系列教程GNN-algorithms之七:《图同构网络—GIN》

2020 年 8 月 9 日 专知

【导读】自GCN异军突起后,图神经网络这个领域也逐渐壮大。但是疑惑也随之而来,为什么GNN会这么有效?论文How Powerful Are Graph Neural Networks?给出了答案。本文将简要介绍图同构网络GIN的来龙去脉,并手把手教你搭建基于Tensorflow框架的GIN模型。


前言


How Powerful are Graph Neural Networks?相信有很多人和我一样在学习图神经网络相关模型的时候会产生这样的疑惑。本教程将手把手教大家搭建基于Tensorflow的GIN模型,同时把该论文(ICLR 2019 best student paper)中关于GNNs为什么有效果的观点进行简要介绍。


GIN简介


  • GIN的起源

    如GCN和GraphSAGE,都是通过迭代聚合一阶邻居信息来更新节点的特征表示,可以拆分为三个步骤:

    Aggregate:聚合一阶邻居节点的特征。

    Combine:将邻域特征与中心节点的特征融合,更新中心节点的特征。

    Readout:如果是图分类任务,需要把Graph中所有节点特征转换为Graph的特征表示。

上述方法都是基于经验主义,缺乏从理论的角度来分析GNN。GIN则是借助Weisfeiler-Lehman(WL) test 来分析GNN到底做了什么而变得如何powerful,在何种条件下GNN可以在图分类任务上和WL test一样强大。

  • WL test

    WL test是判断两个Graph结构是否相同的有效方法,主要通过迭代以下步骤来判断Graph的同构性: (初始化:将节点的id作为自身的标签。)

    1. 聚合:将邻居节点和自身的标签进行聚合。

    2. 更新节点标签:使用Hash表将节点聚合标签映射作为节点的的新标签。

WL test迭代过程如下图:

(此图引用自知乎 https://zhuanlan.zhihu.com/p/62006729,如有侵权,请联系删除)

上图a中的G图中节点1的邻居有节点4;节点2的邻居有节点3和节点5;节点3的邻居有节点2,节点4,节点5;节点4的邻居有节点1,节点3,节点5;节点5的邻居有节点2,节点3,节点4。(步骤1)聚合邻居节点和自身标签后的结果就是b图中的G。然后用Hash将聚合后的结果映射为一个新的标签,进行标签压缩,如图c。用压缩后的标签来替代之前的聚合结果,进行标签更新(步骤二),如图d,G‘同理。

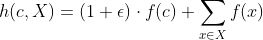
    对于Graph的特征表示,WL test方法用迭代前后图中节点标签的个数作为Graph的表示特征,如图e所示。从上图我们可以看出WL_test的迭代过程和GNN的聚合过程非常相似,并且作者也证明了WL_test是图神经网络聚合邻域信息能力的上限


  • GIN节点的更新过程

    作者提出如果GNN中的Aggregate,Combine和Readout函数是单射(即原像与像的映射关系为一对一),则GNN可以达到上限,和WL_test一样。

    作者证明了当节点特征X可数时,将节点特征的聚合方式(Aggregate)设置为sum,邻域特征与中心节点特征的融合系数设置为1+会存在一个函数使得聚合函数(Combine)为单射函数,即:


    为单射函数。

    同时作者进一步证明对于任意的聚合函数


    在满足单射性的条件下可以分解为:


    然后用借助多层感知机(MLP)强大的拟合能力来学习上面公式中的f,最后得到基于MLP+SUM的GIN模型:


    对于每轮迭代产生的节点特征求和,然后拼接作为Graph的特征表示:



  • 完整代码下载地址:

    https://github.com/wangyouze/tf_geometric/blob/sage/demo/demo_gin.py

  • 论文下载地址:https://arxiv.org/pdf/1810.00826.pdf

  • 文献参考地址:https://zhuanlan.zhihu.com/p/66589334


教程目录


  • 开发环境

  • GIN的实现

  • 模型构建

  • GIN训练

  • GIN评估


开发环境


  • 操作系统: Windows / Linux / Mac OS

  • Python 版本: >= 3.5

  • 依赖包:

  • tf_geometric(一个基于Tensorflow的GNN库) 根据你的环境(是否已安装TensorFlow、是否需要GPU)从下面选择一条安装命令即可一键安装所有Python依赖:

pip install -U tf_geometric # 这会使用你自带的TensorFlow,注意你需要tensorflow/tensorflow-gpu >= 1.14.0 or >= 2.0.0b1

pip install -U tf_geometric[tf1-cpu] # 这会自动安装TensorFlow 1.x CPU版

pip install -U tf_geometric[tf1-gpu] # 这会自动安装TensorFlow 1.x GPU版

pip install -U tf_geometric[tf2-cpu] # 这会自动安装TensorFlow 2.x CPU版

pip install -U tf_geometric[tf2-gpu] # 这会自动安装TensorFlow 2.x GPU版

教程使用的核心库是tf_geometric,一个基于TensorFlow的GNN库。tf_geometric的详细教程可以在其Github主页上查询:

  • https://github.com/CrawlScript/tf_geometric


GIN的实现


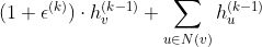
GIN聚合节点信息公式为:

GIN的实现很简单。首先我们聚合中心节点的一阶邻域信息

tf_geometric提供了便捷的邻域信息聚合机制API。

h = aggregate_neighbors(        x, edge_index, edge_weight,        identity_mapper,        sum_reducer,        identity_updater    )

然后计算

更新中心节点的特征表示。可以设置为学习参数也可以设置为固定值

 h = x * (1 + eps) + h

MLP拟合特征变换函数和f

h = mlp(h) if activation is not None:    h = activation(h)
return h


模型构建


  • 导入相关库

    本教程使用的核心库是tf_geometric,我们用它来进行图数据导入、图数据预处理及图神经网络构建。GIN的具体实现已经在上面详细介绍,另外我们后面会使用keras.metrics.Accuracy评估模型性能。

    # coding=utf-8import osimport tensorflow as tfimport numpy as npfrom tensorflow import kerasfrom sklearn.model_selection import train_test_splitos.environ["CUDA_VISIBLE_DEVICES"] = "0"
  • 我们选用论文中的生物数据集NCI1训练和评估模型性能。第一次加载NCI1数据集,预计需要花费几分钟时间。数据集第一次被预处理之后,tf_geometric会自动保存预处理的结果,以便下一次调用。对于一个TU dataset会包含节点标签,节点属性等,每个graph的处理结果会被以字典形式保存,多个图的预处理结果以list的形式返回。

    graph_dicts = tfg.datasets.TUDataset("NCI1").load_data()
  • 自己用数据构建Graph Object,即图模型输入的三要素:节点特征,边连接信息以及标签。GIN的目标是当模型不依赖于输入的节点特征时,学习网络的拓扑结构。因此对于生物数据集NCI1,我们把节点的类别标签用one_hot表示后作为输入特征(convert_node_labels_to_one_hot将节点标签转换为节点特征,十分简单,可在源码中查看该函数的实现)。

    def construct_graph(graph_dict):
    return tfg.Graph(
    x=convert_node_labels_to_one_hot(graph_dict["node_labels"]),
    edge_index=graph_dict["edge_index"],
    y=graph_dict["graph_label"] # graph_dict["graph_label"] is a list with one int element
    )

    graphs = [construct_graph(graph_dict) for graph_dict in graph_dicts]
  • 定义模型。根据论文描述,我们的模型有五层GIN作为隐藏层,MLP设置为2层来学习特征变换和f,每个隐藏层后用Batch_normalization对数据进行归一化(抑制梯度消失和梯度爆炸)。

    class GINPoolNetwork(keras.Model):    def __init__(self, num_gins, units, num_classes, *args, **kwargs):        super().__init__(*args, **kwargs)
    self.gins = [ tfg.layers.GIN( keras.Sequential([ keras.layers.Dense(units, activation=tf.nn.relu), keras.layers.Dense(units), keras.layers.BatchNormalization() ]) ) for _ in range(num_gins) # num_gins blocks ]
    self.mlp = keras.Sequential([ keras.layers.Dense(128, activation=tf.nn.relu), keras.layers.Dropout(0.3), keras.layers.Dense(num_classes) ])
    def call(self, inputs, training=False, mask=None):
    if len(inputs) == 4: x, edge_index, edge_weight, node_graph_index = inputs else: x, edge_index, node_graph_index = inputs edge_weight = None
    hidden_outputs = [] h = x
    for gin in self.gins: h = gin([h, edge_index, edge_weight], training=training) hidden_outputs.append(h)

对每一隐藏层的输出进行sum pooling,将5层的pooling结果拼接后进行非线性变换输出。

公式如下:

        h = tf.concat(hidden_outputs, axis=-1)        h = tfg.nn.sum_pool(h, node_graph_index)        logits = self.mlp(h, training=training)        return logit


GIN训练


数据集划分

train_graphs, test_graphs = train_test_split(graphs, test_size=0.1)

计算标签种类

num_classes = np.max([graph.y[0] for graph in graphs]) + 1

初始化模型

model = GIN(32)

模型的训练与其他基于Tensorflow框架的模型训练基本一致,主要步骤有定义优化器,计算误差与梯度,反向传播等。我们将训练集中的graphs以batch的形式输入模型进行训练,对于graphs划分为batch可以调用我们tf_geometric中的函数create_graph_generator。



optimizer = tf.keras.optimizers.Adam(learning_rate=0.01)train_batch_generator = create_graph_generator(train_graphs, batch_size, shuffle=True, infinite=True)
best_test_acc = 0for step in range(0, 1000): batch_graph = next(train_batch_generator) with tf.GradientTape() as tape: inputs = [batch_graph.x, batch_graph.edge_index, batch_graph.edge_weight, batch_graph.node_graph_index] logits = model(inputs, training=True) losses = tf.nn.softmax_cross_entropy_with_logits( logits=logits, labels=tf.one_hot(batch_graph.y, depth=num_classes) )
loss = tf.reduce_mean(losses) vars = tape.watched_variables() grads = tape.gradient(loss, vars) optimizer.apply_gradients(zip(grads, vars))
if step % 10 == 0: train_acc = evaluate(train_graphs, batch_size) test_acc = evaluate(test_graphs, batch_size)
if best_test_acc < test_acc: best_test_acc = test_acc
print("step = {}\tloss = {}\ttrain_acc = {}\ttest_acc={}".format(step, loss, train_acc, best_test_acc))


GIN评估


在评估模型性能的时候我们将测试集中的graph以batch的形式输入到我们的模型之中,用keras自带的keras.metrics.Accuracy计算准确率。

def evaluate():
accuracy_m = keras.metrics.Accuracy()

for test_batch_graph in create_graph_generator(test_graphs, batch_size, shuffle=False, infinite=False):
logits = forward(test_batch_graph)
preds = tf.argmax(logits, axis=-1)
accuracy_m.update_state(test_batch_graph.y, preds)

return accuracy_m.result().numpy()


运行结果

step = 0	loss = 12.347851753234863	train_acc = 0.49905380606651306	test_acc=0.5036496520042419
step = 10 loss = 0.8783968091011047 train_acc = 0.5509597063064575 test_acc=0.525547444820404
step = 20 loss = 0.6645355820655823 train_acc = 0.5404163002967834 test_acc=0.525547444820404
step = 30 loss = 0.6511620283126831 train_acc = 0.5904298424720764 test_acc=0.5790753960609436
...
step = 820 loss = 0.36381691694259644 train_acc = 0.8553662896156311 test_acc=0.8175182342529297
step = 830 loss = 0.33948060870170593 train_acc = 0.8645579814910889 test_acc=0.8248175382614136
step = 840 loss = 0.3843861520290375 train_acc = 0.8599621653556824 test_acc=0.8248175382614136
step = 850 loss = 0.3698282241821289 train_acc = 0.850229799747467 test_acc=0.8248175382614136


完整代码链接


demo_gin.py

 https://github.com/wangyouze/tf_geometric/blob/sage/demo/demo_gin.py


本教程(属于系列教程《GNN-algorithms》)Github链接:

  • https://github.com/wangyouze/GNN-algorithms


专知便捷查看

便捷下载,请关注专知公众号(点击上方蓝色专知关注)

  • 后台回复“GIN” 可以获取《《同构图网络—GIN》》专知下载链接索引


专 · 知
专知,专业可信的人工智能知识分发,让认知协作更快更好!欢迎注册登录专知www.zhuanzhi.ai,获取5000+AI主题干货知识资料!
欢迎微信扫一扫加入专知人工智能知识星球群,获取最新AI专业干货知识教程视频资料和与专家交流咨询
登录查看更多
84

相关内容

系列教程GNN-algorithms之六:《多核卷积拓扑图—TAGCN》
专知会员服务
50+阅读 · 2020年8月8日
专知会员服务
100+阅读 · 2020年2月20日
【GNN】图神经网络入门之GRN图循环网络
深度学习自然语言处理
17+阅读 · 2020年5月9日
赛尔笔记 | 一文读懂图神经网络
哈工大SCIR
82+阅读 · 2019年7月12日
精选论文 | 图神经网络时间节点【附打包下载】
人工智能前沿讲习班
17+阅读 · 2019年5月6日
专栏 | 深入理解图注意力机制
机器之心
25+阅读 · 2019年2月19日
图注意力网络
科技创新与创业
35+阅读 · 2017年11月22日
基于注意力机制的图卷积网络
科技创新与创业
74+阅读 · 2017年11月8日
Arxiv
16+阅读 · 2019年4月4日
Simplifying Graph Convolutional Networks
Arxiv
12+阅读 · 2019年2月19日
Deep Graph Infomax
Arxiv
17+阅读 · 2018年12月21日
Arxiv
11+阅读 · 2018年10月17日
Arxiv
23+阅读 · 2018年10月1日
VIP会员
相关资讯
【GNN】图神经网络入门之GRN图循环网络
深度学习自然语言处理
17+阅读 · 2020年5月9日
赛尔笔记 | 一文读懂图神经网络
哈工大SCIR
82+阅读 · 2019年7月12日
精选论文 | 图神经网络时间节点【附打包下载】
人工智能前沿讲习班
17+阅读 · 2019年5月6日
专栏 | 深入理解图注意力机制
机器之心
25+阅读 · 2019年2月19日
图注意力网络
科技创新与创业
35+阅读 · 2017年11月22日
基于注意力机制的图卷积网络
科技创新与创业
74+阅读 · 2017年11月8日
相关论文
Top
微信扫码咨询专知VIP会员