CVPR 2022 | 这个自蒸馏新框架新SOTA,降低了训练成本,无需修改网络

2022 年 4 月 8 日 机器之心
机器之心专栏

机器之心编辑部

OPP O 研究院 联合上海交通大学提出的新的自蒸馏框架DLB无需额外的网络架构修改,对标签噪声具有鲁棒性,并可大幅节约训练的空间复杂度,在三个基准数据集的实验中达到了 SOTA 性能。

深度学习促进人工智能(AI)领域不断发展,实现了许多技术突破。与此同时,如何在有限硬件资源下挖掘模型潜能、提升部署模型的准确率成为了学界和业界的研究热点。其中,知识蒸馏作为一种模型压缩和增强的方法, 将泛化能力更强的「大网络模型」蕴含的知识「蒸馏」到「小网络模型」上,来提高小模型精度,广泛地应用于 AI 领域的全监督、半监督、自监督、域迁移等各个方向。


近日, OPPO 研究院联合上海交通大学将视角聚焦到知识蒸馏的范式本身,提出了新的自蒸馏框架:DLB(Self-Distillation from Last Mini-Batch),模型无需额外的网络架构修改,对标签噪声具有鲁棒性,并大幅节约训练的空间复杂度。此外,在三个基准数据的实验中,模型达到了 SOTA 性能。相关论文「Self-Distillation from the Last Mini-Batch for Consistency Regularization」已被 CVPR 2022 收录。



论文链接:https://arxiv.org/pdf/2203.16172.pdf


DLB 自蒸馏框架


如何减少蒸馏计算复杂度?


知识蒸馏通常可以划分为三类,即离线蒸馏、在线蒸馏和自蒸馏。其中,自蒸馏具有训练轻量、知识迁移效率高的特点,最近受到更多研究者的重视。

 

图 1:本文方法与其他自蒸馏方法的比较


但是传统的自蒸馏,例如 Be Your Own Teacher,在模型训练过程中需要对模型结构进行修改。除此以外,训练成本高、计算冗余且效率低下也是自蒸馏需要攻克的难题。


为了解决上述难题,让模型更好地部署到手机等终端设备中,OPPO 研究院和上海交通大学的研究员们提出了 DLB 自蒸馏框架。利用训练时前后 Batch 预测结果的一致性,在无需对模型进行网络结构修改的前提下,就能降低训练复杂度,增强模型泛化能力。


1. 本文的任务


提出更加轻量的自蒸馏方式,降低训练的计算复杂度,提高模型准确率和泛化性。


2. 本文创新与贡献


  • 提出 DLB,通过保存与下个 Batch 部分样本重叠的软目标(soft targets)进行自蒸馏。节省计算内存,并且简化训练流程。

  • 让训练样本的每次前向过程都与一次反向传播过程相关联,从而提升学习效率。

  • 实验分析了 DLB 训练方法的动态影响,发现其正则化效果来源于即时生效的平滑标签带来的训练一致性,为自蒸馏的理论研究提供了实验基础。


DLB 自蒸馏框架训练机制


DLB 在训练阶段的每个 iteration 中,目标网络扮演着「教师」和「学生」的双重角色。其中,教师的作用是生成下一个 iteration 的软目标进行正则化;学生的作用是从前一个 iteration 平滑的标签中蒸馏,并最小化监督学习目标。


数据集定义为,包含 n 个样本的 Batch 定义为:,以图像分类为例,图片先进行数据增强,然后将其输入神经网络,优化预测输出与真值间的交叉熵损失:


 

上式中 p_i 的表达式如下:


θ为网络参数,K 表示分类类别数,τ表示温度。


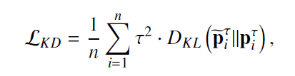
为了提高泛化能力,传统的 vanilla 知识蒸馏通过额外优化的 KL 散度损失来迁移预先训练好的 teacher 网络的知识,即:



不同于以往采用预先训练 teacher 模型的方式生成(P_i^τ ) ̃,DLB 采用训练中前一个 Batch 蕴含的信息生成(P_i^τ ) ̃,并将其作为正则化的即时平滑标签。

 

图 2:DLB 训练方式示意图


如图 2 所示,数据样本在第 t 次迭代时的定义为,神经网络的参数为θ_t。


B_t 和 B_(t-1)是通过使用数据采样器获得,在前向过程后计算 L_CE。每个小批次的一半限制为与上一个 iteration 一致,其余一半与下一个 iteration 一致。之后,前半部分小批次利用上一个 iteration 中生成的动态软目标进行学习。即由 t-1 次迭代的软标签(soften labels)生成。因此,引入的正则化损失公式如下:

 


存储平滑标签只需要很少的额外内存成本,所以带来的额外计算成本很低。整体损失函数由下式表示:



综上,DLB 算法整体的训练的伪代码如下所示:



实验设置


研究员们采用三个图像分类基准数据集评估性能,包括 CIFAR-10、CIFAR-100TinyImageNet。实验结果都达到了最佳性能,如下表所示:



具体而言,在平均错误率层面, DLB 在 CIAFR-100 改进幅度为 0.83% 至 2.50%,在 CIFAR-10 上为 0.37% 至 1.01%,在 TinyImageNet 上为 0.81% 至 3.17。值得一提的是,DLB 的表现明显优于 Tf-KD 和 PS-KD,这证明了 DLB 在模型泛化提升上的优势。


为了评估 DLB 与基于数据增强正则化方法的兼容性,研究员在 CIFAR-10 和 CIFAR-100 上将 DLB 与 CutMix、CutOut 和 DDGSD 相结合。如下所示,实验表明通过结合 DLB 和基于增强的正则化,可以实现额外的性能增益。

 


为了证明鲁棒性,研究员在训练之前向 CIFAR-100、CIFAR-10 随机注入标签噪声,实验结果如下图所示,DLB 可以有效地抵抗标签噪声并提高整体性能。 


结语


本文提出了一种基于自蒸馏思想的深度学习训练策略,将自蒸馏思想融入到模型训练过程中,对传统知识蒸馏进行改进,无需额外预先训练 teacher 的过程。通过在三个基准数据集上进行实验,多维度论证了 DLB 训练策略的有效性与普适性。


当下,深度学习网络模型结构复杂度不断提升,使用有限硬件资源开发和部署 AI 模型成为新的科研问题。在本文中,研究员设计的 DLB 训练策略,在某种程度上解决了「不增加模型复杂度,提高模型准确率」这一业界难题。


未来,OPPO 将持续研发该算法,并将其赋能到相关业务场景中,不断提升 OPPO 产品的用户体验。



© THE END 

转载请联系本公众号获得授权

投稿或寻求报道:content@jiqizhixin.com

登录查看更多
2

相关内容

【CVPR2022】基于渐进自蒸馏的鲁棒跨模态表示学习
专知会员服务
20+阅读 · 2022年4月13日
【AAAI2022】LGD:用于物体检测的标签引导自蒸馏
专知会员服务
17+阅读 · 2022年1月2日
AAAI2022-无需蒸馏信号的对比学习小模型训练效能研究
专知会员服务
17+阅读 · 2021年12月23日
专知会员服务
25+阅读 · 2021年6月17日
专知会员服务
20+阅读 · 2021年5月4日
【AAAI2021】基于双任务一致性的半监督医学图像分割
专知会员服务
31+阅读 · 2021年2月7日
[ICML-Google]先宽后窄:对深度薄网络的有效训练
专知会员服务
36+阅读 · 2020年7月5日
【CVPR 2020-商汤】8比特数值也能训练卷积神经网络模型
专知会员服务
26+阅读 · 2020年5月7日
国家自然科学基金
1+阅读 · 2015年12月31日
国家自然科学基金
0+阅读 · 2014年12月31日
国家自然科学基金
1+阅读 · 2013年12月31日
国家自然科学基金
0+阅读 · 2013年12月31日
国家自然科学基金
0+阅读 · 2012年12月31日
国家自然科学基金
0+阅读 · 2012年12月31日
国家自然科学基金
7+阅读 · 2012年12月31日
国家自然科学基金
3+阅读 · 2012年12月31日
国家自然科学基金
1+阅读 · 2012年12月31日
Domain Representation for Knowledge Graph Embedding
Arxiv
14+阅读 · 2019年9月11日
Arxiv
11+阅读 · 2018年4月8日
VIP会员
相关VIP内容
【CVPR2022】基于渐进自蒸馏的鲁棒跨模态表示学习
专知会员服务
20+阅读 · 2022年4月13日
【AAAI2022】LGD:用于物体检测的标签引导自蒸馏
专知会员服务
17+阅读 · 2022年1月2日
AAAI2022-无需蒸馏信号的对比学习小模型训练效能研究
专知会员服务
17+阅读 · 2021年12月23日
专知会员服务
25+阅读 · 2021年6月17日
专知会员服务
20+阅读 · 2021年5月4日
【AAAI2021】基于双任务一致性的半监督医学图像分割
专知会员服务
31+阅读 · 2021年2月7日
[ICML-Google]先宽后窄:对深度薄网络的有效训练
专知会员服务
36+阅读 · 2020年7月5日
【CVPR 2020-商汤】8比特数值也能训练卷积神经网络模型
专知会员服务
26+阅读 · 2020年5月7日
相关基金
国家自然科学基金
1+阅读 · 2015年12月31日
国家自然科学基金
0+阅读 · 2014年12月31日
国家自然科学基金
1+阅读 · 2013年12月31日
国家自然科学基金
0+阅读 · 2013年12月31日
国家自然科学基金
0+阅读 · 2012年12月31日
国家自然科学基金
0+阅读 · 2012年12月31日
国家自然科学基金
7+阅读 · 2012年12月31日
国家自然科学基金
3+阅读 · 2012年12月31日
国家自然科学基金
1+阅读 · 2012年12月31日
Top
微信扫码咨询专知VIP会员