论文浅尝 | 基于知识图谱嵌入的 Bootstrapping 实体对齐方法

2019 年 1 月 5 日 开放知识图谱

来源: IJCAI 2018

链接: https://www.ijcai.org/proceedings/2018/0611.pdf

 

本文关注基于知识图谱嵌入(后文全部简称为知识嵌入)的实体对齐工作,针对知识嵌入训练数据有限这一情况,作者提出一种 bootstrapping 策略,迭代标注出可能的实体对齐,生成新数据加入知识嵌入模型的训练中。但是,当模型生产了错误的实体对齐时,这种错误将会随着迭代次数的增加而累积的越来越多。为了控制错误累积,作者设计了一种对齐样本编辑方法,对每次迭代生成的对齐数据加以约束。

 

动机

目前面向知识库的实体对齐研究中,基于知识嵌入的方法取得了比传统策略更好的实验效果。但是对于知识嵌入的实体对齐,仍然存在着一些挑战。

其一:虽然近年单知识库知识嵌入研究成果颇丰,但面向知识对齐的嵌入工作仍有很多待研究的空间。

其二:基于知识嵌入的实体对齐往往依赖已有对齐作为训练数据,虽然有研究表示仅需少量对齐样本即可完成模型训练[Chen et al. 2017],但有限的训练数据依然会影响知识嵌入的质量以及实体对齐准确性。

 

方法

1.对齐引导的知识嵌入

作者将实体对齐视为分类问题,目标就是从基于知识嵌入的实体表示中(包括有标注对齐实体,及无标注实体),找到最有可能的实体对齐(最大对齐似然)

对于知识嵌入,在translation-based的基础上,针对对齐问题,作者对目标函数做出如下改进:

由基本知识嵌入目标函数

引入正负例样本集T+T-,将目标函数改写为:

其中[ f(x) ]+表示max(f(x), 0)gamma_1, gamma_2 >0是两个超参,mu_1 是个平衡参数,这里使用的负例通过随机替换正例中的部分得到。

 

2.Bootstrpping实体对齐方法

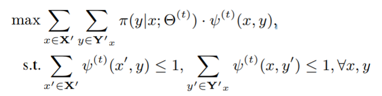
本方法的目的是最大化对齐似然,并符合11的对齐约束,在这种设定下,对于一组实体对齐(x, y)y被视为是x的标签(我个人是这样理解的)。故该问题建模为以下形式:

其中 表示第t次迭代得到的实体嵌入,Y’ 表示对于x存在的候选对齐样本集合。

     是一个标记函数,当(x, y)构成一组对齐的时候其函数值为1,否则为0。当得到新的对齐实体时,将其作为增量添加到训练集中用于下一次迭代。

 

考虑到新生成的对齐样本可能引起矛盾,这里作者使用的策略是对比出现矛盾的对齐实体,取对齐似然更高的样本保留,计算形式为:

结果>0时保留(x, y) ,反之选择(x, y’ )

 

3.利用全局信息

这里的全局信息指全部实体样本存在对齐(有标注)的概率分布情况,作者将其定义为以下表示:

以此为基础,作者构建了一个负对数似然函数,用于强化原始样本中对齐实体对知识嵌入的优化。

添加全局信息函数后,整体目标函数扩充为以下形式:

实验

作者列出了自己的实验配置,并开源代码供读者研究使用

开源地址:https://github.com/nju-websoft/BootEA

数据方面使用DBP15KDWY100K两个数据集

最后,综合实验结果看来,这确实是目前最好的对齐模型。

 

论文笔记整理:谭亦鸣,东南大学博士生,研究兴趣:知识问答,自然语言处理,机器翻译。



OpenKG.CN


中文开放知识图谱(简称OpenKG.CN)旨在促进中文知识图谱数据的开放与互联,促进知识图谱和语义技术的普及和广泛应用。

点击阅读原文,进入 OpenKG 博客。

登录查看更多
17

相关内容

【WWW2020-UIUC】为新闻故事生成具有代表性的标题
专知会员服务
27+阅读 · 2020年3月18日
知识图谱融合方法,140页ppt,南京大学胡伟老师
专知会员服务
145+阅读 · 2020年2月19日
【AAAI2020知识图谱论文概述】Knowledge Graphs @ AAAI 2020
专知会员服务
134+阅读 · 2020年2月13日
论文浅尝 | 基于属性嵌入的知识图谱间实体对齐方法
开放知识图谱
30+阅读 · 2019年3月26日
论文浅尝 | 基于平行新闻的Bootstrapping关系抽取
开放知识图谱
13+阅读 · 2019年3月22日
论文浅尝 | TuckER:基于张量分解的知识图谱补全
开放知识图谱
35+阅读 · 2019年3月17日
论文浅尝 | 基于知识库的类型实体和关系的联合抽取
开放知识图谱
35+阅读 · 2018年12月9日
论文浅尝 | 基于开放世界的知识图谱补全
开放知识图谱
11+阅读 · 2018年7月3日
论文浅尝 | 基于知识图的问答变分推理
开放知识图谱
7+阅读 · 2018年5月6日
论文浅尝 | 基于置信度的知识图谱表示学习框架
开放知识图谱
24+阅读 · 2018年2月27日
Arxiv
92+阅读 · 2020年2月28日
VIP会员
相关资讯
论文浅尝 | 基于属性嵌入的知识图谱间实体对齐方法
开放知识图谱
30+阅读 · 2019年3月26日
论文浅尝 | 基于平行新闻的Bootstrapping关系抽取
开放知识图谱
13+阅读 · 2019年3月22日
论文浅尝 | TuckER:基于张量分解的知识图谱补全
开放知识图谱
35+阅读 · 2019年3月17日
论文浅尝 | 基于知识库的类型实体和关系的联合抽取
开放知识图谱
35+阅读 · 2018年12月9日
论文浅尝 | 基于开放世界的知识图谱补全
开放知识图谱
11+阅读 · 2018年7月3日
论文浅尝 | 基于知识图的问答变分推理
开放知识图谱
7+阅读 · 2018年5月6日
论文浅尝 | 基于置信度的知识图谱表示学习框架
开放知识图谱
24+阅读 · 2018年2月27日
Top
微信扫码咨询专知VIP会员