机器学习中的优化方法小结

2020 年 7 月 26 日 极市平台

加入极市专业CV交流群,与 10000+来自港科大、北大、清华、中科院、CMU、腾讯、百度 等名校名企视觉开发者互动交流!

同时提供每月大咖直播分享、真实项目需求对接、干货资讯汇总,行业技术交流。关注 极市平台 公众号 ,回复 加群,立刻申请入群~

来源|福大命大@知乎, https://zhuanlan.zhihu.com/p/158215009

前几天听了林宙辰老师的一个报告,讲的是机器学习中的优化方法[1],做个笔记。推荐机器学习的人去听听。林老师的主页:https://zhouchenlin.github.io/zhouchenlin.github.io

机器学习是离不开优化方法的,Pedro Domingos这样概括机器学习和优化方法的关系:

“Machine learning=Representation+Optimization+Evaluation”

后面三项对应于三步:建立模型,求解模型,验证模型。

一、机器学习中的优化问题

首先介绍一下机器学习中常见的优化问题:

1.分类回归问题

很多的分类回归问题都可以写成问题(1)的一个特例,比如SVM,正则的logistic回归,多层感知器,线性回归,岭回归,Lasso问题等。

2.AdaBoost

通常数据的分类面可能是很复杂的,我们可以通过多个简单的线性分类器组合而成。

3.生成对抗网络

4.AutoML

自动超参数的选取,这是一个双层优化问题。

二、算法的阶数

根据所需要的信息,算法大概分为三种:零阶、一阶、二阶。

1、零阶:只涉及到 ,适用于函数形式不知道,求不了导数;梯度不存在或者很难计算的情况,比如强化学习。
2、一阶:需要用到函数值 和梯度值 ,更一般情况下,可以将函数的proximal 算子也纳入到一阶中。
3、二阶:需要用到函数值 和梯度值 以及Hessian信息

机器学习中,一阶用的是最广泛的。当然也不排除有零阶和二阶的,这适用于那些具有特殊结构的问题。

三、机器学习中的优化算法

1.基本模块:

通常的优化算法主要有以下几个模块,将这些模块以不同的方式组合一下就得到了不同的优化方法。

1、梯度下降:   ,前向运算,也叫forward operator。
2、临近算子:   ,后向运算,也叫backward operator。
3、对偶:当原问题不好解,或者计算量比较大,可以考虑对偶问题。
4、randomization:当问题(1)的   较大或者变量维度较大,可以考虑随机梯度或者坐标下降。
上面的四个模块在不同的拼接下就形成了很多现有的优化算法。

2.机器学习中的无约束优化算法

考虑无约束问题:

假设函数 是光滑的(如果不光滑,我们可以用次梯度,光滑化等)

  • 梯度下降 
     
  • 共轭梯度

当目标函数是二次的时候,选出来的方向 是共轭方向。

  • 拟牛顿

处Hessian矩阵逆的近似,需要满足 ,主要有两类近似:秩1和秩2近似。

  • L-BFGS

上面说到的逆牛顿需要存储一个大的矩阵 ,考虑到他是秩1或秩2近似,因此我们可以通过存储一些向量来代替。

  • 临近梯度算法

考虑可分问题:

其中 光滑, 为非光滑。临近梯度算法对光滑的那部分做二次近似,每一步求解如下问题:

该算法需要假设对于g的proximal operator是容易计算的。

3.机器学习中的约束优化方法

考虑一般问题:

其中 是一个约束集合。

  • 投影梯度方法

首先走一个梯度步,然后投影回去。

  • 罚方法

通过罚参数将约束集放到目标函数上,其中 要满足一些条件:连续非负,以及 当且仅当 。该方法依赖于罚参数。

  • 条件梯度

其中需要 是一个紧集(欧氏空间下等价于有界闭集)。方向 的求解相当于对函数 做泰勒一次展开。这个算法适用于稀疏低秩问题,这时候 可能是一个低秩范数球,这时候关于 的求解有很高效的算法。

  • ADMM

当约束是线性约束并且可分的时,可以采用ADMM,考虑问题:

对应的增广拉格朗日函数为:

ADMM算法交替的去更新增广拉格朗日函数中的三个变量:

如果对于 还是不好求,我们可以对后面的二次项做线性化,得到线性化的ADMM。

  • 坐标下降方法

如果问题中的变量可以分为多块,比如:

这种情况下可以采取块坐标下降方法:本质上是交替极小的一个扩展。

4.大数据的处理

考虑如下形式的问题:

  • 随机梯度

找到一个近似的方向 近似梯度,只要满足 即可。有很多的变种,adam,adagrad,adadelta,ada...

四、加速算法

通常情况下的加速策略都是利用内插和外推。

1.确定

  • Heavy ball

后面那一项称为Momentum。

  • Nesterov
  • 加速临近梯度

将Nesterov加速应用到了非光滑的可分问题(2)上:

2.随机

考虑问题:

我们可以用梯度方法: , 如果n太大,每一步的计算量太大。

接着我们采用最初的随机梯度方法: ,也就是一次选一个去走。

这两个方法似乎都是一种极端,所以中间存在一种tradeoff。思考如何做到在降低variance的情况下计算量不要增长的太快。

  • SVRG

这个方法的思想就是,每隔一段时间算一次完整梯度,用这个信息去矫正每一步的随机梯度方向。

  • Katyusha

这个方法是Nesterov加速和variance reduction的结合。(这个名字取得真是让人摸不着头脑,包括下面的Catalyst,还有一个方法SARAH)

  • Catalyst

注意到第三步,你可以使用任何一个可以计算的方法去求解第三步中的问题

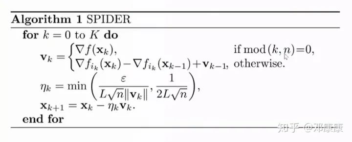
  • SPIDER

这个相对于SVRG方差更小。

五、展望

大规模优化的展望主要有这几点:

  • 随机化
  • 分布式
  • 异步
  • learning based
  • Quantum

最后林老师推荐了机器学习的人应该学习的优化书籍,最后一本是林老师自己的。

参考文献
[1] https://www.bilibili.com/video/BV1uZ4y1u7Ri?t=3131


推荐阅读

添加极市小助手微信 (ID : cv-mart) ,备注: 研究方向-姓名-学校/公司-城市 (如:目标检测-小极-北大-深圳),即可申请加入 极市技术交流群 ,更有 每月大咖直播分享、真实项目需求对接、求职内推、算法竞赛、 干货资讯汇总、行业技术交流 一起来让思想之光照的更远吧~

△长按添加极市小助手

△长按关注极市平台,获取 最新CV干货

觉得有用麻烦给个在看啦~   
登录查看更多
0

相关内容

梯度的本意是一个向量(矢量),表示某一函数在该点处的方向导数沿着该方向取得最大值,即函数在该点处沿着该方向(此梯度的方向)变化最快,变化率最大(为该梯度的模)。
专知会员服务
44+阅读 · 2020年9月25日
专知会员服务
81+阅读 · 2020年8月4日
《常微分方程》笔记,419页pdf
专知会员服务
76+阅读 · 2020年8月2日
专知会员服务
46+阅读 · 2020年7月29日
【伯克利-Ke Li】学习优化,74页ppt,Learning to Optimize
专知会员服务
41+阅读 · 2020年7月23日
最新《自动微分手册》77页pdf
专知会员服务
103+阅读 · 2020年6月6日
Sklearn 与 TensorFlow 机器学习实用指南,385页pdf
专知会员服务
131+阅读 · 2020年3月15日
机器学习速查手册,135页pdf
专知会员服务
345+阅读 · 2020年3月15日
求解稀疏优化问题——半光滑牛顿方法
极市平台
50+阅读 · 2019年11月30日
机器学习计算距离和相似度的方法
极市平台
10+阅读 · 2019年9月20日
深度学习优化算法总结(SGD,AdaGrad,Adam等)
极市平台
34+阅读 · 2019年4月30日
机器学习中的最优化算法总结
人工智能前沿讲习班
22+阅读 · 2019年3月22日
博客 | 机器学习中的数学基础(凸优化)
AI研习社
14+阅读 · 2018年12月16日
从零开始学习「张氏相机标定法」(四)优化算法前传
计算机视觉life
4+阅读 · 2018年3月14日
深度学习超参数简单理解
计算机视觉战队
4+阅读 · 2017年11月28日
机器学习(7)之感知机python实现
机器学习算法与Python学习
4+阅读 · 2017年7月23日
机器学习算法比较
我爱机器学习
4+阅读 · 2016年12月11日
Arxiv
38+阅读 · 2020年3月10日
Optimization for deep learning: theory and algorithms
Arxiv
106+阅读 · 2019年12月19日
Star-Transformer
Arxiv
5+阅读 · 2019年2月28日
A Comprehensive Survey on Graph Neural Networks
Arxiv
21+阅读 · 2019年1月3日
Neural Architecture Optimization
Arxiv
8+阅读 · 2018年9月5日
VIP会员
相关VIP内容
专知会员服务
44+阅读 · 2020年9月25日
专知会员服务
81+阅读 · 2020年8月4日
《常微分方程》笔记,419页pdf
专知会员服务
76+阅读 · 2020年8月2日
专知会员服务
46+阅读 · 2020年7月29日
【伯克利-Ke Li】学习优化,74页ppt,Learning to Optimize
专知会员服务
41+阅读 · 2020年7月23日
最新《自动微分手册》77页pdf
专知会员服务
103+阅读 · 2020年6月6日
Sklearn 与 TensorFlow 机器学习实用指南,385页pdf
专知会员服务
131+阅读 · 2020年3月15日
机器学习速查手册,135页pdf
专知会员服务
345+阅读 · 2020年3月15日
相关资讯
求解稀疏优化问题——半光滑牛顿方法
极市平台
50+阅读 · 2019年11月30日
机器学习计算距离和相似度的方法
极市平台
10+阅读 · 2019年9月20日
深度学习优化算法总结(SGD,AdaGrad,Adam等)
极市平台
34+阅读 · 2019年4月30日
机器学习中的最优化算法总结
人工智能前沿讲习班
22+阅读 · 2019年3月22日
博客 | 机器学习中的数学基础(凸优化)
AI研习社
14+阅读 · 2018年12月16日
从零开始学习「张氏相机标定法」(四)优化算法前传
计算机视觉life
4+阅读 · 2018年3月14日
深度学习超参数简单理解
计算机视觉战队
4+阅读 · 2017年11月28日
机器学习(7)之感知机python实现
机器学习算法与Python学习
4+阅读 · 2017年7月23日
机器学习算法比较
我爱机器学习
4+阅读 · 2016年12月11日
相关论文
Top
微信扫码咨询专知VIP会员