专栏 | 深度学习中的Normalization模型

2018 年 8 月 29 日 机器之心

机器之心专栏

作者:张俊林


Batch Normalization(简称 BN)自从提出之后,因为效果特别好,很快被作为深度学习的标准工具应用在了各种场合。BN 大法虽然好,但是也存在一些局限和问题,诸如当 BatchSize 太小时效果不佳、对 RNN 等动态网络无法有效应用 BN 等。针对 BN 的问题,最近两年又陆续有基于 BN 思想的很多改进 Normalization 模型被提出。BN 是深度学习进展中里程碑式的工作之一,无论是希望深入了解深度学习,还是在实践中解决实际问题,BN 及一系列改进 Normalization 工作都是绕不开的重要环节。


从 Mini-Batch SGD 说起


我们先从 Mini-Batch SGD 的优化过程讲起,因为这是下一步理解 Batch Normalization 中 Batch 所代表具体含义的知识基础。


我们知道,SGD 是无论学术圈写文章做实验还是工业界调参跑模型最常用的模型优化算法,但是有时候容易被忽略的一点是:一般提到的 SGD 是指的 Mini-batch SGD,而非原教旨意义下的单实例 SGD。


图 1. Mini-Batch SGD 训练过程(假设 Batch Size=2)


所谓「Mini-Batch」, 是指的从训练数据全集 T 中随机选择的一个训练数据子集合。假设训练数据集合 T 包含 N 个样本,而每个 Mini-Batch 的 Batch Size 为 b,于是整个训练数据可被分成 N/b 个 Mini-Batch。在模型通过 SGD 进行训练时,一般跑完一个 Mini-Batch 的实例,叫做完成训练的一步(step), 跑完 N/b 步则整个训练数据完成一轮训练,则称为完成一个 Epoch。完成一个 Epoch 训练过程后,对训练数据做随机 Shuffle 打乱训练数据顺序,重复上述步骤,然后开始下一个 Epoch 的训练,对模型完整充分的训练由多轮 Epoch 构成(参考图 1)。


在拿到一个 Mini-Batch 进行参数更新时,首先根据当前 Mini-Batch 内的 b 个训练实例以及参数对应的损失函数的偏导数来进行计算,以获得参数更新的梯度方向,然后根据 SGD 算法进行参数更新,以此来达到本步(Step)更新模型参数并逐步寻优的过程。

 

图 2. Mini-Batch SGD 优化过程


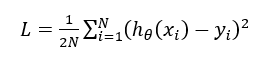
具体而言,如果我们假设机器学习任务的损失函数是平方损失函数:

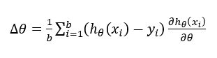
那么,由 Mini-Batch 内训练实例可得出 SGD 优化所需的梯度方向为:

其中,<x_i,y_i>是 Mini-Batch 内第 i 个训练实例对应的输入 x_i 和值 y_i。h_θ是希望学习到的映射函数,其中θ是函数对应的当前参数值。代表了 Mini-Batch 中实例 i 决定的梯度方向,Batch 内所有训练实例共同决定了本次参数更新的梯度方向。


根据梯度方向即可利用标准 SGD 来更新模型参数:

其中,η是学习率。


由上述过程(参考图 2)可以看出,对于 Mini-Batch SGD 训练方法来说,为了能够参数更新必须得先求出梯度方向,而为了能够求出梯度方向,需要对每个实例得出当前参数下映射函数的预测值 h_θ (x_i ),这意味着如果是用神经网络来学习映射函数 h_θ的话,Mini-Batch 内的每个实例需要走一遍当前的网络,产生当前参数下神经网络的预测值,这点请注意,这是理解后续 Batch Normalization 的基础。


至于 Batch Size 的影响,目前可以实验证实的是:batch size 设置得较小训练出来的模型相对大 batch size 训练出的模型泛化能力更强,在测试集上的表现更好,而太大的 batch size 往往不太 Work,而且泛化能力较差。但是背后是什么原因造成的,目前还未有定论,持不同看法者各持己见。因为这不是文本的重点,所以先略过不表。

 

Normalization 到底是在做什么


Normalization 的中文翻译一般叫做「规范化」,是一种对数值的特殊函数变换方法,也就是说假设原始的某个数值是 x,套上一个起到规范化作用的函数,对规范化之前的数值 x 进行转换,形成一个规范化后的数值,即:

所谓规范化,是希望转换后的数值 x ̂满足一定的特性,至于对数值具体如何变换,跟规范化目标有关,也就是说 f() 函数的具体形式,不同的规范化目标导致具体方法中函数所采用的形式不同。


其实我们生活中也有很多类似的规范化操作,知乎里面有个热帖,主题是:「为什么人大附中的学生那么爱穿校服?」,里面有人打趣地问:「请问人大附中的学生洗澡的时候脱不脱校服?」。这个问题我回答不了,要我猜大概率夏天洗澡的时候是会脱的,要不然洗澡的时候天太热人受不了,冬天则未必,穿着洗可能更保暖。跑题了,其实我想说的是:学校要求学生穿校服就是一种典型的规范化操作,学校的规范化目标是要求学生着装整齐划一,显得干练有风貌,所以定义了一个规范化函数:

就是说不论哪个学生,不论你平常的着装变量 x=」香奈儿」还是 x=「麻袋片」,经过这个规范化函数操作,统一都换成校服。这样就达到了学校的规范化目的。


图 3. 神经元


在介绍深度学习 Normalization 前,我们先普及下神经元的活动过程。深度学习是由神经网络来体现对输入数据的函数变换的,而神经网络的基础单元就是网络神经元,一个典型的神经元对数据进行处理时包含两个步骤的操作(参考图 3):


步骤一:对输入数据进行线性变换,产生净激活值

其中,x 是输入,w 是权重参数,b 是偏置,w 和 b 是需要进过训练学习的网络参数。


步骤二:套上非线性激活函数,神经网络的非线性能力来自于此,目前深度学习最常用的激活函数是 Relu 函数 x=Relu(a)


如此一个神经元就完成了对输入数据的非线性函数变换。这里需要强调下,步骤一的输出一般称为净激活(Net Activation),第二步骤经过激活函数后得到的值为激活值。为了描述简洁,本文后续文字中使用激活的地方,其实指的是未经激活函数的净激活值,而非一般意义上的激活,这点还请注意。


至于深度学习中的 Normalization,因为神经网络里主要有两类实体:神经元或者连接神经元的边,所以按照规范化操作涉及对象的不同可以分为两大类,一类是对第 L 层每个神经元的激活值或者说对于第 L+1 层网络神经元的输入值进行 Normalization 操作,比如 BatchNorm/LayerNorm/InstanceNorm/GroupNorm 等方法都属于这一类;另外一类是对神经网络中连接相邻隐层神经元之间的边上的权重进行规范化操作,比如 Weight Norm 就属于这一类。广义上讲,一般机器学习里看到的损失函数里面加入的对参数的的 L1/L2 等正则项,本质上也属于这第二类规范化操作。L1 正则的规范化目标是造成参数的稀疏化,就是争取达到让大量参数值取得 0 值的效果,而 L2 正则的规范化目标是有效减小原始参数值的大小。有了这些规范目标,通过具体的规范化手段来改变参数值,以达到避免模型过拟合的目的。


本文主要介绍第一类针对神经元的规范化操作方法,这是目前 DNN 做 Normalization 最主流的做法。


图 4. Normalization 加入的位置


那么对于第一类的 Normalization 操作,其在什么位置发挥作用呢?目前有两种在神经元中插入 Normalization 操作的地方(参考图 4),第一种是原始 BN 论文提出的,放在激活函数之前;另外一种是后续研究提出的,放在激活函数之后,不少研究表明将 BN 放在激活函数之后效果更好。本文在讲解时仍然遵循 BN 原始论文,后续讲解都可以看成是将 Normalization 操作放在激活函数之前进行。


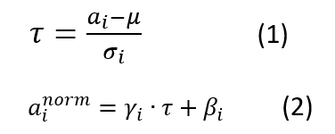
对于神经元的激活值来说,不论哪种 Normalization 方法,其规范化目标都是一样的,就是将其激活值规整为均值为 0,方差为 1 的正态分布。即规范化函数统一都是如下形式:

写成两步的模式是为了方便讲解,如果写成一体的形式,则是如下形式:

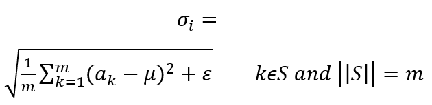
其中,a_i 为某个神经元原始激活值,为经过规范化操作后的规范后值。整个规范化过程可以分解为两步,第一步参考公式(1),是对激活值规整到均值为 0,方差为 1 的正态分布范围内。其中,μ 是通过神经元集合 S(至于 S 如何选取读者可以先不用关注,后文有述)中包含的 m 个神经元各自的激活值求出的均值,即:

σ_i 为根据均值和集合 S 中神经元各自激活值求出的激活值标准差:


其中,ε 是为了增加训练稳定性而加入的小的常量数据。


第二步参考公式(2),主要目标是让每个神经元在训练过程中学习到对应的两个调节因子,对规范到 0 均值,1 方差的值进行微调。因为经过第一步操作后,Normalization 有可能降低神经网络的非线性表达能力,所以会以此方式来补偿 Normalization 操作后神经网络的表达能力。


目前神经网络中常见的第一类 Normalization 方法包括 Batch Normalization/Layer Normalization/Instance Normalization 和 Group Normalization,BN 最早由 Google 研究人员于 2015 年提出,后面几个算法算是 BN 的改进版本。不论是哪个方法,其基本计算步骤都如上所述,大同小异,最主要的区别在于神经元集合 S 的范围怎么定,不同的方法采用了不同的神经元集合定义方法。


为什么这些 Normalization 需要确定一个神经元集合 S 呢?原因很简单,前面讲过,这类深度学习的规范化目标是将神经元的激活值限定在均值为 0 方差为 1 的正态分布中。而为了能够对网络中某个神经元的激活值 a_i 规范到均值为 0 方差为 1 的范围,必须有一定的手段求出均值和方差,而均值和方差是个统计指标,要计算这两个指标一定是在一个集合范围内才可行,所以这就要求必须指定一个神经元组成的集合,利用这个集合里每个神经元的激活来统计出所需的均值和方差,这样才能达到预定的规范化目标。


图 5. Normalization 具体例子


图 5 给出了这类 Normalization 的一个计算过程的具体例子,例子中假设网络结构是前向反馈网络,对于隐层的三个节点来说,其原初的激活值为 [0.4,-0.6,0.7],为了可以计算均值为 0 方差为 1 的正态分布,划定集合 S 中包含了这个网络中的 6 个神经元,至于如何划定集合 S 读者可以先不用关心,此时其对应的激活值如图中所示,根据这 6 个激活值,可以算出对应的均值和方差。有了均值和方差,可以利用公式 3 对原初激活值进行变换,如果 r 和 b 被设定为 1,那么可以得到转换后的激活值 [0.21,-0.75,0.50],对于新的激活值经过非线性变换函数比如 RELU,则形成这个隐层的输出值 [0.21,0,0.50]。这个例子中隐层的三个神经元在某刻进行 Normalization 计算的时候共用了同一个集合 S,在实际的计算中,隐层中的神经元可能共用同一个集合,也可能每个神经元采用不同的神经元集合 S,并非一成不变,这点还请留心与注意。


针对神经元的所有 Normalization 方法都遵循上述计算过程,唯一的不同在于如何划定计算统计量所需的神经元集合 S 上。读者可以自己思考下,如果你是 BN 或者其它改进模型的设计者,那么你会如何选取集合 S?


Batch Normalization 如何做


我们知道,目前最常用的深度学习基础模型包括前向神经网络(MLP),CNN 和 RNN。目前 BN 在这些基础网络结构都有尝试,总体而言,BN 在 MLP 和 CNN 是非常成功的,在 RNN 上效果不明显。下面我们分述前向神经网络以及 CNN 中如何应用 BN,然后谈谈 BN 面临的一些困境。正是这些困境引发了后续的一系列改进模型的提出。

 

3.1 前向神经网络中的 BN


图 6. 前向神经网络中的 BatchNorm


对于前向神经网络来说,BatchNorm 在计算隐层某个神经元 k 激活的规范值的时候,对应的神经元集合 S 范围是如何划定呢?图 6 给出了示意。因为对于 Mini-Batch 训练方法来说,根据 Loss 更新梯度使用 Batch 中所有实例来做,所以对于神经元 k 来说,假设某个 Batch 包含 n 个训练实例,那么每个训练实例在神经元 k 都会产生一个激活值,也就是说 Batch 中 n 个训练实例分别通过同一个神经元 k 的时候产生了 n 个激活值,BatchNorm 的集合 S 选择入围的神经元就是这 n 个同一个神经元被 Batch 不同训练实例激发的激活值。划定集合 S 的范围后,Normalization 的具体计算过程与前文所述计算过程一样,采用公式 3 即可完成规范化操作。


3.2 CNN 网络中的 BN


了解了前向神经网络中的 BatchNorm,接下来介绍 CNN 中的 BatchNorm,读者可以先自行思考下如果由你来主导设计,在 CNN 中究竟应该如何确定神经元集合 S 的势力范围。


我们知道,常规的 CNN 一般由卷积层、下采样层及全连接层构成。全连接层形式上与前向神经网络是一样的,所以可以采取前向神经网络中的 BatchNorm 方式,而下采样层本身不带参数所以可以忽略,所以 CNN 中主要关注卷积层如何计算 BatchNorm。


图 7. CNN 中的卷积核


CNN 中的某个卷积层由 m 个卷积核构成,每个卷积核对三维的输入(通道数*长*宽)进行计算,激活及输出值是个二维平面(长*宽),对应一个输出通道(参考图 7),由于存在 m 个卷积核,所以输出仍然是三维的,由 m 个通道及每个通道的二维平面构成。


图 8. CNN 中的 BatchNorm 过程


那么在卷积层中,如果要对通道激活二维平面中某个激活值进行 Normalization 操作,怎么确定集合 S 的范围呢?图 8 给出了示意图。类似于前向神经网络中的 BatchNorm 计算过程,对于 Mini-Batch 训练方法来说,反向传播更新梯度使用 Batch 中所有实例的梯度方向来进行,所以对于 CNN 某个卷积层对应的输出通道 k 来说,假设某个 Batch 包含 n 个训练实例,那么每个训练实例在这个通道 k 都会产生一个二维激活平面,也就是说 Batch 中 n 个训练实例分别通过同一个卷积核的输出通道 k 的时候产生了 n 个激活平面。假设激活平面长为 5,宽为 4,则激活平面包含 20 个激活值,n 个不同实例的激活平面共包含 20*n 个激活值。那么 BatchNorm 的集合 S 的范围就是由这 20*n 个同一个通道被 Batch 不同训练实例激发的激活平面中包含的所有激活值构成(对应图 8 中所有标为蓝色的激活值)。划定集合 S 的范围后,激活平面中任意一个激活值都需进行 Normalization 操作,其 Normalization 的具体计算过程与前文所述计算过程一样,采用公式 3 即可完成规范化操作。这样即完成 CNN 卷积层的 BatchNorm 转换过程。

 

图 9. CNN 中 Batch Norm 的另外一种角度的理解


描述起来似乎有些复杂,但是从概念上,其实可以把 CNN 中的卷积层想象成前向神经网络中的一个隐层,然后把对应的某个卷积核想象成 MLP 隐层中的一个神经元节点,无非其输出是个二维激活平面而不像 MLP 的神经元输出是一个激活值,另外一个不同是这个神经元覆盖的输入部分不同,CNN 的卷积核是局部覆盖输入,通过滑动窗口来实现输入的全覆盖,而 MLP 的神经元则是一步到位全局覆盖输入而已 (参考图 9 示意)。如果从这个角度思考 CNN 和 MLP 中的 BatchNorm 的话,其实两者的做法是一致的。


从理论上讲,类似的 BatchNorm 操作也可以应用在 RNN 上,事实上也有不少研究做了尝试,但是各种实验证明其实这么做没什么用,所以本文就不展开讲 RNN 中的 BN 了。


BatchNorm 目前基本已经成为各种网络(RNN 除外)的标配,主要是因为效果好,比如可以加快模型收敛速度,不再依赖精细的参数初始化过程,可以调大学习率等各种方便,同时引入的随机噪声能够起到对模型参数进行正则化的作用,有利于增强模型泛化能力。


但是,BatchNorm 这么好用的大杀器,仍然存在很多问题。


3.3 Batch Norm 的四大罪状


局限 1:如果 Batch Size 太小,则 BN 效果明显下降。


BN 是严重依赖 Mini-Batch 中的训练实例的,如果 Batch Size 比较小则任务效果有明显的下降。那么多小算是太小呢?图 10 给出了在 ImageNet 数据集下做分类任务时,使用 ResNet 的时候模型性能随着 BatchSize 变化时的性能变化情况,可以看出当 BatchSize 小于 8 的时候开始对分类效果有明显负面影响。之所以会这样,是因为在小的 BatchSize 意味着数据样本少,因而得不到有效统计量,也就是说噪音太大。这个很好理解,这就类似于我们国家统计局在做年均收入调查的时候,正好把你和马云放到一个 Batch 里算平均收入,那么当你为下个月房租发愁之际,突然听到你所在组平均年薪 1 亿美金时,你是什么心情,那小 Mini-Batch 里其它训练实例就是啥心情。


图 10. BN 的 Batch Size 大小对 ImageNet 分类任务效果的影响(From GN 论文)


BN 的 Batch Size 大小设置是由调参师自己定的,调参师只要把 Batch Size 大小设置大些就可以避免上述问题。但是有些任务比较特殊,要求 batch size 必须不能太大,在这种情形下,普通的 BN 就无能为力了。比如 BN 无法应用在 Online Learning 中,因为在线模型是单实例更新模型参数的,难以组织起 Mini-Batch 结构。


局限 2:对于有些像素级图片生成任务来说,BN 效果不佳;


对于图片分类等任务,只要能够找出关键特征,就能正确分类,这算是一种粗粒度的任务,在这种情形下通常 BN 是有积极效果的。但是对于有些输入输出都是图片的像素级别图片生成任务,比如图片风格转换等应用场景,使用 BN 会带来负面效果,这很可能是因为在 Mini-Batch 内多张无关的图片之间计算统计量,弱化了单张图片本身特有的一些细节信息。


局限 3:RNN 等动态网络使用 BN 效果不佳且使用起来不方便


对于 RNN 来说,尽管其结构看上去是个静态网络,但在实际运行展开时是个动态网络结构,因为输入的 Sequence 序列是不定长的,这源自同一个 Mini-Batch 中的训练实例有长有短。对于类似 RNN 这种动态网络结构,BN 使用起来不方便,因为要应用 BN,那么 RNN 的每个时间步需要维护各自的统计量,而 Mini-Batch 中的训练实例长短不一,这意味着 RNN 不同时间步的隐层会看到不同数量的输入数据,而这会给 BN 的正确使用带来问题。假设 Mini-Batch 中只有个别特别长的例子,那么对较深时间步深度的 RNN 网络隐层来说,其统计量不方便统计而且其统计有效性也非常值得怀疑。另外,如果在推理阶段遇到长度特别长的例子,也许根本在训练阶段都无法获得深层网络的统计量。综上,在 RNN 这种动态网络中使用 BN 很不方便,而且很多改进版本的 BN 应用在 RNN 效果也一般。


局限 4:训练时和推理时统计量不一致


对于 BN 来说,采用 Mini-Batch 内实例来计算统计量,这在训练时没有问题,但是在模型训练好之后,在线推理的时候会有麻烦。因为在线推理或预测的时候,是单实例的,不存在 Mini-Batch,所以就无法获得 BN 计算所需的均值和方差,一般解决方法是采用训练时刻记录的各个 Mini-Batch 的统计量的数学期望,以此来推算全局的均值和方差,在线推理时采用这样推导出的统计量。虽说实际使用并没大问题,但是确实存在训练和推理时刻统计量计算方法不一致的问题。


上面所列 BN 的四大罪状,表面看是四个问题,其实深入思考,都指向了幕后同一个黑手,这个隐藏在暗处的黑手是谁呢?就是 BN 要求计算统计量的时候必须在同一个 Mini-Batch 内的实例之间进行统计,因此形成了 Batch 内实例之间的相互依赖和影响的关系。如何从根本上解决这些问题?一个自然的想法是:把对 Batch 的依赖去掉,转换统计集合范围。在统计均值方差的时候,不依赖 Batch 内数据,只用当前处理的单个训练数据来获得均值方差的统计量,这样因为不再依赖 Batch 内其它训练数据,那么就不存在因为 Batch 约束导致的问题。在 BN 后的几乎所有改进模型都是在这个指导思想下进行的。


但是这个指导思路尽管会解决 BN 带来的问题,又会引发新的问题,新的问题是:我们目前已经没有 Batch 内实例能够用来求统计量了,此时统计范围必须局限在一个训练实例内,一个训练实例看上去孤零零的无依无靠没有组织,怎么看也无法求统计量,所以核心问题是对于单个训练实例,统计范围怎么算?


Layer Normalization、Instance Normalization 及 Group Normalization


4.1 Layer Normalization


为了能够在只有当前一个训练实例的情形下,也能找到一个合理的统计范围,一个最直接的想法是:MLP 的同一隐层自己包含了若干神经元;同理,CNN 中同一个卷积层包含 k 个输出通道,每个通道包含 m*n 个神经元,整个通道包含了 k*m*n 个神经元;类似的,RNN 的每个时间步的隐层也包含了若干神经元。那么我们完全可以直接用同层隐层神经元的响应值作为集合 S 的范围来求均值和方差。这就是 Layer Normalization 的基本思想。图 11、图 12 和图 13 分示了 MLP、CNN 和 RNN 的 Layer Normalization 的集合 S 计算范围,因为很直观,所以这里不展开详述。


图 11. MLP 中的 LayerNorm


图 12. CNN 中的 LayerNorm


图 13. RNN 中的 LayerNorm


前文有述,BN 在 RNN 中用起来很不方便,而 Layer Normalization 这种在同隐层内计算统计量的模式就比较符合 RNN 这种动态网络,目前在 RNN 中貌似也只有 LayerNorm 相对有效,但 Layer Normalization 目前看好像也只适合应用在 RNN 场景下,在 CNN 等环境下效果是不如 BatchNorm 或者 GroupNorm 等模型的。从目前现状看,动态网络中的 Normalization 机制是非常值得深入研究的一个领域。


4.2 Instance Normalization


从上述内容可以看出,Layer Normalization 在抛开对 Mini-Batch 的依赖目标下,为了能够统计均值方差,很自然地把同层内所有神经元的响应值作为统计范围,那么我们能否进一步将统计范围缩小?对于 CNN 明显是可以的,因为同一个卷积层内每个卷积核会产生一个输出通道,而每个输出通道是一个二维平面,也包含多个激活神经元,自然可以进一步把统计范围缩小到单个卷积核对应的输出通道内部。图 14 展示了 CNN 中的 Instance Normalization,对于图中某个卷积层来说,每个输出通道内的神经元会作为集合 S 来统计均值方差。对于 RNN 或者 MLP,如果在同一个隐层类似 CNN 这样缩小范围,那么就只剩下单独一个神经元,输出也是单值而非 CNN 的二维平面,这意味着没有形成集合 S,所以 RNN 和 MLP 是无法进行 Instance Normalization 操作的,这个很好理解。


图 14 CNN 中的 Instance Normalization


我们回想下图 8 代表的 CNN 中的 Batch Normalization,可以设想一下:如果把 BN 中的 Batch Size 大小设定为 1,此时和 Instance Norm 的图 14 比较一下,是否两者是等价的?也就是说,看上去 Instance Normalization 像是 Batch Normalization 的一种 Batch Size=1 的特例情况。但是仔细思考,你会发现两者还是有区别的,至于区别是什么读者可自行思考。


Instance Normalization 对于一些图片生成类的任务比如图片风格转换来说效果是明显优于 BN 的,但在很多其它图像类任务比如分类等场景效果不如 BN。


4.3 Group Normalization


从上面的 Layer Normalization 和 Instance Normalization 可以看出,这是两种极端情况,Layer Normalization 是将同层所有神经元作为统计范围,而 Instance Normalization 则是 CNN 中将同一卷积层中每个卷积核对应的输出通道单独作为自己的统计范围。那么,有没有介于两者之间的统计范围呢?通道分组是 CNN 常用的模型优化技巧,所以自然而然会想到对 CNN 中某一层卷积层的输出或者输入通道进行分组,在分组范围内进行统计。这就是 Group Normalization 的核心思想,是 Facebook 何凯明研究组 2017 年提出的改进模型。


图 15 展示了 CNN 中的 Group Normalization。理论上 MLP 和 RNN 也可以引入这种模式,但是还没有看到相关研究,不过从道理上考虑,MLP 和 RNN 这么做的话,分组内包含神经元太少,估计缺乏统计有效性,猜测效果不会太好。

 

图 15. CNN 中的 Group Normalization


Group Normalization 在要求 Batch Size 比较小的场景下或者物体检测/视频分类等应用场景下效果是优于 BN 的。


4.4 用一个故事来总结


为了能够更直观地理解四种 Normalization 的异同,大家可以体会下面的故事以做类比:


很久很久以前,在遥远的 L 国内有一个神奇的理发馆,理发馆里面有很多勤劳的理发师,来这里理发的顾客也很奇特,他们所有人都会要求理发师(神经元)理出和其他人差不多长的头发(求均值)。那么和其他人差不多长究竟是多长呢?这可难不倒我们可爱又聪明的理发师,于是理发师把自己最近 24 个小时服务过的顾客(Mini-Batch)进入理发店时的头发长度求个平均值,这个均值就是「和其他人差不多长」的长度。来这里的每个顾客都很满意,时间久了,人们尊称这些理发师为:BatchNorm 理发师。


不幸总是突然的,有一天,理发馆里发生了一件怪事,所有理发师的记忆只能维持 1 分钟,他们再也记不住过去 24 小时中发生的事情了,自然也记不住过去服务客人的头发长度。但是每个顾客仍然要求剪出和其他人差不多长的头发长度,这可怎么办?聪明的理发师们又想出了一个办法:他们相互大声报出同一时刻在理发馆里自己手上客人的头发长度,每个理发师就可以用这些人的头发长度均值作为满足自己手上客人条件的长度。尽管这是一群得了失忆综合证的理发师,但是顾客对他们的服务仍然非常满意,于是人们改称他们为:LayerNorm 理发师。


不幸总是突然的,有一天,理发馆里又发生了一件怪事,理发师们不仅得了失忆症,这次都突然失聪,再也听不到其它理发师的口头通知,而固执的客人仍然坚持要理出「和其他人差不多长」的头发。对了,忘了介绍了,理发馆是有隔间的,每个隔间有 K 个理发师同时给顾客理发,虽然我们可爱又聪明的理发师现在失忆又失聪,但是再大的困难也难不倒也叫不醒这群装睡的人,他们醒来后群策群力又发明了一个新方法:同一个隔间的理发师通过相互打手势来通知其它理发师自己手上顾客的头发长度。于是同一个隔间的理发师又可以剪出顾客满意的头发了。人们称这些身残志坚的理发师为:GroupNorm 理发师。


不幸总是突然的,有一天,理发馆里又发生了一件怪事,不过这次不是天灾是人祸,理发馆老板出于好心,给每位理发师单独开个办公室给顾客理发,但是好心办了坏事,这样一来,失忆失聪又无法相互打手势的理发师们怎么应对顽固的顾客呢?怎样才能继续理出「和其他人差不多长」的头发呢?想必一般人这个时候基本无路可走了,但是我们可爱又聪明,同时失聪又失忆的理发师仍然想出了解决办法:他们看了看客人头上的头发,发现不同地方有长有短,于是就把同一个客人所有头发的平均长度作为难题的答案(CNN 的 InstanceNorm)。听起来这个解决方案匪夷所思,但是出人意料的是,有些客人居然仍然非常满意。人们管这些传说中的神奇理发师为:InstanceNorm 理发师。


Normalization 操作的 Re-Scaling 不变性


我们知道,当神经网络深度加深时,训练有较大困难,往往其原因在于随着网络加深,在反向传播训练模型时,存在梯度爆炸或者梯度消失问题,Loss 信息不能有效传导到低层神经网络参数,所以导致参数无法更新,模型无法收敛或者收敛速度慢。而很多环节可能导致梯度爆炸或者梯度消失问题,比如非线性函数及其导数是什么形式以及网络参数是否过大过小等,以非线性函数来说,比如 RELU 是能极大缓解这个问题的(因为它的导数是个常数),这也是为何目前 RELU 大行其道的根本原因。从神经网络参数角度看,如果神经网络中的参数具备 Re-Scaling 不变性,意味着参数值过大或者过小对神经元输出没什么影响,无疑这对缓解梯度爆炸或者梯度消失也有极大帮助作用,而 Normalization 确实具备几个不同角度的 Re-Scaling 不变性,这也许是 Normalization 为何应用在深度学习有效的原因之一,虽然可能并非本质原因。本节即讲述 Normalization 为何具备 Re-Scaling 不变性这种优良特性。


我们考虑神经网络中的三种 Re-Scaling 情形:权重向量(Weight Vector)Re-Scaling,数据 Re-Scaling 和权重矩阵(Weight Matrix)Re-Scaling。


图 16. 权重向量 Re-Scaling


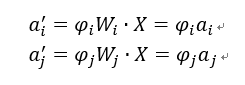
对于网络中某个神经元 i 来说,其对应的边权重向量假设为 W_i,所谓权重向量(Weight Vector)Re-Scaling,就是将 W_i 乘上一个缩放因子φ,如果神经元 i 在进行权重向量 Re-Scaling 之前和之后两种不同情况下做 Normalization 操作,若 Normalization 之后神经元 i 对应的激活值没发生变化,我们就说这种 Normalization 具备权重向量 Re-Scaling 不变性(参考图 16)。


图 17. 数据 Re-Scaling


所谓数据 Re-Scaling,指的是把输入 X 乘上一个缩放因子φ,同样的,如果对输入做缩放前后两种情况下进行 Normalization 操作,若 Normalization 之后所有隐层神经元对应的激活值没发生变化,我们说这种 Normalization 具备数据 Re-Scaling 不变性(参考图 17)。


图 18. 权重矩阵 Re-Scaling


而权重矩阵 Re-Scaling 指的是:对于某两个隐层(L 层 vs L+1 层)之间的所有边的权重参数 W_ij 同时乘上相同的缩放因子φ,如果在权重矩阵 Re-Scaling 之前和之后两种情形下对 (L+1) 层隐层神经元做 Normalization 操作,若两种情况下隐层所有神经元激活值没有变化,我们说这种 Normalization 具备权重矩阵 Re-Scaling 不变性(参考图 18)。


在了解了三种 Re-Scaling 的含义及 Normalization 对应的三种不变性特性后,我们先归纳各种 Normalization 操作所对应的三种 Re-Scaling 的不变性特性如下表所示(Layer Normalization 原始论文分析了 LayerNorm 及 BatchNorm 的 Re-Scaling 不变性,本文作者补充了 InstanceNorm 及 GroupNorm 的情况以及细化了推导过程):


由表中可见,这四种不同的 Normalization 操作都同时具备权重矩阵 Re-Scaling 不变性和数据 Re-Scaling 不变性,但是不同的操作在权重向量 Re-Scaling 不变性这方面有差异,Batch Norm 和 Instance Norm 具备权重向量 Re-Scaling 不变性,而另外两种 Normalization 不具备这个特性。


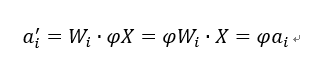
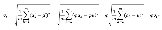
我们以 Batch Normalization 为例来说明为何 BN 具备权重向量 Re-Scaling 不变性。

 对于某个神经元 i 的激活 a 来说,其值为:

a_i=W_i∙X+b_i

(对于 MLP 和 CNN 来说,是一样的,都是这个公式,区别在于 CNN 是局部连接,MLP 是全局连接,也就是说只有 W_i 的数量规模不同而已。)其中,W_i 是与神经元 i 相连的边权重向量(Weight Vector),X 是输入数据或是多层网络中前一层的输出向量,b_i 是偏置。我们可以把偏置看作输入数据值为 1 的特殊边的权重,所以可以并入前项,简写上述公式为:

a_i=W_i∙X


现在假设我们开始 re-scale 边权重向量 W_i,使得这些边的权重缩放因子为φ,其对应的新的激活得到相同的缩放比例:

而边的权重缩放后对应的均值变为:


也就是说均值也被同比例缩放,这里的关键是因为 BN 的统计量取值范围是来自于同一个 Mini-Batch 的实例,所以经过的是用一个神经元,于是对应了相同的边权重向量,那么缩放因子相同,就可以提到求和公式之外。


类似的,如果我们忽略噪音因子,边权重缩放后对应的方差变为:

可见方差也被同比例缩放,因为

这是为何说 BN 具备权重向量 Re-Scaling 不变性的原因。


类似的,BN 也具备数据 Re-Scaling 不变性,其推导过程与上述推导过程基本一样。

因为如果将原始输入 X 乘以缩放因子φ,等价于某个神经元 i 的激活变为

其余推导类似上述的权重向量 ReScaling 的后续推导过程,其对应的均值和方差也会同比例缩放,于是得到了 BN 的数据 Re-Scaling 不变性。


同样的,很容易推出 BN 也具备权重矩阵 Re-Scaling 不变性,因为权重矩阵中所有边权重会使用相同的缩放因子φ,意味着某个隐层所有神经元对应的权重向量都使用相同的缩放因子,而在进行 BN 操作时,同隐层内的神经元相互独立没什么关系,因为上面推导了对于某个神经元 i 来说,其具备权重向量 Re-Scaling 不变性, 所以对于所有隐层神经元来说,整个权重矩阵缩放后,任意神经元的激活与未缩放时相同,所以 BN 具备权重矩阵 Re-Scaling 不变性。


对于其它三类 Normalization,也就是 Layer Norm/Instance Norm/Group Norm 来说,都同时具备权重矩阵 Re-Scaling 不变性及数据 Re-Scaling 不变性,推导过程也与上述推导过程类似,此处不赘述。


那么为何 Layer Norm 不具备权重向量 Re-Scaling 不变性呢?因为 Layer Norm 是在同隐层的神经元之间求统计量,我们考虑一种比较极端的情况,假设 MLP 的隐层只包含两个神经元:神经元 i 和神经元 j,而神经元 i 对应的边权重向量 W_i 缩放因子是φ_i,神经元 j 对应的边权重向量 W_j 缩放因子是φ_j。于是得出各自经过缩放后的激活值为:

对应的缩放后的均值为:

均值是无法提出公共缩放因子的,类似的方差也提不出公共缩放因子,所以不具备权重向量 Re-Scaling 不变性。那这又是为什么呢?根本原因是要进行求统计量计算的范围不是同一个神经元,而是不同的神经元,而每个神经元对应权重向量缩放因子不同,所以难以抽出公共缩放因子并相互抵消。除非同一隐层所有隐层神经元共享相同的缩放因子,这个情形其实就是权重矩阵 Re-Scaling 能够满足的条件,所以可以看出 Layer Norm 具备权重矩阵 Re-Scaling 不变性而不具备权重向量 Re-Scaling 不变性。Group Norm 也是类似情况。


Batch Normalization 为何有效

 

正如上文所述,BN 在提出后获得了巨大的成功,目前在各种深度学习场景下广泛应用,因为它能加快神经网络收敛速度,不再依赖精细的参数初始化过程,可以使用较大的学习率等很多好处,但是我们应该意识到,所讲的这些好处仅仅是引用 BN 带来的结果,那么更深层次的问题是:为什么 BN 能够给深度学习带来如此多的优点呢?它背后起作用的深层原因是什么呢?上文尽管从 Normalization 操作的 Re-Scaling 不变性角度有所说明,但其实还有更深层或更本质的原因。


原始的 BN 论文给出的解释是 BN 可以解决神经网络训练过程中的 ICS(Internal Covariate Shift)问题,所谓 ICS 问题,指的是由于深度网络由很多隐层构成,在训练过程中由于底层网络参数不断变化,导致上层隐层神经元激活值的分布逐渐发生很大的变化和偏移,而这非常不利于有效稳定地训练神经网络。

 

图 19. BN 和 ICS 问题的关系


但是能够解决 ICS 问题其实并不是 BN 为何有效背后真正的原因,最近有一些研究对此作了探讨。那么 ICS 问题真实存在吗?ICS 问题在较深的网络中确实是普遍存在的,但是这并非导致深层网络难以训练的根本原因。另外,BN 解决了 ICS 问题了吗?其实也没有。实验一方面证明:即使是应用了 BN,网络隐层中的输出仍然存在严重的 ICS 问题;另一方面也证明了:在 BN 层输出后人工加入噪音模拟 ICS 现象,并不妨碍 BN 的优秀表现(参考图 19)。这两方面的证据互相佐证来看的话,其实侧面说明了 BN 和 ICS 问题并没什么关系。


图 20. 损失曲面


那么 BN 有效的真正原因到底是什么呢?这还要从深度网络的损失曲面(Loss Surface)说起,在深度网络叠加大量非线性函数方式来解决非凸复杂问题时,损失曲面形态异常复杂,大量空间坑坑洼洼相当不平整(参考图 20),也有很多空间是由平坦的大量充满鞍点的曲面构成,训练过程就是利用 SGD 在这个复杂平面上一步一步游走,期望找到全局最小值,也就是曲面里最深的那个坑。所以在 SGD 寻优时,在如此复杂曲面上寻找全局最小值而不是落入局部最小值或者被困在鞍点动弹不得,可想而知难度有多高。


有了损失曲面的基本概念,我们回头来看为何 BN 是有效的。研究表明,BN 真正的用处在于:通过上文所述的 Normalization 操作,使得网络参数重整(Reparametrize),它对于非线性非凸问题复杂的损失曲面有很好的平滑作用,参数重整后的损失曲面比未重整前的参数损失曲面平滑许多。我们可以用 L-Lipschitz 函数来评估损失曲面的平滑程度,L-Lipschitz 函数定义如下:

含义也很直观,对于定义区间内的任意取值 x_1 和 x_2,用它们的距离去和经过函数映射后的值(就是深度网络表达的损失函数)的距离进行比较,如果存在值 L 满足上述公式条件,也就是说函数映射后的距离一定在任意两个 x 差值的 L 倍以内,那么这个函数称为 L-Lipschitz 函数。而 L 的大小代表了函数曲面的平滑程度,很明显,L 越小曲面越平滑,L 越大,则曲面越凹凸不平,时而高峰时而波谷不断颠倒跳跃。举个例子,假设你一出门迈出一步才 1 米,就突然掉到一个 100 米深的深沟,那么要满足公式条件,L 最小得是 100;而假设你一出门迈出一步踏上了一个 0.3 米的小台阶,那么 L 最小等于 0.3 即可。


图 21. 带 BN 与不带 BN 操作的 L-Lipschitz 情况


图 21 展示了用 L-Lipschitz 函数来衡量采用和不采用 BN 进行神经网络训练时两者的区别,可以看出未采用 BN 的训练过程中,L 值波动幅度很大,而采用了 BN 后的训练过程 L 值相对比较稳定且值也比较小,尤其是在训练的初期,这个差别更明显。这证明了 BN 通过参数重整确实起到了平滑损失曲面及梯度的作用。


前文提到了 Normalization 对参数的 Re-Scaling 不变性,这也是参数重整达到的效果之一,所以也许其 Re-Scaling 特性和 Loss 曲面平滑作用是 Normalization 的一体两面,共同发挥作用或者其实本身是一回事。事实的真相很可能是:Normalization 通过对激活值进行正态分布化的参数重整,产生参数 Re-Scaling 不变的效果,因此缓解梯度消失或梯度爆炸问题,与其对应的重整后的损失曲面及梯度也因此变得更平滑,更有利于 SGD 寻优找到问题好的解决方案。当然这只是本文作者根据几方面研究现状做出的推测,目前并没有相关实证研究,还请读者谨慎对待此观点。


结束语


本文归纳了目前深度学习技术中针对神经元进行 Normalization 操作的若干种模型,可以看出,所有模型都采取了类似的步骤和过程,将神经元的激活值重整为均值为 0 方差为 1 的新数值,最大的不同在于计算统计量的神经元集合 S 的划分方法上。BN 采用了同一个神经元,但是来自于 Mini-Batch 中不同训练实例导致的不同激活作为统计范围。而为了克服 Mini-Batch 带来的弊端,后续改进方法抛弃了 Mini-Batch 的思路,只用当前训练实例引发的激活来划分集合 S 的统计范围,概括而言,LayerNorm 采用同隐层的所有神经元;InstanceNorm 采用 CNN 中卷积层的单个通道作为统计范围,而 GroupNorm 则折衷两者,采用卷积层的通道分组,在划分为同一个分组的通道内来作为通道范围。


至于各种 Normalization 的适用场景,可以简洁归纳如下:对于 RNN 的神经网络结构来说,目前只有 LayerNorm 是相对有效的;如果是 GAN 等图片生成或图片内容改写类型的任务,可以优先尝试 InstanceNorm;如果使用场景约束 BatchSize 必须设置很小,无疑此时考虑使用 GroupNorm;而其它任务情形应该优先考虑使用 BatchNorm。


看上去其实 Normalization 的各种改进模型思路都很直观,问题是:还有其它划分集合 S 的方法吗?很明显还有很多种其它方法,建议读者可以仔细思考下这个问题,如果你能找到一种新的集合划分方法且证明其有效,那么恭喜你,这意味着你找到了一种新的 Normalization 模型。还等什么,赶紧去发现它们吧。


参考文献:


Sergey Ioffe etc. Batch Normalization: Accelerating Deep Network Training by Reducing Internal Covariate Shift. 2015.

Jimmy Lei Ba etc. Layer Normalization. 2016.

Dmitry Ulyanov etc. Instance Normalization: The Missing Ingredient for Fast Stylization. 2016.

Yuxin Wu etc. Group Normalization.2018.

Tim Salimans etc. Weight Normalization: A Simple Reparameterization to Accelerate Training of Deep Neural Networks.2016.

Shibani Santurkar etc. How Does Batch Normalization Help Optimization? 2018.

Johan Bjorck etc. Understanding Batch Normalization. 2018


作者简介:张俊林,中国中文信息学会理事,目前在新浪微博 AI Lab 担任资深算法专家。在此之前,张俊林曾经在阿里巴巴任资深技术专家,以及在百度和用友担任技术经理及技术总监等职务。同时他是技术书籍《这就是搜索引擎:核心技术详解》(该书荣获全国第十二届输出版优秀图书奖)、《大数据日知录:架构与算法》的作者。



本文为机器之心专栏,转载请联系本公众号获得授权

✄------------------------------------------------

加入机器之心(全职记者 / 实习生):hr@jiqizhixin.com

投稿或寻求报道:content@jiqizhixin.com

广告 & 商务合作:bd@jiqizhixin.com

登录查看更多
0

相关内容

专知会员服务
81+阅读 · 2020年6月20日
【干货书】高级应用深度学习,294页pdf
专知会员服务
154+阅读 · 2020年6月20日
专知会员服务
74+阅读 · 2020年5月21日
【CVPR 2020-商汤】8比特数值也能训练卷积神经网络模型
专知会员服务
26+阅读 · 2020年5月7日
【伯克利】再思考 Transformer中的Batch Normalization
专知会员服务
41+阅读 · 2020年3月21日
专知会员服务
45+阅读 · 2020年3月6日
【经典书】精通机器学习特征工程,中文版,178页pdf
专知会员服务
360+阅读 · 2020年2月15日
谷歌机器学习速成课程中文版pdf
专知会员服务
147+阅读 · 2019年12月4日
深度学习面试100题(第41-45题)
七月在线实验室
15+阅读 · 2018年7月18日
详解深度学习中的Normalization,不只是BN(1)
PaperWeekly
5+阅读 · 2018年2月6日
干货|深度神经网络(DNN)反向传播算法(BP)
全球人工智能
7+阅读 · 2018年1月12日
干货|代码原理教你搞懂SGD随机梯度下降、BGD、MBGD
机器学习研究会
12+阅读 · 2017年11月25日
【教程】如何估算深度神经网络的最优学习率
GAN生成式对抗网络
5+阅读 · 2017年11月18日
Layer Normalization原理及其TensorFlow实现
深度学习每日摘要
32+阅读 · 2017年6月17日
RNN | RNN实践指南(3)
KingsGarden
7+阅读 · 2017年6月5日
On Feature Normalization and Data Augmentation
Arxiv
15+阅读 · 2020年2月25日
Arxiv
5+阅读 · 2019年8月22日
Arxiv
6+阅读 · 2019年7月29日
Single-frame Regularization for Temporally Stable CNNs
Arxiv
7+阅读 · 2018年3月22日
VIP会员
相关VIP内容
专知会员服务
81+阅读 · 2020年6月20日
【干货书】高级应用深度学习,294页pdf
专知会员服务
154+阅读 · 2020年6月20日
专知会员服务
74+阅读 · 2020年5月21日
【CVPR 2020-商汤】8比特数值也能训练卷积神经网络模型
专知会员服务
26+阅读 · 2020年5月7日
【伯克利】再思考 Transformer中的Batch Normalization
专知会员服务
41+阅读 · 2020年3月21日
专知会员服务
45+阅读 · 2020年3月6日
【经典书】精通机器学习特征工程,中文版,178页pdf
专知会员服务
360+阅读 · 2020年2月15日
谷歌机器学习速成课程中文版pdf
专知会员服务
147+阅读 · 2019年12月4日
相关资讯
深度学习面试100题(第41-45题)
七月在线实验室
15+阅读 · 2018年7月18日
详解深度学习中的Normalization,不只是BN(1)
PaperWeekly
5+阅读 · 2018年2月6日
干货|深度神经网络(DNN)反向传播算法(BP)
全球人工智能
7+阅读 · 2018年1月12日
干货|代码原理教你搞懂SGD随机梯度下降、BGD、MBGD
机器学习研究会
12+阅读 · 2017年11月25日
【教程】如何估算深度神经网络的最优学习率
GAN生成式对抗网络
5+阅读 · 2017年11月18日
Layer Normalization原理及其TensorFlow实现
深度学习每日摘要
32+阅读 · 2017年6月17日
RNN | RNN实践指南(3)
KingsGarden
7+阅读 · 2017年6月5日
相关论文
On Feature Normalization and Data Augmentation
Arxiv
15+阅读 · 2020年2月25日
Arxiv
5+阅读 · 2019年8月22日
Arxiv
6+阅读 · 2019年7月29日
Single-frame Regularization for Temporally Stable CNNs
Arxiv
7+阅读 · 2018年3月22日
Top
微信扫码咨询专知VIP会员