概率06——连续分布

2017 年 8 月 4 日 深度学习探索

在随机变量中,我提到了连续随机变量。相对于离散随机变量,连续随机变量可以在一个连续区间内取值。比如一个均匀分布,从0到1的区间内取值。一个区间内包含了无穷多个实数,连续随机变量的取值就有无穷多个可能。

为了表示连续随机变量的概率分布,我们可以使用累积分布函数或者密度函数。密度函数是对累积分布函数的微分。连续随机变量在某个区间内的概率可以使用累积分布函数相减获得,即密度函数在相应区间的积分。

在随机变量中,我们了解了一种连续分布,即均匀分布(uniform distribution)。这里将罗列一些其他的经典连续分布。

 

指数分布


 

指数分布(exponential distribution)的密度函数随着取值的变大而指数减小。指数分布的密度函数为:

 

累积分布函数为:

 

我们绘制一个指数分布λ=0.2λ=0.2,如下:

这样一种分布在生活中很常见。比如,洪水等级的分布就类似于这样一个分布。小等级的洪水常发生,而大洪水发生的概率则很小。再比如,金矿的分布:大部分矿石的含金量少,而少部分矿石的含金量高。这提醒我们,一些特殊的条件导致了指数分布。感兴趣的话可以学习“随机过程”这一数学分支。

指数分布是无记忆(memoryless)的。我们以原子衰变为例。任意时刻往后,都需要10年的时间,会有一半的原子衰变。已经发生的衰变对后面原子衰变的概率分布无影响。用数学的语言来说,就是

 

 

 

  

等式的左边是原子存活了s的概率。而等式的右边是某一时刻t之后,原子再存活s时间的概率。可以利用指数分布的累积分布函数,很容易的证明上面的等式。指数分布经常用于模拟人的寿命或者电子产品的寿命,这意味着我们同样假设这些分布是无记忆的。一个人活10年的概率和一个人到50岁后,再活10年的概率相等。这样的假设有可能与现实情况有所出入,需要注意。

 

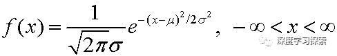
正态分布


 

正态分布(normal distribution)是最常用到的概率分布。正态分布又被称为高斯分布(Gauss distribution),因为高斯在1809年使用该分布来预测星体位置。吐槽一句,第一个提出该分布的并不是数学王子高斯,而是法国人De Moivre。作为统计先驱,这位数学家需要在咖啡馆“坐台”,为赌徒计算概率为生。(看来法国咖啡馆不止有文艺青年,也有技术屌丝啊。)

Abraham De Moivre

 

Gauss

 

正态分布的发现来自于对误差的估计。早期的物理学家发现,在测量中,测量值的分布很有特点:靠近平均值时,概率大;远离平均值时,概率小。比如我们使用尺子去测量同一个物体的长度,重复许多次。如果没有系统误差,那么测量到的长度值是一个符合正态分布的随机变量。再比如,在电子信号中白噪音,也很有可能符合正态分布。De Moivre最早用离散的二项分布来趋近这一分布,而高斯给出了这一分布的具体数学形式。

正态分布自从一出生就带着无比强大的“主角光环”,它的特殊地位在后面文章中的中心极限定理中凸显出来。

正态分布的密度函数如下:

正态分布有两个参数,μ和σ。我们可以将正态分布表示成N(μ,σ)。当μ=0,σ=1,这样的正态分布被称作标准正态分布(standard normal distribution)。

我们绘制三个正态分布的密度函数:

可以看到,正态分布关于x=μ对称,密度函数在此处取得最大值,并随着偏离中心而递减。如果以测量长度为例,这说明的读取值靠近
μ的可能性较大,而偏离μ的可能性变小。

σ代表了概率分布的离散程度。σ越小,概率越趋近对称中心x=μ。

 


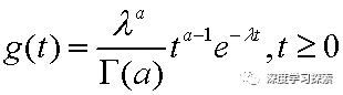
Gamma分布


 

Gamma分布在统计推断中具有重要地位。它的密度函数如下:

其中的Gamma函数可以表示为:

注意到,Gamma分布有两个控制参数α和λ。

 

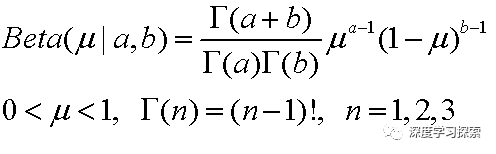
贝塔分布


在介绍贝塔分布(Beta distribution)之前,需要先明确一下先验概率后验概率似然函数以及共轭分布的概念。

  • 先验概率就是事情尚未发生前,我们对该事发生概率的估计。利用过去历史资料计算得到的先验概率,称为客观先验概率; 当历史资料无从取得或资料不完全时,凭人们的主观经验来判断而得到的先验概率,称为主观先验概率。例如抛一枚硬币头向上的概率为0.5,这就是主观先验概率。

  • 后验概率是指通过调查或其它方式获取新的附加信息,利用贝叶斯公式对先验概率进行修正,而后得到的概率。

  • 先验概率和后验概率的区别:先验概率不是根据有关自然状态的全部资料测定的,而只是利用现有的材料(主要是历史资料)计算的;后验概率使用了有关自然状态更加全面的资料,既有先验概率资料,也有补充资料。另外一种表述:先验概率是在缺乏某个事实的情况下描述一个变量;而后验概率(Probability of outcomes of an experiment after it has been performed and a certain event has occured.)是在考虑了一个事实之后的条件概率。

  • 似然函数

  • 共轭分布(conjugacy):后验概率分布函数与先验概率分布函数具有相同形式

好了,有了以上先验知识后,终于可以引入贝塔分布啦!!首先,考虑一点,在试验数据比较少的情况下,直接用最大似然法估计二项分布的参数可能会出现过拟合的现象(比如,扔硬币三次都是正面,那么最大似然法预测以后的所有抛硬币结果都是正面)。为了避免这种情况的发生,可以考虑引入先验概率分布p(μ)来控制参数μ,防止出现过拟合现象。那么,问题现在转为如何选择p(μ)!先验概率和后验概率的关系为:

二项分布的似然函数为(就是二项分布除归一化参数之外的后面那部分,似然函数之所以不是pdf,是因为它不需要归一化):

μm(1-μ)n 

如果选择的先验概率p(μ)也与μ和(1-μ)次方的乘积的关系,那么后验概率分布的函数形式就会跟它的先验函数形式一样了。具体来说,选择prior的形式是

ω1*μm(1-μ)n

那么posterior就会变成

ω2*μm+a(1-μ)n+b

这个样子了(ω1, ω2为pdf的归一化参数),所以posterior和prior具有相同的函数形式(都是p(μ)也与μ和(1-μ)次方的乘积),这样先验概率与后验概率就是共轭分布了。所以,我们选择了贝塔分布作为先验概率,其概率分布函数为:





总结


 

我们研究了四种连续随机变量的分布,并使用概率密度函数的方法来表示它们。密度函数在数学上比较容易处理,所以有很重要的理论意义。

密度函数在某个区间的积分,是随机变量在该区间取值的概率。这意味着,在密度函数的绘图中,概率是曲线下的面积。




如果你也无基础想研究深度学习

长按上方二维码

立即关注

深度学习探索微信:mydeeplearning

登录查看更多
0

相关内容

【CVPR2020】用多样性最大化克服单样本NAS中的多模型遗忘
专知会员服务
63+阅读 · 2020年3月4日
机器学习领域必知必会的12种概率分布(附Python代码实现)
算法与数学之美
21+阅读 · 2019年10月18日
“噪声对比估计”杂谈:曲径通幽之妙
PaperWeekly
6+阅读 · 2018年6月15日
条件概率和贝叶斯公式 - 图解概率 03
遇见数学
10+阅读 · 2018年6月5日
干货 | 一文搞懂极大似然估计
AI100
7+阅读 · 2017年12月3日
专栏 | 贝叶斯学习与未来人工智能
机器之心
10+阅读 · 2017年9月19日
Logistic回归第一弹——二项Logistic Regression
机器学习深度学习实战原创交流
3+阅读 · 2015年10月22日
基于LDA的主题模型实践(二 )MCMC--吉布斯采样
机器学习深度学习实战原创交流
25+阅读 · 2015年9月17日
Knowledge Distillation from Internal Representations
Arxiv
4+阅读 · 2019年10月8日
Bivariate Beta LSTM
Arxiv
6+阅读 · 2019年10月7日
Implicit Maximum Likelihood Estimation
Arxiv
7+阅读 · 2018年9月24日
Arxiv
6+阅读 · 2018年4月4日
Arxiv
4+阅读 · 2018年3月23日
VIP会员
相关VIP内容
【CVPR2020】用多样性最大化克服单样本NAS中的多模型遗忘
专知会员服务
63+阅读 · 2020年3月4日
相关资讯
机器学习领域必知必会的12种概率分布(附Python代码实现)
算法与数学之美
21+阅读 · 2019年10月18日
“噪声对比估计”杂谈:曲径通幽之妙
PaperWeekly
6+阅读 · 2018年6月15日
条件概率和贝叶斯公式 - 图解概率 03
遇见数学
10+阅读 · 2018年6月5日
干货 | 一文搞懂极大似然估计
AI100
7+阅读 · 2017年12月3日
专栏 | 贝叶斯学习与未来人工智能
机器之心
10+阅读 · 2017年9月19日
Logistic回归第一弹——二项Logistic Regression
机器学习深度学习实战原创交流
3+阅读 · 2015年10月22日
基于LDA的主题模型实践(二 )MCMC--吉布斯采样
机器学习深度学习实战原创交流
25+阅读 · 2015年9月17日
相关论文
Top
微信扫码咨询专知VIP会员