数据分析师应该知道的16种回归方法:负二项回归

2018 年 9 月 16 日 数萃大数据

本篇分享这个系列的第二种计数回归方法:负二项回归。同泊松计数回归不同是,在负二项回归中假设方差大于均值,这种情形为通常称为过度离散(overdispersion),相反,若方差小于均值,称之为低扩散(underdispersion)。负二项回归可以有效地对过离散数据建模,下节要讲的准泊松回归可以对这两种分散问题建模。下面先简单介绍负二项回归的相关理论,然后给出具体案例。


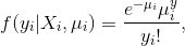
对于观测数据,若采用泊松回归,则有

在负二项回归中,我们假定

其中表示不可观测的随机效应,与回归自变量相互独立。此时,下服从条件均值和条件方差都为的泊松分布,即

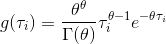
的概率密度函数,则

对于上述积分,为得到解析表达式,在传统的负二项回归中,通常假设,则

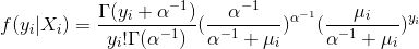
将上式带入(1),可得如下负二项分布

其中。此负二项分布的条件均值为

条件方差分别为

易见,这个负二项回归模型的方差为均值的二次函数,因此也被称为NB2模型。当时,NB2模型退化为泊松回归模型。负二项回归的系数可通过牛顿迭代法获得,在R中利用MASS包的glm.nb函数求取。最后一个问题,对于计数型数据集,如何判断它是否过度离散。因为在NB2中

而在泊松回归中均值和方差相等,因此只需判断是否等于0,可通过R中的AER::dispersiontest函数实现。具体的推导过程可参见Cameron和Trivedi在1990对这一问题的论述。


案例

MASS包中的quie数据集描述了新南威尔士农村学校旷课情况,该数据集记录146个学生的宗教信仰(Eth), 性别(Sex),年龄(Age) ,学习状态(Lrn),旷课天数(Days)五个指标。我们想通过这一数据集合研究旷课天数与其他因素之间的关系。

  
  
    
  1. library(MASS)

  2. library(AER)

  3. library(COUNT)

首先检查数据是否过度离散,先进行泊松回归,然后使用dispersiontest函数对泊松回归结果进行检测,看alpha是否大于0,注意需设置dispersiontest函数中的trafo=1,否则认为alpha大于1过离散。

  
  
    
  1. po <- glm(Days ~ Sex+Age + Eth +Lrn, data = quine,

  2.             family=poisson)

  3. dispersiontest(po,trafo=1)

过离散测试中alpha=11.53013,因此泊松回归不能有效反映这组数据真实特征,下面采用负二项回归研究这组数据

  
  
    
  1. nb <- glm.nb(Days ~ Sex+Age + Eth + Lrn, data = quine)

  2. list(nb=unlist(modelfit(nb)),po=unlist(modelfit(po)))

结果表明,对于quie数据集,在各项指标下,负二项回归都远比泊松回归好。


推荐阅读

数据分析师应该知道的16种回归方法:泊松回归

据分析师应该知道的16种回归方法:定序回归

reticulate: R interface to Python

谈谈大数据的那点事 (12)——如何理解大数据和分析大数据

从零开始深度学习第10讲:三维卷积、池化与全连接

R语言做并行爬虫(案例说明)

R语言爬虫常用方法总结(以案例说明)

使用jupyter notebook搭建数据科学最佳交互式环境


长按二维码关注“数萃大数据”

登录查看更多
74

相关内容

【实用书】学习用Python编写代码进行数据分析,103页pdf
专知会员服务
198+阅读 · 2020年6月29日
【经典书】Python数据数据分析第二版,541页pdf
专知会员服务
197+阅读 · 2020年3月12日
一文读懂线性回归、岭回归和Lasso回归
CSDN
34+阅读 · 2019年10月13日
数据分析师应该知道的16种回归技术:弹性网络回归
数萃大数据
91+阅读 · 2018年8月16日
LASSO回归与XGBoost:融合模型预测房价
论智
32+阅读 · 2018年8月8日
数据分析师应该知道的16种回归技术:分位数回归
数萃大数据
29+阅读 · 2018年8月8日
机器学习者都应该知道的五种损失函数!
数盟
5+阅读 · 2018年6月21日
线性回归:简单线性回归详解
专知
12+阅读 · 2018年3月10日
从逻辑回归到最大熵模型
夕小瑶的卖萌屋
4+阅读 · 2017年7月11日
回归预测&时间序列预测
GBASE数据工程部数据团队
44+阅读 · 2017年5月17日
Bivariate Beta LSTM
Arxiv
6+阅读 · 2019年10月7日
A Probe into Understanding GAN and VAE models
Arxiv
9+阅读 · 2018年12月13日
q-Space Novelty Detection with Variational Autoencoders
Feature Selection Library (MATLAB Toolbox)
Arxiv
7+阅读 · 2018年8月6日
VIP会员
相关资讯
一文读懂线性回归、岭回归和Lasso回归
CSDN
34+阅读 · 2019年10月13日
数据分析师应该知道的16种回归技术:弹性网络回归
数萃大数据
91+阅读 · 2018年8月16日
LASSO回归与XGBoost:融合模型预测房价
论智
32+阅读 · 2018年8月8日
数据分析师应该知道的16种回归技术:分位数回归
数萃大数据
29+阅读 · 2018年8月8日
机器学习者都应该知道的五种损失函数!
数盟
5+阅读 · 2018年6月21日
线性回归:简单线性回归详解
专知
12+阅读 · 2018年3月10日
从逻辑回归到最大熵模型
夕小瑶的卖萌屋
4+阅读 · 2017年7月11日
回归预测&时间序列预测
GBASE数据工程部数据团队
44+阅读 · 2017年5月17日
Top
微信扫码咨询专知VIP会员