懂一点物理的人工智能

2019 年 12 月 5 日 PaperWeekly


作者丨庞龙刚

单位丨UC Berkeley博士后

研究方向丨高能核物理、人工智能


前段时间写了篇文章推介机器人动力学中的深度拉格朗日网络,得到出奇多的点赞。后来想起来,这应该是我第三次见到类似的研究。这类研究有个共同的名字——懂物理的深度学习。英文为 Physics Informed Deep Learning 或者叫 Physics-guided deep learning。 


前两次见到是在劳伦斯伯克利国家实验室。第一次是 Northeastern University 的 Rose Yu 女士到实验室给报告,介绍如何使用深度神经网络替换掉物理模型中的一个子模块,从而可以对各种地形预测无人机马达与环境之间形成的湍流干扰,使得无人机近地起飞和降落时更加稳定。第二次是 Brown University 的陆路博士在 Machine Learning for Science 会议上以海报的形式展示了他们的 DeepXDE 库,这个库使用深度神经网络数值求解偏微分方程,这种方法里,微分方程已知,初始条件,边界条件已知,目标是求解一个方程让它满足所有这些条件。


DeepXDE 使用神经网络来近似偏微分方程的解,其中 θ 是网络参数,时间 t,坐标是网络的输入。优化目标是最小化对待求方程,初始条件和边界条件的破坏程度。机器人动力学中的深度拉格朗日网络更接近 Rose Yu 的那个报告,即用深度神经网络替换物理模型中无解析解(甚至无数值解)的那部分,使得物理模型更健壮。 


这篇文章介绍一下 Physics Informed Deep Learning 的原始文献随机抽选的文章,看一下这类研究的方式以及可能的应用场景。


Physics Informed Deep Learning


这篇文章 [1] [2] 提出两个动机:1)使用数据驱动的方法得到偏微分方程解;2)数据驱动定偏微分方程各项的系数。


这两个动机完美的体现在使用神经网络求解 Burgers 方程的例子中。Burgers 方程在流体力学,非线性声学,气体动力学和交通流中有很多应用场景。对应 NS 方程无压强梯度时流速满足的方程。剪切粘滞很小时,导致激波产生,数值解比较难。方程形式如下:



这个方程里的解是 u(t,x),函数形式未知。是 u 对时间 t 的一阶微分,分别是 u 对坐标 x 的一阶与二阶微分。Burgers 方程的系数与系统的耗散有关。 


Physics Informed Neural Network 是如下这个函数 f:



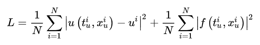
使用神经网络来近似方程的解 u(t,x,θ),而这个解又满足 Burgers 方程。所以这里类似有两个神经网络,外层神经网络有两个参数内层神经网络参数是 θ训练目标是最小化如下损失函数:



其中第一项要重现测量到的数据,第二项学习 Burgers 方程的系数 


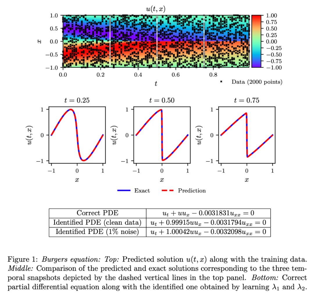
下方是训练结果。第一行是测量到的高噪声训练数据。第二行是神经网络预测值与精确解的对比。表格第一行是 Burgers 方程的精确形式,第二行是用干净数据约束出的 Burgers 方程的,第三行是用加入 1% 噪声的数据约束出的 Buregers 方程。



在这篇文章里,偏微分方程的形式已知,解的物理测量已知,解析解未知,系数未知,神经网络通过监督学习得到了近似的解析解和偏微分方程的系数。 


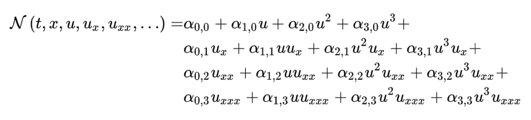
在随后的一篇文章中 [3],作者进一步放松限制,假设偏微分方程形式未知,通过 L1 正规化(sparse regression) 来敲掉系数为零的微分算子。其假设的偏微分方程形式如下:



Deep Galerkin Method [7]


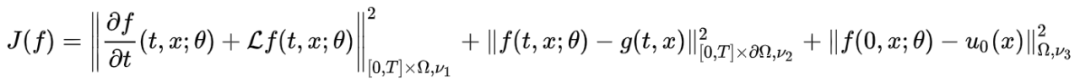
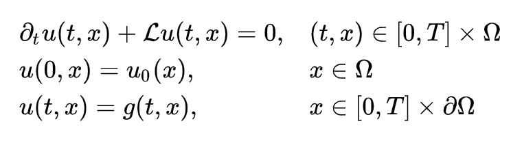
之前的方法是通过测量值来约束 u 和偏微分方程的系数,属于监督学习。在参考文献 [7] 中,作者使用了非监督学习。问题是使用神经网络求如下偏微分方程的解:



上述三行方程中,第一行是偏微分方程,第二行是初始条件 (t=0),第三行是边界条件 (∂Ω)。时间 t 的范围是 [0, T] ,坐标 x 的范围是 Ω。神经网络近似解 f(t,x,θ) 由最小化如下误差函数得到:



也就是之前描述的,神经网络近似解要(1)满足方程本身(2)满足边界条件 (3)满足初始条件。 


这篇文章强调的一个创新是 mesh-free。这在解高维偏微分方程的时候非常重要,因为假设一个方向的 mesh 有 100 个格子,3 维空间就有 100 万个格子,更高维的时候格子数爆炸性增长。 


如果使用梯度下降,计算 J(f) 要对整个时间,空间积分,基本不可能。如果使用深度学习训练时的随机梯度下降,则可以每次抽样一批随机坐标,分批次的更新神经网络参数 θ。 


注意,损失函数中和 Lf(t,x;θ) 中的一阶微分项都可以用 Tensorflow 或 Pytorch 的自动微分完成。而二阶微分计算起来比较耗时,本文用蒙特卡洛方法近似,详细情况读论文。 


虽然这篇文章起名叫 Deep Galerkin Method 方法,但其实跟 Galerkin 没什么关系。我所了解的 Galerkin 类似于有限元算法,在非常大的格子与时间步长上,对偏微分方程的解用一些正交函数展开,来近似坐标依赖和时间依赖。


个人思考


Deep Galerkin Method 或 DeepXDE 能够给出复杂偏微分方程的近似解,通过这个解对方程,边界条件和初始条件的破坏,能够判断神经网络近似的程度有多高。在这种情况下,新的基于神经网络的方法应该可以用来验证传统方法的数值误差,比如因差分近似带来的数值粘滞等。我看到同时求解爱因斯坦场方程,麦克斯韦方程,流体力学方程来描述中子星融合释放引力波的曙光。这种方法可能是所有数值解里最简单直接暴力的方法了。 


当然,这种解偏微分方程的方法,训练一次应该只对一个特定的初始条件有效。像我们做相对论流体力学,每次都要从一个不同的初始条件出发,观察系统的演化,应该需要将这种方法进一步改进。 


下面参考文献的最后两篇,一篇做无人机径迹的非线性控制,一篇解机器人动力学中的逆问题,都是 Physics Informed Deep Learning 极好的应用场景。


参考文献


[1] Physics Informed Deep Learning (Part I): Data-driven Solutions of Nonlinear Partial Differential Equations, 2017, Maziar Raissi,Paris Perdikaris,George Em Karniadakis
[2] Physics Informed Deep Learning (Part II): Data-driven Solutions of Nonlinear Partial Differential Equations, 2017, Maziar Raissi,Paris Perdikaris,George Em Karniadakis 
[3] Deep Hidden Physics Models: Deep Learning of Nonlinear Partial Differential Equations, 2018, Maziar Raissi
[4] Physics-guided Neural Networks (PGNN): An Application in Lake Temperature Modeling, 2017, Anuj Karpatne∗ karpa009@umn.edu William Watkins† wwatkins@usgs.gov Jordan Read† jread@usgs.gov Vipin Kumar∗ kumar001@umn.edu, all from University of Minnesota
[5] How can Physics Inform Deep Learning Methods in Scientific Problems: Recent Progress and Future Prospects,slides 2017, Anuj Karpatne, PostDoc @ University of Minnesota 
[6] Papers that cited "Physics informed Deep Learning"
[7] Deep Galerkin Method -- A deep learning algorithm for solving partial differential equations, 2018, Justin Sirignano∗ and Konstantinos Spiliopoulos
[8Towards Physics-informed Deep Learning for Turbulent Flow Prediction,2019, Rui Wang,Karthik Kashinath,Mustafa Mustafa,Adrian Albert,Rose Yu 
[9] Neural Lander: Stable Drone Landing Control using Learned Dynamics,2019, Guanya Shi, Xichen Shi, Michael O'Connell, Rose Yu, Kamyar Azizzadenesheli, Anima Anandkumar, Yisong Yue, Soon-Jo Chung
[10] Deep Lagrangian Networks: Using Physics as Model Prior for Deep Learning,2019,Michael Lutter, Christian Ritter, Jan Peters



点击以下标题查看更多往期内容: 





#投 稿 通 道#

 让你的论文被更多人看到 



如何才能让更多的优质内容以更短路径到达读者群体,缩短读者寻找优质内容的成本呢?答案就是:你不认识的人。


总有一些你不认识的人,知道你想知道的东西。PaperWeekly 或许可以成为一座桥梁,促使不同背景、不同方向的学者和学术灵感相互碰撞,迸发出更多的可能性。 


PaperWeekly 鼓励高校实验室或个人,在我们的平台上分享各类优质内容,可以是最新论文解读,也可以是学习心得技术干货。我们的目的只有一个,让知识真正流动起来。


📝 来稿标准:

• 稿件确系个人原创作品,来稿需注明作者个人信息(姓名+学校/工作单位+学历/职位+研究方向) 

• 如果文章并非首发,请在投稿时提醒并附上所有已发布链接 

• PaperWeekly 默认每篇文章都是首发,均会添加“原创”标志


📬 投稿邮箱:

• 投稿邮箱:hr@paperweekly.site 

• 所有文章配图,请单独在附件中发送 

• 请留下即时联系方式(微信或手机),以便我们在编辑发布时和作者沟通




🔍


现在,在「知乎」也能找到我们了

进入知乎首页搜索「PaperWeekly」

点击「关注」订阅我们的专栏吧



关于PaperWeekly


PaperWeekly 是一个推荐、解读、讨论、报道人工智能前沿论文成果的学术平台。如果你研究或从事 AI 领域,欢迎在公众号后台点击「交流群」,小助手将把你带入 PaperWeekly 的交流群里。


▽ 点击 | 阅读原文 | 访问知乎专栏

登录查看更多
14

相关内容

人工神经网络(Artificial Neural Network,即ANN ),是20世纪80 年代以来人工智能领域兴起的研究热点。它从信息处理角度对人脑神经元网络进行抽象, 建立某种简单模型,按不同的连接方式组成不同的网络。在工程与学术界也常直接简称为神经网络或类神经网络。神经网络是一种运算模型,由大量的节点(或称神经元)之间相互联接构成。每个节点代表一种特定的输出函数,称为激励函数(activation function)。每两个节点间的连接都代表一个对于通过该连接信号的加权值,称之为权重,这相当于人工神经网络的记忆。网络的输出则依网络的连接方式,权重值和激励函数的不同而不同。而网络自身通常都是对自然界某种算法或者函数的逼近,也可能是对一种逻辑策略的表达。 最近十多年来,人工神经网络的研究工作不断深入,已经取得了很大的进展,其在模式识别、智能机器人、自动控制、预测估计、生物、医学、经济等领域已成功地解决了许多现代计算机难以解决的实际问题,表现出了良好的智能特性。
【2020新书】监督机器学习,156页pdf,剑桥大学出版社
专知会员服务
154+阅读 · 2020年6月27日
【CVPR2020】图神经网络中的几何原理连接
专知会员服务
57+阅读 · 2020年4月8日
机器学习速查手册,135页pdf
专知会员服务
345+阅读 · 2020年3月15日
中科大-人工智能方向专业课程2020《脑与认知科学导论》
模型压缩究竟在做什么?我们真的需要模型压缩么?
专知会员服务
28+阅读 · 2020年1月16日
电力人工智能发展报告,33页ppt
专知会员服务
133+阅读 · 2019年12月25日
特征方程的物理意义
算法与数学之美
6+阅读 · 2019年5月13日
从信息论的角度来理解损失函数
深度学习每日摘要
17+阅读 · 2019年4月7日
AI新方向:对抗攻击
网易智能菌
10+阅读 · 2018年11月14日
量子计算
人工智能学家
7+阅读 · 2018年4月6日
从最大似然到EM算法:一致的理解方式
PaperWeekly
19+阅读 · 2018年3月19日
【深度】谭铁牛院士谈人工智能发展新动态
中国科学院自动化研究所
4+阅读 · 2017年12月28日
数学不好能搞人工智能吗?
算法与数学之美
3+阅读 · 2017年11月27日
深度学习面试你必须知道这些答案
AI研习社
18+阅读 · 2017年10月31日
专栏 | 贝叶斯学习与未来人工智能
机器之心
10+阅读 · 2017年9月19日
Area Attention
Arxiv
5+阅读 · 2019年5月23日
Adversarial Reprogramming of Neural Networks
Arxiv
3+阅读 · 2018年6月28日
Arxiv
6+阅读 · 2018年4月4日
Arxiv
3+阅读 · 2018年3月21日
VIP会员
相关VIP内容
相关资讯
特征方程的物理意义
算法与数学之美
6+阅读 · 2019年5月13日
从信息论的角度来理解损失函数
深度学习每日摘要
17+阅读 · 2019年4月7日
AI新方向:对抗攻击
网易智能菌
10+阅读 · 2018年11月14日
量子计算
人工智能学家
7+阅读 · 2018年4月6日
从最大似然到EM算法:一致的理解方式
PaperWeekly
19+阅读 · 2018年3月19日
【深度】谭铁牛院士谈人工智能发展新动态
中国科学院自动化研究所
4+阅读 · 2017年12月28日
数学不好能搞人工智能吗?
算法与数学之美
3+阅读 · 2017年11月27日
深度学习面试你必须知道这些答案
AI研习社
18+阅读 · 2017年10月31日
专栏 | 贝叶斯学习与未来人工智能
机器之心
10+阅读 · 2017年9月19日
相关论文
Top
微信扫码咨询专知VIP会员