程序员必读:摸清hash表的脾性

2017 年 9 月 6 日 CSDN 张炎泼

作者:张炎泼(XP),白山云科技合伙人兼研发副总裁,绰号XP。

张炎泼先生于2016年加入白山云科技,主要负责对象存储研发、数据跨机房分布和修复问题解决等工作。以实现100PB级数据存储为目标,其带领团队完成全网分布存储系统的设计、实现与部署工作,将数据“冷”“热”分离,使冷数据成本压缩至1.2倍冗余度。

张炎泼先生2006年至2015年,曾就职于新浪,负责Cross-IDC PB级云存储服务的架构设计、协作流程制定、代码规范和实施标准制定及大部分功能实现等工作,支持新浪微博、微盘、视频、SAE、音乐、软件下载等新浪内部存储等业务;2015年至2016年,于美团担任高级技术专家,设计了跨机房的百PB对象存储解决方案:设计和实现高并发和高可靠的多副本复制策略,优化Erasure Code降低90%IO开销。


软件开发中,一个hash表相当于把n个key随机放入到b个bucket中,以实现n个数据在b个单位空间的存储。


我们发现hash表中存在一些有趣现象:


hash表中key的分布规律


当hash表中key和bucket数量一样时(n/b=1):


  • 37% 的bucket是空的

  • 37% 的bucket里只有1个key

  • 26% 的bucket里有1个以上的key(hash冲突)


下图直观的展示了当n=b=20时,hash表里每个bucket中key的数量(按照key的数量对bucket做排序):



往往我们对hash表的第一感觉是:如果将key随机放入所有的bucket,bucket中key的数量较为均匀,每个bucket里key数量的期望是1。


而实际上,bucket里key的分布在n较小时非常不均匀;当n增大时,才会逐渐趋于平均。


key的数量对3类bucket数量的影响


下表表示当b不变,n增大时,n/b的值如何影响3类bucket的数量占比(冲突率即含有多于1个key的bucket占比):



更直观一点,我们用下图来展示空bucket率和冲突率随n/b值的变化趋势:



key数量对bucket均匀程度的影响


上面几组数字是当n/b较小时有意义的参考值,但随n/b逐渐增大,空bucket与1个key的bucket数量几乎为0,绝大多数bucket含有多个key。


当n/b超过1(1个bucket允许存储多个key), 我们主要观察的对象就转变成bucket里key数量的分布规律。


下表表示当n/b较大,每个bucket里key的数量趋于均匀时,不均匀的程度是多少。

为了描述这种不均匀的程度,我们使用bucket中key数量的最大值和最小值之间的比例((most-fewest)/most)来表示。


下表列出了b=100时,随n增大,key的分布情况。



可以看出,随着bucket里key平均数量的增加,其分布的不均匀程度也逐渐降低。


和空bucket或1个key的bucket的占比不同n/b,均匀程度不仅取决于n/b的值,也受b值的影响,后面会提到。


未使用统计中常用的均方差法去描述key分布的不均匀程度,是因为软件开发过程中,更多时候要考虑最坏情况下所需准备的内存等资源。


Load Factor:n/b<0.75


hash表中常用一个概念 load factor α=n/b,来描述hash表的特征。


通常,基于内存存储的hash表,它的 n/b ≤0.75。这样设定,既可节省空间,也可以保持key的冲突率相对较低,低冲突率意味着低频率的hash重定位,hash表的插入会更快。


线性探测是一个经常被使用的解决插入时hash冲突的算法,它在1个bucket出现冲突时,按照逐步增加的步长顺序向后查看这个bucket后面的bucket,直到找到1个空bucket。因此它对hash的冲突非常敏感。


在n/b=0.75 这个场景中,如果不使用线性探测(譬如使用bucket内的链表来保存多个key),大约有47% 的bucket是空的;如果使用线性探测,这47%的bucket中,大约一半的bucket会被线性探测填充。


在很多内存hash表的实现中,选择n/b=<=0.75作为hash表的容量上限,不仅是考虑到冲突率随n/b增大而增大,更重要的是线性探测的效率会随着n/b的增大而迅速降低。


hash表特性小贴士:


  • hash表本身是一个通过一定的空间浪费来换取效率的算法。低时间开销(O(1))、低空间浪费、低冲突率,三者不可同时兼得;

  • hash表只适合纯内存数据结构的存储:

    • hash表通过空间浪费换取了访问速度的提升;磁盘的空间浪费是无法忍受的,但对内存的少许浪费是可接受的;

    • hash表只适合随机访问快的存储介质。硬盘上的数据存储更多使用btree或其他有序的数据结构。

  • 多数高级语言(内建hash table、hash set等)都保持 n/b≤<=0.75;

    hash表在n/b较小时,不会均匀分配key。


Load Factor:n/b>1


另外一种hash表的实现,专门用来存储比较多的key,当 n/b>1n/b1.0时,线性探测失效(没有足够的bucket存储每个key)。这时1个bucket里不仅存储1个key,一般在一个bucket内用chaining,将所有落在这个bucket的key用链表连接起来,来解决冲突时多个key的存储。


链表只在n/b不是很大时适用。因为链表的查找需要O(n)的时间开销,对于非常大的n/b,有时会用tree替代链表来管理bucket内的key。


n/b值较大的使用场景之一是:将一个网站的用户随机分配到多个不同的web-server上,这时每个web-server可以服务多个用户。多数情况下,我们都希望这种分配能尽可能均匀,从而有效利用每个web-server资源。


这就要求我们关注hash的均匀程度。因此,接下来要讨论的是,假定hash函数完全随机的,均匀程度根据n和b如何变化。


n/b 越大,key的分布越均匀


当 n/b 足够大时,空bucket率趋近于0,且每个bucket中key的数量趋于平均。每个bucket中key数量的期望是:


avg=n/b


定义一个bucket平均key的数量是100%:bucket中key的数量刚好是n/b,下图分别模拟了 b=20,n/b分别为 10、100、1000时,bucket中key的数量分布。



可以看出,当 n/b 增大时,bucket中key数量的最大值与最小值差距在逐渐缩小。下表列出了随b和n/b增大,key分布的均匀程度的变化:



结论:



计算


上述大部分结果来自于程序模拟,现在我们来解决从数学上如何计算这些数值。


每类bucket的数量



空bucket数量


对于1个key, 它不在某个特定的bucket的概率是 (b−1)/b

所有key都不在某个特定的bucket的概率是( (b−1)/b)n


已知:



空bucket率是:



空bucket数量为:



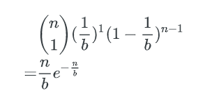
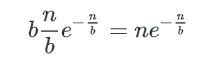
有1个key的bucket数量


n个key中,每个key有1/b的概率落到某个特定的bucket里,其他key以1-(1/b)的概率不落在这个bucket里,因此,对某个特定的bucket,刚好有1个key的概率是:



刚好有1个key的bucket数量为:



多个key的bucket


剩下即为含多个key的bucket数量:



key在bucket中分布的均匀程度


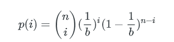
类似的,1个bucket中刚好有i个key的概率是:n个key中任选i个,并都以1/b的概率落在这个bucket里,其他n-i个key都以1-1/b的概率不落在这个bucket里,即:



这就是著名的二项式分布。


我们可通过二项式分布估计bucket中key数量的最大值与最小值。


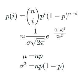
通过正态分布来近似


当 n, b 都很大时,二项式分布可以用正态分布来近似估计key分布的均匀性:


p=1/b,1个bucket中刚好有i个key的概率为:



1个bucket中key数量不多于x的概率是:



所以,所有不多于x个key的bucket数量是:



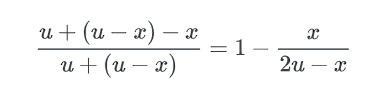
bucket中key数量的最小值,可以这样估算: 如果不多于x个key的bucket数量是1,那么这唯一1个bucket就是最少key的bucket。我们只要找到1个最小的x,让包含不多于x个key的bucket总数为1, 这个x就是bucket中key数量的最小值。


计算key数量的最小值x


一个bucket里包含不多于x个key的概率是:



Φ(x) 是正态分布的累计分布函数,当x-μ趋近于0时,可以使用以下方式来近似:



这个函数的计算较难,但只是要找到x,我们可以在[0~μ]的范围内逆向遍历x,以找到一个x 使得包含不多于x个key的bucket期望数量是1。



x可以认为这个x就是bucket里key数量的最小值,而这个hash表中,不均匀的程度可以用key数量最大值与最小值的差异来描述: 因为正态分布是对称的,所以key数量的最大值可以用 μ + (μ-x) 来表示。最终,bucket中key数量最大值与最小值的比例就是:



(μ是均值n/b)


程序模拟


以下python脚本模拟了key在bucket中分布的情况,同时可以作为对比,验证上述计算结果。


import sys

import math

import time

import hashlib


def normal_pdf(x, mu, sigma):

    x = float(x)

    mu = float(mu)


    m = 1.0 / math.sqrt( 2 * math.pi ) / sigma

    n = math.exp(-(x-mu)**2 / (2*sigma*sigma))


return m * n


def normal_cdf(x, mu, sigma):

    # integral(-oo,x)


    x = float(x)

    mu = float(mu)

    sigma = float(sigma)


    # to standard form

    x = (x - mu) / sigma


    s = x

    v = x

    for i in range(1, 100):

        v = v * x * x / (2*i+1)

        s += v


    return 0.5 + s/(2*math.pi)**0.5 * math.e ** (-x*x/2)

def difference(nbucket, nkey):


    nbucket, nkey= int(nbucket), int(nkey)


    # binomial distribution approximation by normal distribution

    # find the bucket with minimal keys.

    #

    # the probability that a bucket has exactly i keys is:

    #   # probability density function

    #   normal_pdf(i, mu, sigma)

    #

    # the probability that a bucket has 0 ~ i keys is:

    #   # cumulative distribution function

    #   normal_cdf(i, mu, sigma)

    #

    # if the probability that a bucket has 0 ~ i keys is greater than 1/nbucket, we

    # say there will be a bucket in hash table has:

    # (i_0*p_0 + i_1*p_1 + ...)/(p_0 + p_1 + ..) keys.

    p = 1.0 / nbucket

    mu = nkey * p

    sigma = math.sqrt(nkey * p * (1-p))


    target = 1.0 / nbucket

    minimal = mu

    while True:


        xx = normal_cdf(minimal, mu, sigma)

        if abs(xx-target) < target/10:

            break


        minimal -= 1


    return minimal, (mu-minimal) * 2 / (mu + (mu - minimal))

def difference_simulation(nbucket, nkey):


    t = str(time.time())

    nbucket, nkey= int(nbucket), int(nkey)


    buckets = [0] * nbucket


    for i in range(nkey):

        hsh = hashlib.sha1(t + str(i)).digest()

        buckets[hash(hsh) % nbucket] += 1


    buckets.sort()

    nmin, mmax = buckets[0], buckets[-1]


    return nmin, float(mmax - nmin) / mmax

if __name__ == "__main__":


    nbucket, nkey= sys.argv[1:]


    minimal, rate = difference(nbucket, nkey)

    print 'by normal distribution:'

    print '     min_bucket:', minimal

    print '     difference:', rate


    minimal, rate = difference_simulation(nbucket, nkey)

    print 'by simulation:'

    print '     min_bucket:', minimal

    print '     difference:', rate


登录查看更多
0

相关内容

【2020新书】从Excel中学习数据挖掘,223页pdf
专知会员服务
93+阅读 · 2020年6月28日
最新《自动微分手册》77页pdf
专知会员服务
103+阅读 · 2020年6月6日
【资源】100+本免费数据科学书
专知会员服务
108+阅读 · 2020年3月17日
【经典书】Python数据数据分析第二版,541页pdf
专知会员服务
197+阅读 · 2020年3月12日
【干货】大数据入门指南:Hadoop、Hive、Spark、 Storm等
专知会员服务
98+阅读 · 2019年12月4日
最全Python算法实现资源汇总!
AI100
3+阅读 · 2019年5月13日
100行Python代码,轻松搞定神经网络
大数据文摘
4+阅读 · 2019年5月2日
Python 杠上 Java、C/C++,赢面有几成?
CSDN
6+阅读 · 2018年4月12日
一文让你入门CNN,附3份深度学习视频资源
机器学习算法与Python学习
12+阅读 · 2018年3月10日
已删除
生物探索
3+阅读 · 2018年2月10日
无问西东,只问哈希
线性资本
3+阅读 · 2018年1月18日
优化哈希策略
ImportNew
5+阅读 · 2018年1月17日
A survey on deep hashing for image retrieval
Arxiv
15+阅读 · 2020年6月10日
Arxiv
9+阅读 · 2018年5月7日
Arxiv
5+阅读 · 2018年5月1日
Arxiv
5+阅读 · 2018年3月28日
Arxiv
13+阅读 · 2018年1月11日
VIP会员
相关资讯
最全Python算法实现资源汇总!
AI100
3+阅读 · 2019年5月13日
100行Python代码,轻松搞定神经网络
大数据文摘
4+阅读 · 2019年5月2日
Python 杠上 Java、C/C++,赢面有几成?
CSDN
6+阅读 · 2018年4月12日
一文让你入门CNN,附3份深度学习视频资源
机器学习算法与Python学习
12+阅读 · 2018年3月10日
已删除
生物探索
3+阅读 · 2018年2月10日
无问西东,只问哈希
线性资本
3+阅读 · 2018年1月18日
优化哈希策略
ImportNew
5+阅读 · 2018年1月17日
Top
微信扫码咨询专知VIP会员