这是一个铲屎官的故事......

2019 年 12 月 26 日 AI科技评论

这有一个比赛,得从一个做程序猿的铲屎官开始说起......

话说,有一天「铲屎猿」早起之后,发现猫主子竟然没了身影;他找啊找啊,找了好久,可仍然到处都没找到猫主子。这时,客厅突然传来了一声猫叫,铲屎猿循声而至,只见沙发上躺着一个难以辨识的,「东西」?

这东西似猫又非猫,似狗又非狗,铲屎猿眉头一皱,发现事情并不简单!难道这就是喵星人统治世界的第一步:隐藏身份,安能辨我是猫狗吗?

笑话,我等人类岂非尔等猫辈能够打败;想到此处,铲屎猿说道:「看来,是时候展现我猿真正的技术了——绝杀,关键点检测技术!


绝杀技:关键点检测
没错,铲屎猿口中的关键点检测技术,正是广泛用于计算机视觉任务的基础方法,即通过某些事物的特征关键点,对这些点进行捕捉与识别。

但别看它基础,关键点检测是人脸识别和分析领域中的关键一步,它是诸如自动人脸识别、表情分析、三维人脸重建及三维动画等其它人脸相关问题的前提和突破口。

同时,在表情分析、异常行为检测、美颜换装,甚至是自动驾驶等图像识别类应用领域,该技术也是不可替代的支撑。因此,有了这一技术,铲屎猿就能够设计相应的方案,对这些「狡猾的」喵喵们进行身份确认了~

那要怎样运用这一技术呢?铲屎猿在研究过程中,借鉴了人脸识别的三种方法,它们分别是基于模型的 ASM 方法、基于级联形状回归的 CNN 回归法以及基于深度学习的方法。


    一、ASM 人脸识别

该方法也被称为采用主动形状模型(Active Shape Model,简称 ASM)的方法,这是较早出现的关键点检测方法,与大多数统计学习方法类似,包括了 rain 和 test 两部分。

它会对不同形状进行计算机自动标定、校准,运用主成分分析法获取不同形状的模型,然后将模型与实际图形进行灰度匹配,提取像素数目比等特征参数,从而实现人脸识别。

可参考文献:

https://blog.csdn.net/carson2005/article/details/8194317 


    二、 CNN 回归法 

此种方法属于基于级联回归的人脸检测方法。由于卷积神经网络可以用于分类和回归任务,通过利用卷积神经网络,将训练图像划分到多个类别,再采用多层级进行训练,从而对提取的面部关键点,如:左眼、右眼、鼻子、嘴巴进行检测。

值得注意的是,卷积神经网络当用于做回归任务时,最后一个全连接层的输出维度则是要回归的坐标值的个数,同时,其采用的是也欧几里何损失 Euclidean Loss。

可参考文献:

https://github.com/zhaoyuzhi/Deep-Convolutional-Network-Cascade-for-Facial-Point-Detection 


    三、深度学习方法

随着神经网络的迅速发展和其对图像数据的强大的特征提取,深度学习运用于人脸识别也取得了很好的效果。其中,LFW 数据集(Labeled Faces in the Wild)是目前用得最多的人脸图像数据库。

该方法的核心内容为首先将图片中的人脸检测处理并通过关键点进行对齐,然后通过一定方法将得到的关键点数据输入到神经网络,得到特征向量,再之后利用分类训练过程,则可得到人脸的特征向量。

参考论文:

https://github.com/zhzhanp/TCDCN-face-alignment 


除了拯救喵喵,还能照顾喵喵
研究清楚关键点检测的技术原理之后,铲屎猿将人脸的关键点换为了猫脸的关键点,包括: 猫眼睛、鼻子、嘴巴、耳朵等特征; 经过一系列实验,终于开发出了可用于检测猫脸的方法。 猫脸检测后的效果如下:

同时,这一工具不光可以对猫的身份进行了检测确认,同时它还设计了更多贴心的功能,可以检测咪咪的毛发、五官神态、精神状态等,从而更好的了解咪咪的健康状况。

除此之外,铲屎猿还计划将来能够开发出检测咪咪活动、进食、玩耍、如厕等数据的工具,等到那时,咪咪们可就不能造反了哦~


喵脸检测大战,开炮!
但令铲屎猿万万没想到的是,在能够确认自家喵咪身份的时候,喵星人危机已经大量爆发于世界各地。

为了防止世界被破坏,为了维护世界的和平,AI 研习社(https://god.yanxishe.com/)特邀天下程序猿星人,共同开发识别性能更强、准确度更高的喵脸检测工具,来让这些待识别的喵主子被认领回家~

本次大赛「喵脸关键点检测」的目标是检测猫脸的 9 个关键点。相关的数据集训练集有 10468 张,测试集 9526 张。其中训练集每张图都对喵喵的 9 个关键点进行了标注,标注信息为坐标信息。

开始时间:2019-12-19 09:00:00

结束时间:2020-01-18 00:00:00

大赛还提供了免费云训练 GPU 资源,以及基础奖金池为 2000 元哦~比赛一共设置了三种奖项,包括了:参与奖(30%)、突破奖(20%)、排名奖(50%)。

三种奖项互不冲突,拯救地球的同时,再赚他个千来块,岂不是也能买好多杯奶茶了呢!

数据集下载链接,请移步AI研习社喵脸关键点检测比赛获取。


评审标准
最终提交结果文件如下所示,其中,第一个数据为测试集图片 ID(即文件名); 后面的 18 个数据为 9 个关键点(每个关键点对应两个数据),每一行共包含 19 个数据。

Ps:建议使用 UTF-8 编码,提交前请确认结果文件预测样本数量共计 9526 条,因为数量不足可能导致无法评分哈~

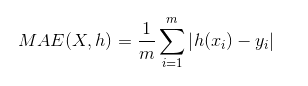
整个比赛的评审完全透明化,我们将会对比选手提交的结果文件,按照如下公式计算得分,其中:

  • MAE:平均绝对误差,可以更好地反应预测与实际结果的误差情况。

每日 24:00,我们也会将最新结果更新在官网排行榜上。是猫还是狗,你说了算!

更多信息,可进入参赛主页查看,快让你的大名出现在拯救地球榜单上吧:

https://god.yanxishe.com/19

(点击底部阅读原文或扫描下方海报即可进入)

/ 比赛入口 /

 点击 阅读原文,进入AI研习社喵脸关键点检测比赛

登录查看更多
0

相关内容

人脸识别,特指利用分析比较人脸视觉特征信息进行身份鉴别的计算机技术。广义的人脸识别实际包括构建人脸识别系统的一系列相关技术,包括人脸图像采集、人脸定位、人脸识别预处理、身份确认以及身份查找等;而狭义的人脸识别特指通过人脸进行身份确认或者身份查找的技术或系统。人脸识别是一项热门的计算机技术研究领域,它属于生物特征识别技术,是对生物体(一般特指人)本身的生物特征来区分生物体个体。生物特征识别技术所研究的生物特征包括脸、指纹、手掌纹、虹膜、视网膜、声音(语音)、体形、个人习惯(例如敲击键盘的力度和频率、签字)等...
【ICML2020-哈佛】深度语言表示中可分流形
专知会员服务
13+阅读 · 2020年6月2日
专知会员服务
142+阅读 · 2020年5月19日
斯坦福2020硬课《分布式算法与优化》
专知会员服务
123+阅读 · 2020年5月6日
【2020新书】数据科学:十大Python项目,247页pdf
专知会员服务
216+阅读 · 2020年2月21日
【新书】Pro 机器学习算法Python实现,379页pdf
专知会员服务
204+阅读 · 2020年2月11日
【机器学习课程】Google机器学习速成课程
专知会员服务
170+阅读 · 2019年12月2日
神经网络与深度学习,复旦大学邱锡鹏老师
专知会员服务
122+阅读 · 2019年9月24日
学员分享 | 小哥哥和用YOLOv3做目标检测的故事「文末送课」
干货 | 卷积神经网络入门这一篇就够了
机器学习算法与Python学习
8+阅读 · 2018年1月16日
从传统方法到深度学习,人脸关键点检测方法综述
机器之心
14+阅读 · 2017年12月17日
keras实战︱人脸表情分类与识别:人脸检测+情绪分类
数据挖掘入门与实战
21+阅读 · 2017年12月16日
深度学习学习合集
计算机视觉战队
12+阅读 · 2017年12月12日
揭秘人脸识别的十大关键技术
全球创新论坛
6+阅读 · 2017年9月6日
Scale-Aware Trident Networks for Object Detection
Arxiv
4+阅读 · 2019年1月7日
Arxiv
12+阅读 · 2018年9月5日
Viewpoint Estimation-Insights & Model
Arxiv
3+阅读 · 2018年7月3日
Arxiv
5+阅读 · 2018年5月16日
VIP会员
相关VIP内容
【ICML2020-哈佛】深度语言表示中可分流形
专知会员服务
13+阅读 · 2020年6月2日
专知会员服务
142+阅读 · 2020年5月19日
斯坦福2020硬课《分布式算法与优化》
专知会员服务
123+阅读 · 2020年5月6日
【2020新书】数据科学:十大Python项目,247页pdf
专知会员服务
216+阅读 · 2020年2月21日
【新书】Pro 机器学习算法Python实现,379页pdf
专知会员服务
204+阅读 · 2020年2月11日
【机器学习课程】Google机器学习速成课程
专知会员服务
170+阅读 · 2019年12月2日
神经网络与深度学习,复旦大学邱锡鹏老师
专知会员服务
122+阅读 · 2019年9月24日
相关资讯
学员分享 | 小哥哥和用YOLOv3做目标检测的故事「文末送课」
干货 | 卷积神经网络入门这一篇就够了
机器学习算法与Python学习
8+阅读 · 2018年1月16日
从传统方法到深度学习,人脸关键点检测方法综述
机器之心
14+阅读 · 2017年12月17日
keras实战︱人脸表情分类与识别:人脸检测+情绪分类
数据挖掘入门与实战
21+阅读 · 2017年12月16日
深度学习学习合集
计算机视觉战队
12+阅读 · 2017年12月12日
揭秘人脸识别的十大关键技术
全球创新论坛
6+阅读 · 2017年9月6日
Top
微信扫码咨询专知VIP会员