基于DIou改进的YOLOv3目标检测

2020 年 2 月 8 日 计算机视觉战队

正月是农历的元月,古人称夜为“宵”,所以称正月十五为元宵节。正月十五日是一年中第一个月圆之夜,也是一元复始。

背景&引言

文中指出DIoU要比GIou更加符合目标框回归的机制,将目标与anchor之间的距离,重叠率以及尺度都考虑进去,使得目标框回归变得更加稳定,不会像IoU和GIoU一样出现训练过程中发散等问题,并且方法能够简单地迁移到现有的算法中带来性能的提升,实验在YOLOv3上提升了5.91mAP。

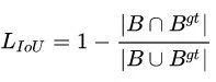
其中B={x,y,w,h} 是预测框,   是 ground-truth。 IoU是目标检测里面很重要的一个指标,通过预测的框和GT间的交集与并集的比例进行计算,经常用于评价bbox的优劣 。但一般对bbox的精调都采用L2范数,而一些研究表明这不是最优化IoU的方法,因此出现了IoU loss

IoU Loss

IoU loss顾名思义就是直接通过IoU计算梯度进行回归,论文提到IoU loss的无法避免的缺点:当两个box无交集时,IoU=0,很近的无交集框和很远的无交集框的输出一样,这样就失去了梯度方向,无法优化。IoU loss的实现形式有很多种,除公式2外,还有UnitBox的交叉熵形式和IoUNet的Smooth-L1形式。

这里论文主要讨论的类似YOLO的检测网络,按照GT是否在cell判断当前bbox是否需要回归,所以可能存在无交集的情况。 而一般的two stage网络,在bbox regress的时候都会卡,   不会对无交集的框进行回归。

GIoU Loss

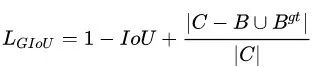
GIou loss在IoU loss的基础上增加一个惩罚项,  为包围预测框  和  的最小区域大小,当bbox的距离越大时,惩罚项将越大。尽管GIoU解决了IoU的梯度问题,但他仍然存在几个限制:

上图可以很好的来说明GIoU不稳定以及收敛很慢的原因。上图中第一行三张图展示的是GIoU的回归过程,其中绿色框为目标框,黑色框为anchor,蓝色框为不同次数的迭代后,anchor的偏移结果。第二行三张图展示的是DIoU的回归过程,其中绿色框为目标框,黑色框为anchor,红色框为不同次数的迭代后,anchor的偏移结果。从图中我们可以看到,GIoU在回归的过程中,从损失函数的形式我们发现,当IoU为0时,GIoU会先尽可能让anchor能够和目标框产生重叠,之后GIoU会渐渐退化成IoU回归策略,因此整个过程会非常缓慢而且存在发散的风险。而DIoU考虑到anchor和目标之间的中心点距离,可以更快更有效更稳定的进行回归。

如上图中的包含情况,GIoU会退化成IoU(三个位置预测框和gt框所包围的最小面积相同,惩罚项c保持一致,梯度发散)。由于很大程度依赖IoU项,GIoU需要更多的迭代次数来收敛,特别是水平和垂直的bbox(后面会分析)。一般地,GIoU loss不能很好地收敛SOTA算法,反而造成不好的结果。

综合上面的分析,论文提出Distance-IoU(DIoU) loss,简单地在IoU loss基础上添加一个惩罚项,该惩罚项用于最小化两个bbox的中心点距离。如图1所示,DIoU收敛速度和效果都很好,而且DIoU能够用于NMS的计算中,不仅考虑了重叠区域,还考虑了中心点距离。另外,论文考虑bbox的三要素,重叠区域,中心点距离和长宽比,进一步提出了Complete IoU(CIoU) loss,收敛更快,效果更好。

知识回顾

IoU and GIoU Losses

为了全面地分析IoU loss和GIoU的性能,论文进行了模拟实验,模拟不同的距离、尺寸和长宽比的bbox的回归情况,如下图所示:

  • 绿色框代表仿真实验需要回归的七个不同尺度的目标框,七个目标框的中心点坐标都是(10 * 10);

  • 蓝色的点代表了所有anchor的中心点,中心点的分布如上图所示,各个方向都有,各种距离都有,当然每个anchor的一个中心点都包含有七个不同面积的anchor框。而且每个面积的anchor框又有七种不同的比例尺寸。因此一共有5000个蓝色点,对应5000*7*7个anchor框,并且每个anchor框都需要回归到七个gt目标框上,因此一共有5000*7*7*7个回归案例。

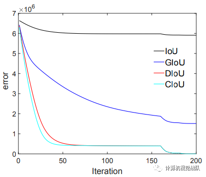
最终的实验结果如下:图中展示的训练同样的步数后(200步),IoU,GIoU以及本文提出的DIoU、CIoU作为loss的情况下,每个anchor的误差分布。

  • IoU:从IoU误差的曲线我们可以发现,anchor越靠近边缘,误差越大,那些与目标框没有重叠的anchor基本无法回归;

  • GIoU:从GIoU误差的曲线我们可以发现,对于一些没有重叠的anchor,GIoU的表现要比IoU更好。但是由于GIoU仍然严重的依赖IoU,因此在两个垂直方向,误差很大,基本很难收敛,这就是GIoU不稳定的原因;

  • DIoU:从DIoU误差的曲线我们可以发现,对于不同距离,方向,面积和比例的anchor,DIoU都能做到较好的回归。

具体伪算法步骤如下:

对于预测框  ,当前迭代(current iteration epochs = t)回合,  可以通过下式获得:

给定一个loss函数  ,可以通过梯度下降来模拟bbox优化的过程。对于预测的bbox  , 为阶段的结果,(  )'为  对  的梯度,使用  来加速收敛。bbox的优化评价使用 -norm,共训练200轮,error曲线如下图所示:

论文将5000个中心点上的bbox在最后阶段的total error进行了可视化。IoU loss只对与target box有交集的bbox有效,因为无交集的bbox的梯度为0。而GIoU由于增加了惩罚函数,中间大部分区域错误率明显减少,但是垂直和水平的区域依然保持着高的error,这是由于GIoU的惩罚项经常很小甚至为0,导致训练需要更多的迭代来收敛。

通知

今天先到这里,明天继续说新的算法框架,望大家一起进群学习讨论,分享知识。

加入“计算机视觉战队”,一起学习!

如果想加入我们“计算机视觉战队”,请扫二维码加入学习群。计算机视觉战队主要涉及机器学习、深度学习等领域,由来自于各校的硕博研究生组成的团队,主要致力于人脸检测、人脸识别,多目标检测、目标跟踪、图像分割等研究方向。

我们开创一段时间的“ 计算机视觉协会 ”知识星球,也得到很多同学的认可,我们定时会推送实践型内容与大家分享,在星球里的同学可以随时提问,随时提需求,我们都会及时给予回复及给出对应的答复。

登录查看更多
1

相关内容

深度学习目标检测方法及其主流框架综述
专知会员服务
148+阅读 · 2020年6月26日
【文献综述】深度学习目标检测方法及其主流框架综述
专知会员服务
119+阅读 · 2020年6月26日
基于深度学习的表面缺陷检测方法综述
专知会员服务
94+阅读 · 2020年5月31日
专知会员服务
164+阅读 · 2020年4月21日
【CVPR2020】MSG-GAN:用于稳定图像合成的多尺度梯度GAN
专知会员服务
29+阅读 · 2020年4月6日
密歇根大学《20年目标检测综述》
专知会员服务
99+阅读 · 2019年10月13日
CVPR 2019:精确目标检测的不确定边界框回归
AI科技评论
13+阅读 · 2019年9月16日
目标检测中边界框的回归策略
极市平台
17+阅读 · 2019年9月8日
最新Anchor-Free目标检测模型—FoveaBox
PaperWeekly
6+阅读 · 2019年4月29日
Fast R-CNN
数据挖掘入门与实战
3+阅读 · 2018年4月20日
期待已久的—YOLO V3
计算机视觉战队
20+阅读 · 2018年4月13日
基于深度学习的图像目标检测(下)
机器学习研究会
12+阅读 · 2018年1月1日
论文 | YOLO(You Only Look Once)目标检测
七月在线实验室
14+阅读 · 2017年12月12日
Arxiv
5+阅读 · 2019年4月8日
Arxiv
8+阅读 · 2018年4月8日
Arxiv
7+阅读 · 2018年3月19日
Arxiv
8+阅读 · 2018年1月12日
Arxiv
5+阅读 · 2016年12月29日
VIP会员
相关VIP内容
深度学习目标检测方法及其主流框架综述
专知会员服务
148+阅读 · 2020年6月26日
【文献综述】深度学习目标检测方法及其主流框架综述
专知会员服务
119+阅读 · 2020年6月26日
基于深度学习的表面缺陷检测方法综述
专知会员服务
94+阅读 · 2020年5月31日
专知会员服务
164+阅读 · 2020年4月21日
【CVPR2020】MSG-GAN:用于稳定图像合成的多尺度梯度GAN
专知会员服务
29+阅读 · 2020年4月6日
密歇根大学《20年目标检测综述》
专知会员服务
99+阅读 · 2019年10月13日
相关资讯
CVPR 2019:精确目标检测的不确定边界框回归
AI科技评论
13+阅读 · 2019年9月16日
目标检测中边界框的回归策略
极市平台
17+阅读 · 2019年9月8日
最新Anchor-Free目标检测模型—FoveaBox
PaperWeekly
6+阅读 · 2019年4月29日
Fast R-CNN
数据挖掘入门与实战
3+阅读 · 2018年4月20日
期待已久的—YOLO V3
计算机视觉战队
20+阅读 · 2018年4月13日
基于深度学习的图像目标检测(下)
机器学习研究会
12+阅读 · 2018年1月1日
论文 | YOLO(You Only Look Once)目标检测
七月在线实验室
14+阅读 · 2017年12月12日
Top
微信扫码咨询专知VIP会员