文件。那么仅这些key的索引就是 1KB * 100亿 = 10,000GB。导致以上的经典数据结构无法将索引缓存在内存中。而索引又必须避免访问磁盘IO,基于这些原因我们实现了一套专为存储系统设计的SlimTrie索引.


索引数据大小的理论极限


如果要索引n个key, 那每条索引至少需要 log 2 (n) 个bit的信息, 才能区分出n个不同的key. 因此理论上所需的内存空间最低是log 2 (n) * n * n, 这个就是我们空间优化的目标. 在这里,  空间开销仅仅依赖于key的数量,而不会受key的长度的影响!


我们在实现时将所有要索引的key拆分成多组,来限制了单个索引数据结构中 n的大小, 这样有2个好处:


  • n 和  log 2 (n)  都比较确定, 容易进行优化;

  • 占用空间更小, 因为: a * log(a) + b * log(b) <(a+b) * log(a+b);


SlimTrie索引结构的设计


我们最终达到每个文件的索引平均内存开销与key的长度无关, 每条索引一共10 byte, 其中:


  • 6 byte是key的信息;

  • 4 byte是value: (offset, size); // value的这个设定是参考通常的存储实现举的一个例子,不一定是真实生产环境的配置。


实现思路:从Trie开始


在研究Trie索引的时候, 我们发现它的空间复杂度(的量级)、顺序性、查询效率(的量级)都可以满足预期, 虽然实现的存储空间开销仍然很大,但有很大的优化空间。


Trie 就是一个前缀树, 例如,保存了8个key("A", "to", "tea", "ted", "ten", "i", "in", and "inn")的Trie的结构如下:


Trie的特点在于原生的前缀压缩, 而Trie上的节点数最少是O(n), 这在量级上跟我们的预期一致。但Trie仍然需要每个节点都要保存若干个指针(指针在目前普遍使用的64位系统上单独要占8字节)。


SlimTrie的设计目标


功能要求:


  • SlimTrie能正确的定位存在的key,但不需要保证定位不存在的key。

  • SlimTrie支持范围定位key。

  • SlimTrie的内存开销只与key的个数n相关,不依赖于key的长度k 。

  • SlimTrie查询速度要快。


限制:


  • SlimTrie只索引静态数据。 数据生成之后在使用阶段不修改, 依赖于这个假设我们可以对索引进行更多的优化。

  • SlimTrie支持最大16KB的key 。

  • SlimTrie在内存中不保存完整的key的信息。


最终 性能目标对比其他几种常见的数据结构应是:

SlimTrie的术语定义


  • key:某个用户的文件名,一般是一个字符串。

  • value: 要索引的用户数据, 这里value是一组(offset, size)。

  • n: key的总数: <=  2 15

  • k: key的平均长度 < 2 16 

  • Leaf 节点: SlimTrie中的叶子节点, 每个Leaf对应一个存在的key。

  • LeafParent 节点:带有1个Leaf节点的节点。 SlimTrie中最终Leaf节点会删掉,只留下LeafParent节点。

  • Inner 节点: SlimTrie中的Leaf和LeafParent节点之外的节点。


SlimTrie的生成步骤


我们通过一个例子来看看SlimTrie的生成: 如果一步步将Trie的存储空间压缩, 并在每一步处理后都验证去掉某些部分后, 它仍然满足我们的查询的准确性要求. 然后在这个例子的基础上,给出完整的算法定义。


SlimTrie的生成分为3部分:


1. 先用一个Trie来构建所有key的索引。

2. 在Trie的基础上进行裁剪, 将索引数据的量级从O(n * k)降低到O(n)。

3. 通过3个compacted array来存储整个Trie的数据结构, 将内存开销降低。


1 SlimTrie原始Trie的建立


假设有一组排序的key用来构建索引:”abd”, “abdef”, “abdeg”, “abdfg”, “b123”, “b14”,首先创建一个标准的Trie:

查询遵从标准的Trie的查询流程:


例如从Trie中查询”abdfg”,首先定位到根节点,然后从查询key中取出第1个字符”a”, 在根节点上找到一个匹配的分支”a”,定位到第2层节点”a”,再从被查询的key中取出第2个字符”b”,匹配第2层中节点”a”的分支”b”,依次向下,直到遇到一个Leaf节点,结束查询。


2 SlimTrie的裁剪


基于SlimTrie的设计可以看出: 多分支的SlimTrie节点是关键的 ,单分支的节点对定位一个存在的key没有任何帮助。所以可以针对节点类型,进行几次单分支节点的裁剪。


并且在每次剪裁后,我们会依次展示剪裁过的Trie依旧满足我们设计目标中对查询的功能需要。


LeafParent节点的裁剪


上图中,”abdfg”中的”g”节点不需要保留, 因为存在的key的前缀如果是”abdf”, 它最后1个字符只能是”g”,所以将”abdfg”的”g”去掉。


同理,”b123”中的”3”也去掉。得到裁剪之后的结果:

图中使用正则表达式的风格表示路径:


“.” 代表任意字符; “{1}” 代表1个; ”f.{1}“ 代表f后面越过(Step)一个字符。


剪掉单分支LeafParent节点后依旧满足查询需求:


还以查询key ”abdfg”为例,假设目前定位到节点”abd”,要继续查询key中的字符”f”,发现Trie中有分支”f”,并且”f”之后的可以略过”g”的查询,则查询直接定位到”abdf.”节点,查询结束。


Inner 节点的裁剪


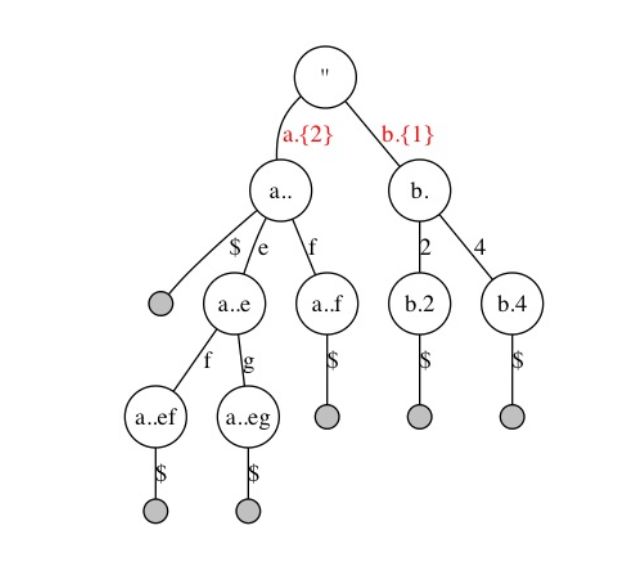
继续观察上图, a分支下的”b”, “d”节点是不需要的, 因为一个存在的key如果以”a”开头, 它的接下来的2个字符一定是”b”, “d”,同样b节点后面去掉1分支,得到第2次 裁剪后的结果:

剪掉单分支Inner节点后依旧满足查询需求:


继续以查询”abdfg”为例,假设开始查询,定位到根节点,要查询key中第1个字符”a“,根节点有1个分支”a”与之匹配,并且可以越过2个字符,此时查询定位到节点”a..”上,并继续查询key的第3个字符”f”,最终也定位到节点”a..f.”上。查询结束。


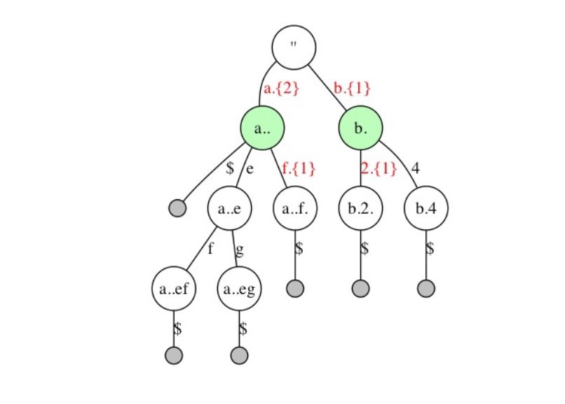
去掉尾部Step


最后,去掉所有单分支LeafParent节点节点后缀,以及指向这个节点的路径的Step数(例如“a..f.”和“b.2.”中尾部被Step掉的字符不需要记录。但同时包含分支的LeafParent节点需要保留Step数,例如“a..”,指向它的分支“a.{2}”中的Step数还必须记录)


去掉LeafParent节点的Step数后 依旧满足查询需求 :


当查询一个存在的key:”abdfg”时,假设定位到了“a..”节点(对应查询字符串中的”abd“),继续查找下一个字符”f“时,因为key”abdfg”是存在于Trie中的,所以被查询的key中f后面剩下的字符数(1个”g“)跟分支“f.{1}”中记录的需要Step掉的字符数一定是相等的,所以当查询到节点”a..f”时,发现它是1个LeafParent节点,则直接略过被查询key中剩余的字符。最终结束查询。


裁剪之后的SlimTrie:


  • 每个节点都有大于1个子节点, 除LeafParent节点之外。

  • SlimTrie的大小跟key的长度无关. 也就是说任意长度的key的集合都可以使用有限大小的SlimTrie来索引: SlimTrie最多有2n-1个节点: 最多节点是出现在所有inner节点都是二分的时候(空间复杂度为O(n))


3 SlimTrie的压缩


现在我们在结构上已经将SlimTrie裁剪到最小, 接下来还要在实现上压缩SlimTrie实际的内存开销。树形结构在内存中多以指针的形式来实现, 但指针在64位系统上占用8个字节, 相当于最差情况下, 内存开销至少为 8*n个字节,这样的内存开销还是太大了,所以我们使用2个约束条件来压缩内存开销:


  • key的个数n:n <2 15;目的是通过id来替代指针,将节点id值限制在16bit内。节点id分配规则是:从根节点开始,逐层向下,按照节点从左到右的顺序编号。

  • 4 bit的word:创建Trie时,将每个长度为k的字符串,视为2 * k个4 bit的word,而不是k个8 bit的byte,作为SlimTrie上节点的单位。这样做的目的是减少分支数量,限制存储分支信息的bitmap的大小。


另外为了更具体的说明这个例子,我们假设value是1个4 byte的记录, 来展示SlimTrie中每个节点对应的信息,其中只有 绿色 是需要记录的, 如下图:

上面的表格中, 因为1个节点”是否leaf“的信息跟”是否有value“是对等的,所以leaf信息不需要记录。而最终的索引需要的 总存储量是:


分支信息 + 子节点位置 + Step 信息 + value


总共小于: 16bit * (n-1) + 16bit * (n-1) + 16bit * (n-1) + 4byte * n;


因此总存储量小于 10 * n byte;其中去掉4 * n 个byte的value信息, 大约每个Key 6字节 。 接下来我们来解释下如何在实现上达成6 字节这个目标:


SlimTrie内部的 数据结构


通过上面的表格我们看到,如果要完整的表达SlimTrie的结构,需要存储4个映射表:


  • uint16 id → uint16 branch

每个节点的分支有哪些; 因为使用了4 bit的word, 所以每个节点最多只有16个分支,每个节点的分支表使用一个16 bit的bitmap存储;


  • uint16 id → uint16 offset

每个节点的第一个子节点id;


  • uint16 id → uint16 step

每个节点被查询到之后需要越过源查询key后面几个word; 因为key的最大长度设定为16 KB,所以step最大是2 * 16 KB =  2 15


  • uint16 id → uint32 value

实际存储的数据,也同时表示了是否是LeafParent节点;


把SlimTrie抽象成这几个映射表后,所需的数据结构 就变得清楚了:


整数作为下标,整数为元素的数组,例如 branch可以定义为 uint16_t branch[n]。但是,并不是每个节点id都存在分支,这个数组中很多位置是空的。如果用数组来保存会造成一半的空间浪费(Inner节点数量最多只占一半)。所以我们需要一个更加紧凑的数据结构来保存这几个映射表,这里我们引入了一个数据结构:compacted array。


compacted array:压缩数组


compacted array类似数组,但不为 不存在 的数组元素分配空间。在实现上,为了标识空的数组元素,使用了1个bitmap,虽然每个要存储的信息平均多分配了1个bit,但整体空间开销非常接近于我们的预期。


使用压缩数组来保存SlimTrie的逻辑结构, 压缩数组用来保存最大大小不超过2 16 个条目的信息,首先定义压缩数组的结构:

因为我们使用16 bit的id代替指针, 这就要求每个组里的节点(node)数量不能超过65536(2 16),由于SlimTrie生成时会产生至多 n-1 个中间节点(在满二叉的情况下总结点数是 2n-1), 所以我们需要限制每个组的原始数据条目数n 小于2 15 =3 2768。


compacted array的内存额外开销


除了数据items数组之外,每个compacted array的额外数据包括:


4个 uint16 的成员属性,以及跟元素总数相关的bitmap 和 offset,分别占(n / 64) * 8 byte 和 (n / 64) * 2 byte;


于是每个compacted array的总的内存额外开销是 (0.15 * n + 8) byte;


到这里,可以近似认为SlimTrie的空间开销是(6 * 1.15 * n + 24) byte。


对于SlimTrie,我们只需要3个compacted array来保存其结构:内部节点(inners),用户数据(LeafParent)和Step信息:


inners数组:

inners的每个元素是4 byte, 其中2 byte是一个bitmap来保存最多15个子节点的branch. 另外一个2 byte的uint16表示它第一个子节点id(offset),因为一个节点的所有子节点id是连续的,所以只需要保存第一个子节点。


在访问SlimTrie时, branch_bitmap和第一个子节点的id(offset),几乎所有的情况下都需要同时对其访问,因此把他们放到一个compacted array中,减少compacted array查询的次数(虽然查询开销不大,但我们也非常关注每个点的优化!)。


LeafParent数组:

LeafParent的一个item保存4 byte的用户数据value 。


Step数组:

Step数组中的每个元素是单分支节点裁剪掉的节点数,使用一个2 btye的uint16表示。


最终SlimTrie的所有信息在内存中的组织方式如下:


内存开销分析

假设 :


  • 共有n个key,也就是LeafParent节点(或value)的个数;

  • 每个value是4字节 ;

  • 至多存在n - 1个Inner节点;(全二分时最多)

  • 并且Step 只存在于指向Inner节点的分支,因此最多也是n - 1个;


再考虑compacted array的额外开销,最终整体的内存开销如下:


在存储系统 中使用SlimTrie作为数据索引的场景里, 如果用 32G内存, 大约可以索引32亿个文件。


SlimTrie的查询实现


SlimTrie的查询类似于普通Trie的查询,在创建过程中已经逐步描述了查询在裁剪之后的Trie中的处理方式, 现在将整个过程统一用下面这个c语法的伪代码来描述查询过程,其中几个函数get_value,get_branches,get_step实际上会通过compacted array的"get"操作来访问SlimTrie的3个映射表来实现。


其中src是1个4 bit word的数组:

索引合并优化


到目前为止索引的空间利用率已经非常高了,但是,它还是一个不安全的设计!因为它没有给出一个最坏情况保证:如果文件超过32亿个怎么办?如果出现了超出的情况,最好的结果恐怕也是内存开始使用swap,系统反应变慢3个数量级。


因此我们需要对算法给出一个稳定下界,妥善处理超多文件的情况, 所以可以在准确度和内存开销方面做一个折中:这里有一个假设是, 磁盘的一次IO, 开销是差不多的, 跟这次IO的读取的数据量大小关系不大,所以可以在一次IO中读取更多的数据来有效利用IO :


对一个存在的key, 我们的索引将返回一个磁盘上的offset, 我们一定可以在这个offset和之后的64KB的磁盘空间上找到这个文件,也就是说, 我们的索引不允许索引过小的文件, 只将文件的位置定位到误差64KB的范围内。


最差情况是全部文件都是小文件(例如10K, 1K), 这时索引个数 = 100T / 64KB =~ 20亿条。按照每条索引10 字节计算,需要20GB内存空间。


SlimTrie索引的内存开销测试


首先我们用一个基本的实验来证明我们实现的内存开销和上文说到的理论是相符的。实验选取Hash 类数据结构的map 和 Tree 类数据结构的B-Tree 与 SlimTrie 做对比,计算在同等条件下,各个数据结构建立索引所占用的内存空间。


实验在go语言环境下进行,map 使用 golang 的 map 实现,B-Tree使用Google的BTree implementation for Go ( https://github.com/google/btree ) 。 key 和 value 都是 string 类型(我们更多关心它的大小而不是类型)。实验的结果数据如下 :


上图中可以看到:


  1. SlimTrie 作为索引在内存的节省上碾压 map 和 B-Tree。

  2. SlimTrie 作为索引其内存占用的决定因素是 key的数量,与key的大小无关。


SlimTrie 作为Key-Value map的内存开销测试


看过以上比较,SlimTrie 似乎胜得过于轻松,其根本原因是 SlimTrie “开挂” 似地缩减了索引的 key 的空间。这一点上面也提到了,SlimTrie 作为索引有一个前提约束是,索引只提供完整的 value 信息而不提供 key 的信息。这一点在作为数据定位的索引时,是可以接受的,也正是因为这一点 SlimTrie 在和 map 的内存占用比较中得以大获全胜。


现在如果抛开 “索引” 这个用处,在通用场景下,让SlimTrie作为索引, 同时也记录完整的key的信息, 将他实现为一个通用的key-value map, 看看 SlimTrie 这个数据结构的性能。这里需要将 key + value 当做 SlimTrie 的一个 value 去使用就可以做到。


此次试验,我们同样选取了几组 key 和 value 的大小,在 同之前一样的 go 语言环境下进行了测试,SlimTrie 的 value 是这样一个结构:

因为这次测试所有的数据结构都保存了完整的key和value信息,所以我们只看memory overhead(除了key, value本身数据之外, 额外需要的空间)。测试得到的数据,见下面的图表:

两者进行对比,可以明显看出,SlimTrie 所占用的空间额外开销仍然远远小于 map 和 B-Tree 所占的内存,在 map 和 btree 中, 每个 key 能够节省大约 50 Byte, 而SlimTrie是6字节左右 .


SlimTrie的查询性能测试


内存占用空间大获全胜之后,我们还对 SlimTrie 的查询进行了测试,同时与 map 、Btree 进行了比较。在与内存测试相同的go语言环境下进行实验。为了公平也同样对比的是SlimTrie实现的key-value map跟 golang map, btree的性能对比.


存在的 key 的查询效率对比

越小越优:

不存在的 key 的查询效率对比

越小越优:

可以看出 SlimTrie 的查询效率与 无序的hash类型的Map 相比有差距, 但对比同样是保持了顺序性的btree相比, 性能是Btree的 2.6倍 左右.


查询时间随k和n的变化

另一方面,在上图中,我们也能够看到,SlimTrie 的实际查询的耗时在 150ns 左右,加上优秀的空间占用优化,作为存储系统的索引依然有非常强的竞争力。


内存开销随k和n的变化

上图中我们可以看出, 不论是随着key的数量增大或是key的长度变长, 单条索引的内存开销都非常稳定地保持在6~7个字节范围内。


总结


SlimTrie 为未来而生。当下信息爆炸增长,陈旧的索引模式已无法适应海量数据新环境,存储系统海量数据的元信息管理面临巨大挑战,而SlimTrie 提供了一个全新的解决方法,为海量存储系统带来一丝曙光,为云存储拥抱海量数据时代注入了强大动力,让我们看到了未来的无限可能。


作为索引,SlimTrie 的优势巨大,可以在10GB内存中建立1PB数据量的索引,空间节约惊人,令以往的索引结构望尘莫及;时间消耗上,SlimTrie 的查找性能与 sorted Array 接近,超过经典的B-Tree。抛下索引这个身份,SlimTrie 在各项性能方面表现依旧不俗,作为一个通用 Key-Value 的数据结构,内存额外开销仍远远小于经典的 map 和 Btree 。


SlimTrie 不仅为我们解决了眼前的困境,也让我们看到了未来的可能。它的成功不会停下我们开拓的脚步,这只是个开始,还远没有结束。


参考链接:


1. https://openacid.github.io/tech/algorithm/slimtrie-design

2. https://github.com/openacid/slim (项目地址)


本文作者李文博,吴义谱、张炎泼对本文亦有贡献。转载本文请注明出处,GIAC全球互联网架构大会深圳站将于2019年6月举行,届时将有系统优化等专题深入探讨相关话题,敬请期待。


参考阅读:



技术原创及架构实践文章,欢迎通过公众号菜单「联系我们」进行投稿。转载请注明来自高可用架构「ArchNotes」微信公众号及包含以下二维码。


高可用架构

改变互联网的构建方式


长按二维码 关注「高可用架构」公众号

登录查看更多
2

相关内容

【2020新书】实战R语言4,323页pdf
专知会员服务
102+阅读 · 2020年7月1日
【资源】100+本免费数据科学书
专知会员服务
108+阅读 · 2020年3月17日
【2020新书】Kafka实战:Kafka in Action,209页pdf
专知会员服务
69+阅读 · 2020年3月9日
《代码整洁之道》:5大基本要点
专知会员服务
50+阅读 · 2020年3月3日
滴滴离线索引快速构建FastIndex架构实践
InfoQ
21+阅读 · 2020年3月19日
工行基于MySQL构建分布式架构的转型之路
炼数成金订阅号
15+阅读 · 2019年5月16日
最全Python算法实现资源汇总!
AI100
3+阅读 · 2019年5月13日
专访阿里亚顿:Serverless与BFF与前端
前端之巅
45+阅读 · 2019年5月8日
数据库之架构:主备+分库?主从+读写分离?
架构文摘
8+阅读 · 2019年4月23日
OLAP引擎这么多,为什么苏宁选择用Druid?
51CTO博客
12+阅读 · 2018年12月20日
基于大数据搭建社交好友推荐系统
云栖社区
8+阅读 · 2018年2月2日
一篇文章读懂阿里企业级数据库最佳实践
阿里巴巴数据库技术
5+阅读 · 2017年12月20日
Spark的误解-不仅Spark是内存计算,Hadoop也是内存计算
Mesh R-CNN
Arxiv
4+阅读 · 2019年6月6日
Arxiv
13+阅读 · 2019年4月9日
Exploring Visual Relationship for Image Captioning
Arxiv
15+阅读 · 2018年9月19日
Arxiv
13+阅读 · 2018年1月11日
Arxiv
3+阅读 · 2012年11月20日
VIP会员
相关VIP内容
【2020新书】实战R语言4,323页pdf
专知会员服务
102+阅读 · 2020年7月1日
【资源】100+本免费数据科学书
专知会员服务
108+阅读 · 2020年3月17日
【2020新书】Kafka实战:Kafka in Action,209页pdf
专知会员服务
69+阅读 · 2020年3月9日
《代码整洁之道》:5大基本要点
专知会员服务
50+阅读 · 2020年3月3日
相关资讯
滴滴离线索引快速构建FastIndex架构实践
InfoQ
21+阅读 · 2020年3月19日
工行基于MySQL构建分布式架构的转型之路
炼数成金订阅号
15+阅读 · 2019年5月16日
最全Python算法实现资源汇总!
AI100
3+阅读 · 2019年5月13日
专访阿里亚顿:Serverless与BFF与前端
前端之巅
45+阅读 · 2019年5月8日
数据库之架构:主备+分库?主从+读写分离?
架构文摘
8+阅读 · 2019年4月23日
OLAP引擎这么多,为什么苏宁选择用Druid?
51CTO博客
12+阅读 · 2018年12月20日
基于大数据搭建社交好友推荐系统
云栖社区
8+阅读 · 2018年2月2日
一篇文章读懂阿里企业级数据库最佳实践
阿里巴巴数据库技术
5+阅读 · 2017年12月20日
Spark的误解-不仅Spark是内存计算,Hadoop也是内存计算
相关论文
Top
微信扫码咨询专知VIP会员