用NumPy手工打造 Wide & Deep

2020 年 4 月 12 日 AINLP


作者:石塔西
来源:https://zhuanlan.zhihu.com/

p/53110408
整理:深度传送门


背景


自从我的详解TensorFlow源码如何实现Wide&Deep模型(一)系列文章发表之后,很多同学私信我,询问我的Wide & Deep实现的源代码。其实我的实现在扩展性、易用性上肯定不能和TensorFlow自带的实现相比,但是又充斥着一些业务细节。这些业务细节,技术本身没有什么难度,但又很敏感,清理起来很麻烦,所以我的那个TensorFlow实现暂时没有开源的计划了。


近年来,深度学习在推荐领域的应用得到了越来越多的关注,一系列新的算法,各种NN,各种FM,纷至而来,让人目不暇接,眼花缭乱。但是,在推荐领域经历了几年的摸爬滚打之后,我却开始了“返璞归真”:


一来,各种NN与FM,看似繁杂。实际上,只要把握住它们的发展脉络,即“如何兼顾记忆与扩展”、“如何处理高维、稀疏的类别特征”、“如何实现特征交叉”(见详解TensorFlow源码如何实现Wide&Deep模型(一)),你就会发现各种高大上的新算法不过是沿着这条脉络,在某个枝叉上的修补。这样一来,各种NN与FM,在你脑中,就不再是一个个独立的缩写,而能够编织成网,融会贯通。


二来,与其追读每篇新论文,调用作者提供的开源实现,每个模型都“走马观花”。不如找一个经典模型,自己从头到尾实现一遍,才理解得更加通透。



在我看来,已经不算新的Wide & Deep(WDL)就是这样一个经典模型,在“如何兼顾记忆与扩展”、“如何处理高维、稀疏的类别特征”、“如何实现特征交叉”三个方面,表现得很充分。为此,在上周,我花了一个星期的业余时间,用NumPy将Wide & Deep从头到尾实现了一遍,重温了算法的各种技术细节,受益匪浅。

https://github.com/stasi009/NumpyWDL


尽管在细节上还有待完善,我将它开源出来,希望和感兴趣的同学共同探讨。因为没有文档,在这里小撰一文,希望帮感兴趣的同学,理解我的代码。



我的实现基本模仿了tf.estimator.DNNLinearCombinedClassifier的结构。在手工实现Wide & Deep的过程中,我主要考虑如下三个技术关键点:

  • 模块化设计

  • Embedding的稀疏实现

  • Embedding的权重共享


模块化设计


首先区分几个概念。比如,我们从“活跃App”+“新安装App”+“卸载App”三个方面来描述一个用户的手机使用习惯。而每个方面可以用“微信:0.9,微博:0.5,淘宝:0.3,……”这样的ke-value-pair来表示

  • “活跃App”, “新安装App”, “卸载App”被称为三个Field

  • “活跃 微信","安装 微博","卸载 淘宝”被称为Feature,分别隶属于某个Field。在经过字典映射后,每个Feature都有自己的feature id(整数)和feature value(浮点数)

  • “微信","微博","淘宝”都来自一个叫“App”的Vocabulary。在以上例子中,App Vocabulary为“活跃App”, “新安装App”, “卸载App”三个Field所共享


WDL在最上层其实就是一个LR模型,probability=sigmoid(logit),而 

WDL的最上层

为此,总体上我的WDL由如下几个部分实现

  • DNN部分由dnn.py中的DeepNetwork实现

  • Wide部分由wide_layer.py中的WideLayer实现

  • WideLayer为每个field生成FtrlEstimator实例,负责用FTRL算法优化这个field下feature的权重

因为Wide主要功能是“记忆”,所以常接入一些ID类的特征,非常稀疏,所以需要使用FTRL算法来优化,以充分利用数据的稀疏性,并使得到的权重尽可能稀疏。FTRL的实现就是按照经典论文《Ad Click Prediction: a View from the Trenches》中Algorithm 1实现的。值得一提的就是,与我之前见过的一些实现不同,我的FTRL实现没有将所有特征放置在同一个特征空间中并统一编号,而是按照Field划分特征空间,每个Field单独存储、优化权重。这样做有三个好处:

  • 代码清晰、易读

  • 方便扩展。比如某个Field下新增/删除了一个Feature,只有这个Field下的Feature需要重新编号,其他Field不受影响。

  • 各个Field之间可以并行计算

而这种"将每个Field单独划分成一个模块"的做法,也是TensorFlow实现Wide侧的手法。(见推荐工业界实战角度详解TensorFlow中Wide & Deep源码(三)



讲完了Wide侧各Field的模块化实现,还要考虑Deep侧与Wide侧两个模块是如何设计的。设计主要考虑的是代码复用,同样的Deep侧与Wide侧代码,既能合起来实现Wide & Deep,也能够单独使用来实现DNN与LR


但是,有一个问题是,DNN是基于Mini-Batch优化的,而Wide侧使用的FTRL是一个Online Learning算法。Wide侧得到某个样本的Wide_Logit之后,需要与Deep侧得到的Deep_Logit相加,得到总的Logit之后,才能计算梯度,才能更新权重。


我的方法是让外界传入一个proba_fn函数来根据logit计算概率。视Wide单独使用还是与Deep联合使用,proba_fn实现如下两种逻辑

  • 当Wide侧单独使用来实现LR时,probability=sigmoid(logit)

  • 在Wide & Deep中,

    • Deep侧先完成前代,得到这个batch下所有样本的Deep_Logits。

    • Wide侧在逐一学习每个样本时,先得到这条样本的Wide_Logit,再去已经计算好的Deep_Logits中找到这条样本的Deep_Logit,probability=sigmoid(wide_logit+deep_logit)

    • 再计算梯度,开始回代。

这部分逻辑见WideDeepEstimator中的_predict_proba与train_batch两个函数。

class WideDeepEstimator(BaseEstimator):    def __init__(self, wide_hparams, deep_hparams, data_source):        self._current_deep_logits = None
self._wide_layer = WideLayer(......, proba_fn=self._predict_proba)
self._dnn = DeepNetwork(......)
super().__init__(data_source)
def _predict_proba(self, example_idx, wide_logit): deep_logit = self._current_deep_logits[example_idx] logit = deep_logit + wide_logit return 1 / (1 + np.exp(-logit))
def train_batch(self, features, labels): self._current_deep_logits = self._dnn.forward(features)
pred_probas = self._wide_layer.train(features, labels)
self._dnn.backward(grads2logits=pred_probas - labels)
return pred_probas


Embedding的稀疏实现


正如我之前所论述的,深度学习在推荐、搜索领域的运用,是围绕着稀疏的ID类特征所展开的,其主要方法就是Embedding,变ID类特征的“精确匹配”为“模糊查找”,以增强扩展。而在实现Embedding时,需要注意两点

  • 与传统MLP接收稠密输入不同,Embedding的输入高维且稀疏,One/Multi-Hot-Encoding之后进行矩阵运算代价太大,所以需要实现稀疏的前代与回代

  • 推荐系统中的Embedding与NLP中的Embedding也有不同。

    • NLP中,一句话的一个位置上只有一个词,所以Embedding往往变成了,从Embedding矩阵抽取与词对应的行上的行向量

    • 推荐系统中,一个Field下往往有多个Feature,Embedding是将多个Feature Embedding合并成一个向量,即所谓的Pooling。比如某个App Field下的Feature有"微信:0.9,微博:0.5,淘宝:0.3",Embedding=0.9*微信向量+0.5*微博向量+0.3*淘宝向量

如何表示稀疏输入,很费了一番思考。

  • 一开始想模仿TensorFlow,用sp_ids, sp_weights两上SparseTensor来表示,但是这两个SparseTensor中的indices, dense_shape必须完全相同,是重复的。既浪费空间,而且重复的东西就会带来“不一致”的隐患。

  • 后来考虑使用KVPair = namedtuple('KVPair', ['example_index', 'feature_id', 'feature_value'])表示一个非零特征。整个稀疏输入就是list of KVPair,程序处理上是方便了很多,但是每个KVPair都是一个namedtuple,生成了大多的small object,会给GC造成压力。

  • 目前决定采用3个list的方式来表示稀疏输入

    • example_indices: 是[n_non_zeros]的整数数组,表示样本在batch中的序号。而且要求其中的数值是从小到大排好序的

    • feature_ids: 是[n_non_zeros]的整数数组,表示非零特征的序号,可以重复

    • feature_values: 是[n_non_zeros]的浮点数组,表示非零特征的数值

基于以上稀疏输入的表示,Embedding的实现,见embedding_layer.EmbeddingLayer这个类。可见无论前代与回代,只有原始输入中的非零特征参与计算

class EmbeddingLayer:    def __init__(self, W, vocab_name, field_name):        """        :param W: dense weight matrix, [vocab_size,embed_size]        :param b: bias, [embed_size]        """        self.vocab_name = vocab_name        self.field_name = field_name        self._W = W        self._last_input = None
def forward(self, X): """ :param X: SparseInput :return: [batch_size, embed_size] """ self._last_input = X
# output: [batch_size, embed_size] output = np.zeros((X.n_total_examples, self._W.shape[1]))
for example_idx, feat_id, feat_val in X.iterate_non_zeros(): embedding = self._W[feat_id, :] output[example_idx, :] += embedding * feat_val
return output
def backward(self, prev_grads): """ :param prev_grads: [batch_size, embed_size] :return: dw """ dW = {}
for example_idx, feat_id, feat_val in self._last_input.iterate_non_zeros(): # [1,embed_size] grad_from_one_example = prev_grads[example_idx, :] * feat_val
if feat_id in dW: dW[feat_id] += grad_from_one_example
else: dW[feat_id] = grad_from_one_example
return dW


在利用计算好的导数对权重进行修正时,对Embedding矩阵的梯度进行特殊处理,只更新局部,见optimization.py中Adagrad.update函数。

class Adagrad:    def __init__(self, lr):        self._lr = lr        # variable name => sum of gradient square (also a vector)        self._sum_grad2 = {}
def update(self, variables, gradients): for gradname, gradient in gradients.items(): # ------ update cache g2 = gradient * gradient if gradname in self._sum_grad2: self._sum_grad2[gradname] += g2 else: self._sum_grad2[gradname] = g2
# ------ calculate delta delta = self._lr * gradient / (np.sqrt(self._sum_grad2[gradname]) + 1e-6)
# ------ update if '@' in gradname: # 对应着稀疏输入的权重与梯度,gradients中的key遵循着'vocab_name@feat_id'的格式 varname, row = gradname.split('@') row = int(row)
variable = variables[varname] variable[row, :] -= delta else: variable = variables[gradname] variable -= delta


Embedding的权重共享


如前所述,多个Field可能共享一个Vocabulary,所以要求在实现Embedding时也必须支持这一共享机制。否则,既可能浪费内存,又可能因为各Field的稀疏性不一致而导致训练不充分(见如何实现支持多值、稀疏、共享权重的DeepFM)。


为此,我设计了一个EmbeddingCombineLayer类。

  • 这个类先将所有要用到的“字典”的Embedding矩阵初始化,

  • 再将每个Field与其对应的“字典”的Embedding矩阵联系起来。

  • 只需要将多个field指向同一个vocabulary name,就可以让这个vocabulary的Embedding为多个field所共享。

class EmbeddingCombineLayer:    def __init__(self, vocab_infos):        """        :param vocab_infos: a list of tuple, each tuple is (vocab_name, vocab_size, embed_size)        """        self._weights = {}  # vocab_name ==> weight        for vocab_name, vocab_size, embed_size in vocab_infos:            stddev = 1 / np.sqrt(embed_size)            initializer = TruncatedNormal(mean=0,stddev=stddev,lower=-2 * stddev,upper=2 * stddev)            self._weights[vocab_name] = initializer(shape=[vocab_size, embed_size])
def add_embedding(self, vocab_name, field_name): weight = self._weights[vocab_name] layer = EmbeddingLayer(W=weight, vocab_name=vocab_name, field_name=field_name) self._embed_layers.append(layer)


关键在于回代时,上层传入的“Loss对本层输出的导数”是[batch_size,本层所有embedding size之和]。在EmbeddingCombineLayer.backward中,

  • 需要将以上梯度拆解,交给每个Field的Embedding层自己去回代。

  • 最后还要聚合梯度,比如“活跃App”中对“微信”有梯度,“新安装App”对“微信”也有梯度,最终“微信”embedding向量的梯度应该是以上二者之和

 def backward(self, prev_grads):        """        :param prev_grads:  [batch_size, sum of all embed-layer's embed_size]                            上一层传入的, Loss对本层输出的梯度        """        assert prev_grads.shape[1] == self.output_dim
# 因为output是每列输出的拼接,自然上一层输入的导数也是各层所需要导数的拼接 # prev_grads_splits是一个数组,存储对应各层的导数 col_sizes = [layer.output_dim for layer in self._embed_layers] prev_grads_splits = utils.split_column(prev_grads, col_sizes)
self._grads_to_embed.clear() # reset for layer, layer_prev_grads in zip(self._embed_layers, prev_grads_splits): # layer_prev_grads: 上一层传入的,Loss对某个layer的输出的梯度 # layer_grads_to_feat_embed: dict, feat_id==>grads, # 由这一个layer造成对某vocab的embedding矩阵的某feat_id对应行的梯度 layer_grads_to_embed = layer.backward(layer_prev_grads)
for feat_id, g in layer_grads_to_embed.items(): # 表示"对某个vocab的embedding weight中的第feat_id行的总导数" key = "{}@{}".format(layer.vocab_name, feat_id)
if key in self._grads_to_embed: self._grads_to_embed[key] += g else: self._grads_to_embed[key] = g


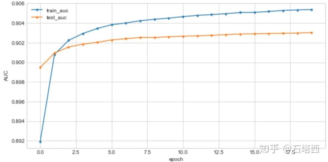
测试效果


和TensorFlow Guide一样,在Census Income Data Set数据集上进行了测试。测试结果如下

  • 性能指标上,Wide & Deep > Deep > Wide,符合我们的预期

  • TensorFlow Guide上的基线准确率是0.83,而我的实现中每个模型都超过基线,可以从一个侧面反映我的实现的正确性。

三种算法的性能对比

Wide & Deep模型训练时AUC曲线如下所示

而且,在我的笔记本上跑我的代码,每秒能够处理10000上下的样本,说明效率上也还不错。


后记


本文简单介绍了我用NumPy手工实现的Wide & Deep模型,重点介绍了如下技术关键点:

  • 如何模块化设计

  • 如何实现Embedding层稀疏地前代与回代

  • 如何实现Embedding层的权重共享


毕竟是我个人业余时间的练习作品,时间仓促,还有很多地方需要改进、完善:

  • 实现Dropout与Batch Normalization。不过,Dropout源于Computer Vision,其输入都是稠密的图像,与推荐、搜索领域稀疏的输入,有很大不同。根据Google与Airbnb的经验,Dropout应用于推荐任务,不仅不会提升,反而会恶化性能。

  • 实现更多的经典优化算法,比如Momentum, RMSprop, Adam等算法。

  • 对比TensorFlow的实现,我没有实现众多的Feature Column。其实,Feature Column对我们的重要性一点也不亚于DNNLinearCombinedClassifier。有时间,我一定补上。实现各种Feature Column在技术上没有什么难度,就是个“力气活”。

  • 如前所述,Wide & Deep本质上就是一个LR,而且Deep侧贡献的logit、各Field贡献的logit相互解耦。因此,可以考虑使它们的前代与回代并行化,实现Feature Parallelism。

  • 我的上一篇文章《走马观花Google TF-Ranking的源代码》觉得TF-Ranking不太好用。现在,既然我已经实现了Wide & Deep,稍加改动,就能够将Wide & Deep与Learning To Rank结合,实现pairwise/listwise的排序算法。


通过从头到尾实现一遍Wide & Deep,我进一步加深了对推荐系统中的深度学习算法的理解,受益匪浅。欢迎感兴趣的同学下载我的代码,欢迎同道中人共同探讨。


推荐阅读

AINLP年度阅读收藏清单

数学之美中盛赞的 Michael Collins 教授,他的NLP课程要不要收藏?

自动作诗机&藏头诗生成器:五言、七言、绝句、律诗全了

From Word Embeddings To Document Distances 阅读笔记

模型压缩实践系列之——bert-of-theseus,一个非常亲民的bert压缩方法

这门斯坦福大学自然语言处理经典入门课,我放到B站了

可解释性论文阅读笔记1-Tree Regularization

征稿启示 | 稿费+GPU算力+星球嘉宾一个都不少

关于AINLP

AINLP 是一个有趣有AI的自然语言处理社区,专注于 AI、NLP、机器学习、深度学习、推荐算法等相关技术的分享,主题包括文本摘要、智能问答、聊天机器人、机器翻译、自动生成、知识图谱、预训练模型、推荐系统、计算广告、招聘信息、求职经验分享等,欢迎关注!加技术交流群请添加AINLPer(id:ainlper),备注工作/研究方向+加群目的。


登录查看更多
1

相关内容

Sklearn 与 TensorFlow 机器学习实用指南,385页pdf
专知会员服务
131+阅读 · 2020年3月15日
专知会员服务
201+阅读 · 2020年3月6日
《动手学深度学习》(Dive into Deep Learning)PyTorch实现
专知会员服务
121+阅读 · 2019年12月31日
前深度学习时代CTR预估模型的演化之路
AINLP
7+阅读 · 2019年9月15日
初学者系列:Deep FM详解
专知
109+阅读 · 2019年8月26日
初学者系列:推荐系统Wide & Deep Learning详解
基于TensorFlow和Keras的图像识别
Python程序员
16+阅读 · 2019年6月24日
期待已久的—YOLO V3
计算机视觉战队
20+阅读 · 2018年4月13日
深度学习CTPN算法的解读与tensorflow实现
数据挖掘入门与实战
5+阅读 · 2017年11月30日
LibRec 每周算法:DeepFM
LibRec智能推荐
14+阅读 · 2017年11月6日
LibRec 每周算法:Wide & Deep (by Google)
LibRec智能推荐
9+阅读 · 2017年10月25日
深度学习目标检测模型全面综述:Faster R-CNN、R-FCN和SSD
深度学习世界
10+阅读 · 2017年9月18日
Optimization for deep learning: theory and algorithms
Arxiv
106+阅读 · 2019年12月19日
Parsimonious Bayesian deep networks
Arxiv
5+阅读 · 2018年10月17日
Few Shot Learning with Simplex
Arxiv
5+阅读 · 2018年7月27日
Arxiv
8+阅读 · 2018年5月17日
Arxiv
5+阅读 · 2016年12月29日
VIP会员
相关VIP内容
相关资讯
前深度学习时代CTR预估模型的演化之路
AINLP
7+阅读 · 2019年9月15日
初学者系列:Deep FM详解
专知
109+阅读 · 2019年8月26日
初学者系列:推荐系统Wide & Deep Learning详解
基于TensorFlow和Keras的图像识别
Python程序员
16+阅读 · 2019年6月24日
期待已久的—YOLO V3
计算机视觉战队
20+阅读 · 2018年4月13日
深度学习CTPN算法的解读与tensorflow实现
数据挖掘入门与实战
5+阅读 · 2017年11月30日
LibRec 每周算法:DeepFM
LibRec智能推荐
14+阅读 · 2017年11月6日
LibRec 每周算法:Wide & Deep (by Google)
LibRec智能推荐
9+阅读 · 2017年10月25日
深度学习目标检测模型全面综述:Faster R-CNN、R-FCN和SSD
深度学习世界
10+阅读 · 2017年9月18日
相关论文
Optimization for deep learning: theory and algorithms
Arxiv
106+阅读 · 2019年12月19日
Parsimonious Bayesian deep networks
Arxiv
5+阅读 · 2018年10月17日
Few Shot Learning with Simplex
Arxiv
5+阅读 · 2018年7月27日
Arxiv
8+阅读 · 2018年5月17日
Arxiv
5+阅读 · 2016年12月29日
Top
微信扫码咨询专知VIP会员