“让Keras更酷一些!”:分层的学习率和自由的梯度

2019 年 3 月 13 日 PaperWeekly


作者丨苏剑林

单位丨广州火焰信息科技有限公司

研究方向丨NLP,神经网络

个人主页丨kexue.fm


高举“让 Keras 更酷一些!”大旗,让 Keras 无限可能。


今天我们会用 Keras 做到两件很重要的事情:分层设置学习率灵活操作梯度。 


首先是分层设置学习率,这个用途很明显,比如我们在 fine tune 已有模型的时候,有些时候我们会固定一些层,但有时候我们又不想固定它,而是想要它以比其他层更低的学习率去更新,这个需求就是分层设置学习率了。


对于在 Keras 中分层设置学习率,网上也有一定的探讨,结论都是要通过重写优化器来实现。显然这种方法不论在实现上还是使用上都不友好。 


然后是操作梯度。操作梯度一个最直接的例子是梯度裁剪,也就是把梯度控制在某个范围内,Keras 内置了这个方法。但是 Keras 内置的是全局的梯度裁剪,假如我要给每个梯度设置不同的裁剪方式呢?甚至我有其他的操作梯度的思路,那要怎么实施呢?不会又是重写优化器吧? 


本文就来为上述问题给出尽可能简单的解决方案。


分层的学习率


对于分层设置学习率这个事情,重写优化器当然是可行的,但是太麻烦。如果要寻求更简单的方案,我们需要一些数学知识来指导我们怎么进行。 


参数变换下的优化


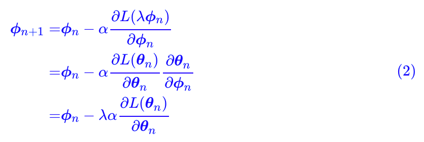
首先我们考虑梯度下降的更新公式:



其中 L 是带参数 θ 的 loss 函数,α 是学习率,是梯度,有时候我们也写成。记号是很随意的,关键是理解它的含义。


然后我们考虑变换 θ=λϕ,其中 λ 是一个固定的标量,ϕ 也是参数。现在我们来优化 ϕ,相应的更新公式为:



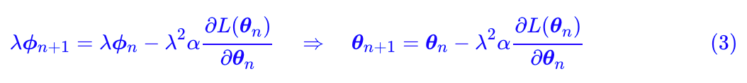
其中第二个等号其实就是链式法则。现在我们在两边乘上 λ,得到:



对比 (1) 和 (3),大家能明白我想说什么了吧:


在 SGD 优化器中,如果做参数变换 θ=λϕ,那么等价的结果是学习率从 α 变成了


不过,在自适应学习率优化器(比如 RMSprop、Adam 等),情况有点不一样,因为自适应学习率使用梯度(作为分母)来调整了学习率,抵消了一个 λ,从而(请有兴趣的读者自己推导一下):


在 RMSprop、Adam 等自适应学习率优化器中,如果做参数变换 θ=λϕ,那么等价的结果是学习率从 α 变成了 λα。


移花接木调整学习率


有了前面这两个结论,我们就只需要想办法实现参数变换,而不需要自己重写优化器,来实现逐层设置学习率了。 


实现参数变换的方法也不难,之前我们在《 “让Keras更酷一些!”:随意的输出和灵活的归一化》[1] 一文讨论权重归一化的时候已经讲过方法了。因为 Keras 在构建一个层的时候,实际上是分开了 build call 两个步骤,我们可以在 build 之后插一些操作,然后再调用 call 就行了。 


下面是一个封装好的实现:


import keras.backend as K

class SetLearningRate:
    """层的一个包装,用来设置当前层的学习率
    """


    def __init__(self, layer, lamb, is_ada=False):
        self.layer = layer
        self.lamb = lamb # 学习率比例
        self.is_ada = is_ada # 是否自适应学习率优化器

    def __call__(self, inputs):
        with K.name_scope(self.layer.name):
            if not self.layer.built:
                input_shape = K.int_shape(inputs)
                self.layer.build(input_shape)
                self.layer.built = True
                if self.layer._initial_weights is not None:
                    self.layer.set_weights(self.layer._initial_weights)
        for key in ['kernel''bias''embeddings''depthwise_kernel''pointwise_kernel''recurrent_kernel''gamma''beta']:
            if hasattr(self.layer, key):
                weight = getattr(self.layer, key)
                if self.is_ada:
                    lamb = self.lamb # 自适应学习率优化器直接保持lamb比例
                else:
                    lamb = self.lamb**0.5 # SGD(包括动量加速),lamb要开平方
                K.set_value(weight, K.eval(weight) / lamb) # 更改初始化
                setattr(self.layer, key, weight * lamb) # 按比例替换
        return self.layer(inputs)


使用示例:


x_in = Input(shape=(None,))
x = x_in

# 默认情况下是x = Embedding(100, 1000, weights=[word_vecs])(x)
# 下面这一句表示:后面将会用自适应学习率优化器,并且Embedding层以总体的十分之一的学习率更新。
# word_vecs是预训练好的词向量
x = SetLearningRate(Embedding(1001000, weights=[word_vecs]), 0.1True)(x)

# 后面部分自己想象了~
x = LSTM(100)(x)

model = Model(x_in, x)
model.compile(loss='mse', optimizer='adam'# 用自适应学习率优化器优化


几个注意事项:


1. 目前这种方式,只能用于自己动手写代码来构建模型的时候插入,无法对建立好的模型进行操作;


2. 如果有预训练权重,有两种加载方法。第一种是像刚才的使用示例一样,在定义层的时候通过 weights 参数传入;第二种方法是建立好模型后(已经在相应的地方插入好 SetLearningRate),用 model.set_weights (weights) 来赋值,其中 weights 是“在 SetLearningRate 的位置已经被除以了 λ 或的原来模型的预训练权重”;


3. 加载预训练权重的第二种方法看起来有点不知所云,但如果你已经理解了这一节的原理,那么应该能知道我在说什么。因为设置学习率是通过 weight * lamb 来实现的,所以 weight 的初始化要变为 weight / lamb


4. 这个操作基本上不可逆,比如你一开始设置了 Embedding 层以总体的 1/10 比例的学习率来更新,那么很难在这个基础上,再将它改为 1/5 或者其他比例。(当然,如果你真的彻底搞懂了这一节的原理,并且也弄懂了加载预训练权重的第二种方法,那么还是有办法的,那时候相信你也能搞出来);

 

5. 这种做法有以上限制,是因为我们不想通过修改或者重写优化器的方式来实现这个功能。如果你决定要自己修改优化器,请参考《“让Keras更酷一些!”:小众的自定义优化器》[2]


自由的梯度操作


在这部分内容中,我们将学习对梯度的更为自由的控制。这部分内容涉及到对优化器的修改,但不需要完全重写优化器。 


Keras优化器的结构


要修改优化器,必须先要了解 Keras 优化器的结构。在《“让Keras更酷一些!”:小众的自定义优化器》[2] 一文我们已经初步看过了,现在我们重新看一遍。 


Keras 优化器代码:


https://github.com/keras-team/keras/blob/master/keras/optimizers.py 


随便观察一个优化器,就会发现你要自定义一个优化器,只需要继承 Optimizer 类,然后定义 get_updates 方法。但本文我们不想做新的优化器,只是想要对梯度有所控制。可以看到,梯度的获取其实是在父类 Optimizer get_gradients 方法中: 


    def get_gradients(self, loss, params):
        grads = K.gradients(loss, params)
        if None in grads:
            raise ValueError('An operation has `None` for gradient. '
                             'Please make sure that all of your ops have a '
                             'gradient defined (i.e. are differentiable). '
                             'Common ops without gradient: '
                             'K.argmax, K.round, K.eval.')
        if hasattr(self, 'clipnorm'and self.clipnorm > 0:
            norm = K.sqrt(sum([K.sum(K.square(g)) for g in grads]))
            grads = [clip_norm(g, self.clipnorm, norm) for g in grads]
        if hasattr(self, 'clipvalue'and self.clipvalue > 0:
            grads = [K.clip(g, -self.clipvalue, self.clipvalue) for g in grads]
        return grads


其中方法中的第一句就是获取原始梯度的,后面则提供了两种梯度裁剪方法。不难想到,只需要重写优化器的 get_gradients 方法,就可以实现对梯度的任意操作了,而且这个操作不影响优化器的更新步骤(即不影响 get_updates 方法)。 


处处皆对象:覆盖即可


怎么能做到只修改 get_gradients 方法呢?这得益于 Python 的哲学——“处处皆对象”。Python 是一门面向对象的编程语言,Python 中几乎你能碰到的一切变量都是一个对象。我们说 get_gradients 是优化器的一个方法,也可以说 get_gradients 的一个属性(对象),既然是属性,直接覆盖赋值即可。 


我们来举一个最粗暴的例子(恶作剧):


def our_get_gradients(loss, params):
    return [K.zeros_like(p) for p in params]

adam_opt = Adam(1e-3)
adam_opt.get_gradients = our_get_gradients

model.compile(loss='categorical_crossentropy',
              optimizer=adam_opt)


其实这样做的事情很无聊,就是把所有梯度置零了(然后你怎么优化它都不动了),但这个恶作剧例子已经足够有代表性了——你可以将所有梯度置零,你也可以将梯度做任意你喜欢的操作。比如将梯度按照 l1 范数而非 l2 范数裁剪,又或者做其他调整。


假如我只想操作部分层的梯度怎么办?那也简单,你在定义层的时候需要起一个能区分的名字,然后根据 params 的名字做不同的操作即可。都到这一步了,我相信基本是“一法通,万法皆通”的了。


飘逸的Keras


也许在很多人眼中,Keras 就是一个好用但是封装得很“死”的高层框架,但在我眼里,我只看到了它无限的灵活性——那是一个无懈可击的封装


相关链接


[1] https://kexue.fm/archives/6311

[2] https://kexue.fm/archives/5879




点击以下标题查看作者其他文章: 





#投 稿 通 道#

 让你的论文被更多人看到 



如何才能让更多的优质内容以更短路径到达读者群体,缩短读者寻找优质内容的成本呢? 答案就是:你不认识的人。


总有一些你不认识的人,知道你想知道的东西。PaperWeekly 或许可以成为一座桥梁,促使不同背景、不同方向的学者和学术灵感相互碰撞,迸发出更多的可能性。 


PaperWeekly 鼓励高校实验室或个人,在我们的平台上分享各类优质内容,可以是最新论文解读,也可以是学习心得技术干货。我们的目的只有一个,让知识真正流动起来。


📝 来稿标准:

• 稿件确系个人原创作品,来稿需注明作者个人信息(姓名+学校/工作单位+学历/职位+研究方向) 

• 如果文章并非首发,请在投稿时提醒并附上所有已发布链接 

• PaperWeekly 默认每篇文章都是首发,均会添加“原创”标志


📬 投稿邮箱:

• 投稿邮箱:hr@paperweekly.site 

• 所有文章配图,请单独在附件中发送 

• 请留下即时联系方式(微信或手机),以便我们在编辑发布时和作者沟通




🔍


现在,在「知乎」也能找到我们了

进入知乎首页搜索「PaperWeekly」

点击「关注」订阅我们的专栏吧



关于PaperWeekly


PaperWeekly 是一个推荐、解读、讨论、报道人工智能前沿论文成果的学术平台。如果你研究或从事 AI 领域,欢迎在公众号后台点击「交流群」,小助手将把你带入 PaperWeekly 的交流群里。


▽ 点击 | 阅读原文 | 查看作者博客

登录查看更多
0

相关内容

【ICML2020】持续图神经网络,Continuous Graph Neural Networks
专知会员服务
151+阅读 · 2020年6月28日
【ICLR2020】图神经网络与图像处理,微分方程,27页ppt
专知会员服务
48+阅读 · 2020年6月6日
【CMU】深度学习模型中集成优化、约束和控制,33页ppt
专知会员服务
46+阅读 · 2020年5月23日
【CVPR2020】MSG-GAN:用于稳定图像合成的多尺度梯度GAN
专知会员服务
29+阅读 · 2020年4月6日
【Nature论文】深度网络中的梯度下降复杂度控制
专知会员服务
41+阅读 · 2020年3月9日
专知会员服务
45+阅读 · 2020年3月6日
【模型泛化教程】标签平滑与Keras, TensorFlow,和深度学习
专知会员服务
21+阅读 · 2019年12月31日
从动力学角度看优化算法:自适应学习率算法
PaperWeekly
8+阅读 · 2018年12月27日
已删除
将门创投
10+阅读 · 2018年5月2日
算法优化|梯度下降和随机梯度下降 — 从0开始
全球人工智能
8+阅读 · 2017年12月25日
如何找到最优学习率?
AI研习社
11+阅读 · 2017年11月29日
深度学习超参数简单理解
计算机视觉战队
4+阅读 · 2017年11月28日
干货|代码原理教你搞懂SGD随机梯度下降、BGD、MBGD
机器学习研究会
12+阅读 · 2017年11月25日
【教程】如何估算深度神经网络的最优学习率
GAN生成式对抗网络
5+阅读 · 2017年11月18日
教程 | 如何估算深度神经网络的最优学习率
机器之心
3+阅读 · 2017年11月17日
Arxiv
4+阅读 · 2019年12月2日
Arxiv
7+阅读 · 2019年5月31日
Multi-task Deep Reinforcement Learning with PopArt
Arxiv
4+阅读 · 2018年9月12日
Arxiv
19+阅读 · 2018年3月28日
VIP会员
相关资讯
从动力学角度看优化算法:自适应学习率算法
PaperWeekly
8+阅读 · 2018年12月27日
已删除
将门创投
10+阅读 · 2018年5月2日
算法优化|梯度下降和随机梯度下降 — 从0开始
全球人工智能
8+阅读 · 2017年12月25日
如何找到最优学习率?
AI研习社
11+阅读 · 2017年11月29日
深度学习超参数简单理解
计算机视觉战队
4+阅读 · 2017年11月28日
干货|代码原理教你搞懂SGD随机梯度下降、BGD、MBGD
机器学习研究会
12+阅读 · 2017年11月25日
【教程】如何估算深度神经网络的最优学习率
GAN生成式对抗网络
5+阅读 · 2017年11月18日
教程 | 如何估算深度神经网络的最优学习率
机器之心
3+阅读 · 2017年11月17日
Top
微信扫码咨询专知VIP会员