DIN: 阿里点击率预估之深度兴趣网络

2020 年 9 月 23 日 AINLP

广告推荐算法系列文章:

本文的知识点来源于参考文献[1],是阿里巴巴2018年在KDD上的论文。本文可以视为Attention机制在推荐系统上的应用。对Attention机制不了解的同学可以看下面的文章进行学习。

背景-推荐模型

正如我们在分布式层次GPU参数服务器架构所提到的,如今深度学习在推荐系统和广告点击率预估上应用广泛,普遍采用的模式是Embedding + MLP的形式。

在这种Embedding + MLP的模型下,有许许多多的特征工程上的技巧。在阿里这个场景下,可以分成这么几个大类,比如用户画像,用户的操作行为,上下文特征,广告特征等等。如下图所示。

而对应的模型结构则如下图

可以看到,不同种类的特征在形成向量后是拼接起来的。

用户兴趣多元化

上述模型结构和特征工程已经能达到一个较好的结果了,但是要想精益求精,还是需要对业务有更加深刻的了解。而在阿里的这个场景下,那就是用户购物需求的多元化。在上面的模型中,用户的行为被压缩到了一个特征向量中,就相当于是把所有的兴趣爱好的信息做了平均。但这样做是不精准的。

比如说,一个女性游泳爱好者,可能既会关注包包,又会关注游泳类产品。那么她在浏览包包的时候,对游泳类产品的兴趣其实是与CTR的估计相当无关的事情。

那么如何解决这个问题呢?解决的方法就是对于一个<用户,商品>对来说,不同的商品,要去触发用户不同的兴趣点才合理。这样的操作在NLP问题中其实是非常常见的,比如翻译问题,目标语言句子上的不同位置的词语,对应的是源语言句子上的词语也是不同的,这种对应关系被Attention所解决。

类似的,在这篇论文中,这个问题被兴趣网络解决。

深度兴趣网络

针对上述问题,提出了深度兴趣网络,Deep Interest Network,简称DIN。

DIN的核心idea很直观,模型结构如下图,在这个结构中,可以看到,候选广告需要去跟用户行为中的每一个商品去做权重的计算,然后用权重去做加权平均得到用户针对这个候选广告的兴趣向量。权重和加权,这就是Attention。

举一个例子,如果用户的行为历史中有两类,衣服和电子产品,其中衣服占90%,电子产品占10%,那么给两个产品T恤和iPhone,那么计算得到的用户对T恤的兴趣很可能大于用户对iPhone的兴趣。之所以说很可能而不是肯定,是因为商品还要本身的性质,比如衣服可以换的很频繁,但iPhone不是,衣服的盈利远远不如iPhone的利润大等等。所以在计算attention的时候,还会有很多特征需要挖掘来计算得到可靠的权重。

大家注意到,这里用户行为历史中的操作是并行计算权重的。其实可以通过循环神经网络来把时间因素考虑进来。论文中尝试过,但是没有提升,可能的原因是兴趣本身就是共存的,时间的前后顺序影响不大。

训练技巧

模型结构本身并不复杂,但相对于阿里巴巴的业务量而言,这个模型的训练是非常难的,因为模型中的用户和候选广告都是以亿计的,而特征又是极其稀疏的。

比如,当上面第一张图中的goods_ids的特征在6亿的时候,如果没有正则化,那么模型在训练一个epoch后在训练集上的loss会迅速下降,导致在测试集上过拟合。如下图中的红线所示:

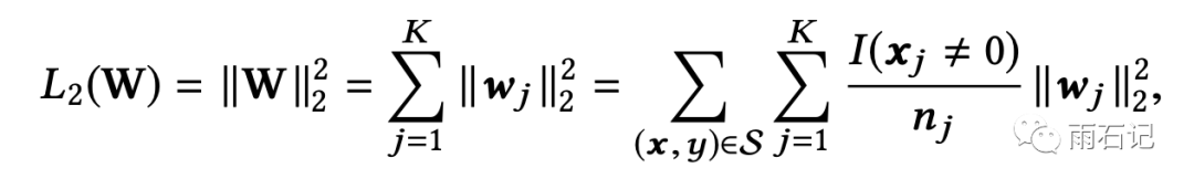
而如果采用传统的L2或者L1正则化又是不可能的,因为传统方法需要在所有非0的参数上进行计算,而对于这个问题来说,每次训练都在数以亿计的参数上去做正则化是不可行的。

论文提出了一种近似的办法,即Mini-batch aware的正则化,这种正则化的方法只考虑了在一个mini-batch中出现了的特征所对应的参数。因为稀疏特征的众多,网络中大部分的参数都分布在embedding层,论文以embedding层为例来讲解了正则化的操作。如下所示:

上图公式中表明了在embedding层上只计算mini-batch上用到的特征所对应参数的L2正则化的方法,其中I(xj≠0)是指示器来表明xj特征是否存在,nj表示所有样本中xj不为0的样本数。wj代表特征j的embedding参数。

然后这个公式可以化简:

再近似

其中

表示的是特征j在mini-batch Bm中至少出现过一次。

这样,经过正则化的梯度就可以计算出来:

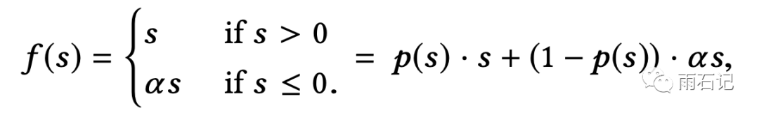
在激活函数上,论文提出了一种叫做Dice的激活函数,是PRELU的泛化版本。两种激活函数图示如下:

其中,论文上的PRelu的图画错了,其公式如下:

基于这个公式,大家可以自行画出正确的图。

而Dice的公式如下:

Dice是PRelu的泛化版本,当均值为0方差为1的时候,两者是等价的,之所以要改成这个形式,是为了要使激活函数适应数据分布。

实验

采用了三个数据集

  • Amazon dataset
  • MovieLens Dataset
  • Alibaba Dataset

前两者是公开数据集。

不同的方法在前两个数据集上的对比,可以看到带来的相对提升还是很高的,达到了2%和6.8%。

正则化方法的对比,

可以看到,即便在BaseModel上,正则化方法也有效。

在阿里巴巴的数据集上,带来了11.65%的提升,又是财富在发光。

有了attention之后,推荐结果也变得可解释了,下图是一个可视化效果图,反应了当前商品和用户历史行为中的商品的权重。

思考

勤思考,多提问是每个Engineer的良好品德。

  • 随着时间的流逝,用户操作行为越来越长,在超长序列上建模会遇到性能问题,如何解决?

答案后续发布在其他文章里,欢迎关注公众号【雨石记】。

参考文献

  • [1]. Zhou, Guorui, Xiaoqiang Zhu, Chenru Song, Ying Fan, Han Zhu, Xiao Ma, Yanghui Yan, Junqi Jin, Han Li, and Kun Gai. "Deep interest network for click-through rate prediction." In Proceedings of the 24th ACM SIGKDD International Conference on Knowledge Discovery & Data Mining, pp. 1059-1068. 2018.




说个正事哈



由于微信平台算法改版,公号内容将不再以时间排序展示,如果大家想第一时间看到我们的推送,强烈建议星标我们和给我们多点点【在看】。星标具体步骤为:

(1)点击页面最上方"AINLP",进入公众号主页。

(2)点击右上角的小点点,在弹出页面点击“设为星标”,就可以啦。

感谢支持,比心


欢迎加入广告系统交流群
进群请添加AINLP小助手微信 AINLPer(id: ainlper),备注广告系统

推荐阅读

这个NLP工具,玩得根本停不下来

征稿启示| 200元稿费+5000DBC(价值20个小时GPU算力)

完结撒花!李宏毅老师深度学习与人类语言处理课程视频及课件(附下载)

从数据到模型,你可能需要1篇详实的pytorch踩坑指南

如何让Bert在finetune小数据集时更“稳”一点

模型压缩实践系列之——bert-of-theseus,一个非常亲民的bert压缩方法

文本自动摘要任务的“不完全”心得总结番外篇——submodular函数优化

Node2Vec 论文+代码笔记

模型压缩实践收尾篇——模型蒸馏以及其他一些技巧实践小结

中文命名实体识别工具(NER)哪家强?

学自然语言处理,其实更应该学好英语

斯坦福大学NLP组Python深度学习自然语言处理工具Stanza试用

关于AINLP

AINLP 是一个有趣有AI的自然语言处理社区,专注于 AI、NLP、机器学习、深度学习、推荐算法等相关技术的分享,主题包括文本摘要、智能问答、聊天机器人、机器翻译、自动生成、知识图谱、预训练模型、推荐系统、计算广告、招聘信息、求职经验分享等,欢迎关注!加技术交流群请添加AINLPer(id:ainlper),备注工作/研究方向+加群目的。


阅读至此了,分享、点赞、在看三选一吧🙏

登录查看更多
3

相关内容

【CIKM2020】学习个性化网络搜索会话
专知会员服务
15+阅读 · 2020年9月20日
专知会员服务
23+阅读 · 2020年9月8日
【CIKM2020-阿里】在线序列广告的用户隐藏状态推断
专知会员服务
25+阅读 · 2020年9月5日
基于旅游知识图谱的可解释景点推荐
专知会员服务
94+阅读 · 2020年9月4日
【KDD2020-阿里】可调控的多兴趣推荐框架
专知会员服务
29+阅读 · 2020年8月11日
【SIGIR 2020】 基于协同注意力机制的知识增强推荐模型
专知会员服务
91+阅读 · 2020年7月23日
【推荐系统/计算广告/机器学习/CTR预估资料汇总】
专知会员服务
88+阅读 · 2019年10月21日
推荐召回算法之深度召回模型串讲
AINLP
22+阅读 · 2019年6月14日
深度 | 推荐系统如何冷启动?
AI100
17+阅读 · 2019年4月7日
CTR预估专栏 | 一文搞懂阿里Deep Interest Network
AI前线
14+阅读 · 2018年7月20日
论文浅尝 | 一种用于新闻推荐的深度知识感知网络
开放知识图谱
5+阅读 · 2018年6月17日
爆料 | 解析阿里妈妈如何将深度学习应用在广告、推荐及搜索业务
机器学习算法与Python学习
5+阅读 · 2018年5月14日
深度学习在CTR预估中的应用 | CTR深度模型大盘点
PaperWeekly
15+阅读 · 2018年4月11日
【推荐系统】详解基于内容的推荐算法
产业智能官
23+阅读 · 2018年1月11日
Arxiv
3+阅读 · 2017年5月14日
Arxiv
4+阅读 · 2015年8月25日
VIP会员
相关VIP内容
【CIKM2020】学习个性化网络搜索会话
专知会员服务
15+阅读 · 2020年9月20日
专知会员服务
23+阅读 · 2020年9月8日
【CIKM2020-阿里】在线序列广告的用户隐藏状态推断
专知会员服务
25+阅读 · 2020年9月5日
基于旅游知识图谱的可解释景点推荐
专知会员服务
94+阅读 · 2020年9月4日
【KDD2020-阿里】可调控的多兴趣推荐框架
专知会员服务
29+阅读 · 2020年8月11日
【SIGIR 2020】 基于协同注意力机制的知识增强推荐模型
专知会员服务
91+阅读 · 2020年7月23日
【推荐系统/计算广告/机器学习/CTR预估资料汇总】
专知会员服务
88+阅读 · 2019年10月21日
相关资讯
推荐召回算法之深度召回模型串讲
AINLP
22+阅读 · 2019年6月14日
深度 | 推荐系统如何冷启动?
AI100
17+阅读 · 2019年4月7日
CTR预估专栏 | 一文搞懂阿里Deep Interest Network
AI前线
14+阅读 · 2018年7月20日
论文浅尝 | 一种用于新闻推荐的深度知识感知网络
开放知识图谱
5+阅读 · 2018年6月17日
爆料 | 解析阿里妈妈如何将深度学习应用在广告、推荐及搜索业务
机器学习算法与Python学习
5+阅读 · 2018年5月14日
深度学习在CTR预估中的应用 | CTR深度模型大盘点
PaperWeekly
15+阅读 · 2018年4月11日
【推荐系统】详解基于内容的推荐算法
产业智能官
23+阅读 · 2018年1月11日
Top
微信扫码咨询专知VIP会员