小米的语音识别系统是如何搭建的

2017 年 9 月 3 日 深度学习每日摘要 DLdigest

小米的语音识别系统是如何搭建的

本文参考文献
Attention-based End-to-end Speech Recognition in Mandarin

近期,小米发布了一篇中文的语音识别系统论文,该语音识别系统使用了基于注意力机制的seq2seq模型,并且融合了调帧、权重归一化等技巧,美中不足的是,文中给出的实验结果并不是公开的数据集,而是小米内部的MiTV语音数据集,尽管准确率达到了96.42%,但缺乏公开数据集的验证让论文的说服力有所降低。其实公开的中文语音识别数据库虽然稀少,但也并非没有,例如在openslr网站上,已经开源了两个中文语音识别数据集,分别是清华大学的THCHS-30和希尔贝壳公司的AiShell-1,后者是近期刚刚开源的数据集。

回归正题,本文的亮点主要如下:

  1. 在中文语音识别中第一次尝试用基于注意力机制的seq2seq模型;

  2. 通过使用调帧的方法来减小源序列长度,其实这一技巧在之前已有论文提出;

  3. 采取多种不同的归一化技巧来加速收敛和提高范化能力;

  4. 比较了不同注意力机制的影响;

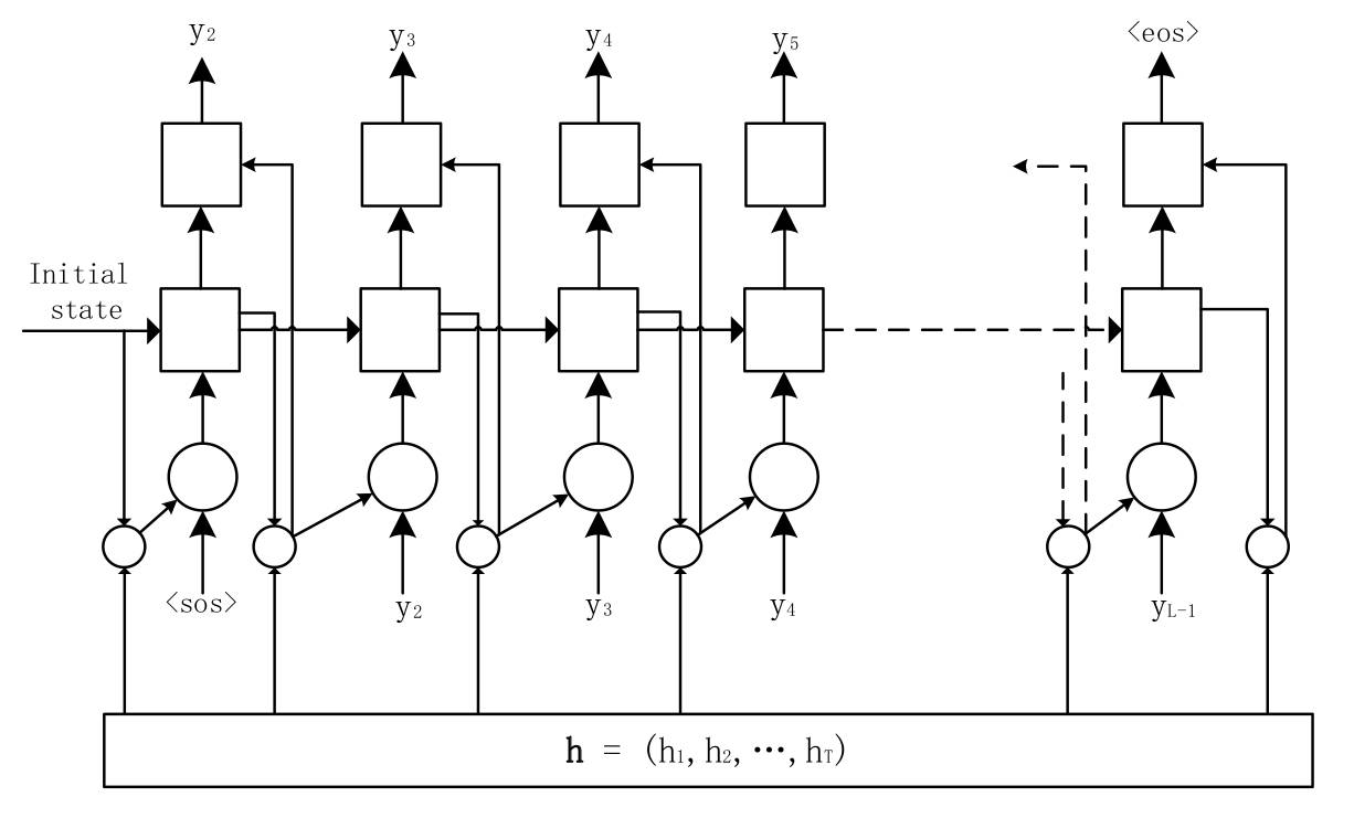
把seq2seq模型运用到语音识别中在之前已经有人做过,例如William Chan提出的Listen, Attend and Spell(LAS)就是一个基于注意力机制的序列建模框架,其通过注意力机制产生一段固定长度的上下文,再经过解码器得到最终的输出。seq2seq模型的优势就在于可以应付输入序列与输出序列长度不一的情况,而语音识别恰好符合。

究竟什么是注意力机制?注意力机制一开始是被应用于机器翻译,它所要解决的是序列建模时候源序列与目标序列的对齐问题,在解码器每生成一个单词的时候,注意力机制都会结合编码器上最优可能的隐含状态。

最常见的计算注意力机制的算法如上面的公式所示,AttentionContext函数通常是一个多层感知器,Score函数也是一个多层感知器,最后归一化得到的alpha就是注意力权重因子,这种最早是由Bahdanau提出来的,也可以称之为基于内容的注意力机制,小米在此基础上增加了基于位置的考虑,即将前一时刻的注意力权重考虑在内,具体公式如下。

同时,文中中使用了注意力平滑的方法,当采用softmax分布得到的alpha只会集中在少数几帧上,为了解决这个问题,小米将softmax换成了sigmoid分布。

由于在LAS框架中,当输入序列过长时,识别的准确性会显著降低,LAS中的解决方法是使用了金字塔形状的BLSTM来作为编码器,这样就可以缩短编码序列的长度。而小米这里采取的方案是使用基于帧的sub-sampling,具体的方法就是:例如一段音频的原始特征向量是100*39,100表示时长,39表示特征维度,那么传统的做法就是直接设置LSTM的时长为100,每个时间点输入一个1×39的特征,而sub-sampling做法是将8帧拼接起来作为一个大帧,该大帧的维度就是1×312,然后再每隔3帧取另外的8帧作为一个大帧,类似于一维卷积中的stride,如下图所示,这样就可以将源序列的时长缩短。

小米在模型中还使用了正则化技巧:L2正则化以及高斯权重噪声。L2正则化很常见,即在误差函数后面再添一项L2,但是文中还使用了另外一个技巧,就是对所有的权重都增加一个高斯噪声,这样可以增强模型的范化能力。这种做法以前很少见,我比较偏向的做法是对输入特征增加随机的高斯噪声来提高范化能力,相比于小米的做法,对输入特征增加随机噪声就容易很多。

除此之外,文中还使用了trigram语言模型,最终的损失函数是由声学模型和语言模型相加。解码器的分类是6925个字符,当然这个只包括了单个汉字,并没有使用分词的字词,如果采用分词来做分类的话,那么种类就不止6925个了。

模型的详细参数如下:编码器由三层BLSTM组成,每个方向上包含256个神经元,所有的权重向量使用的是正态分布初始化,偏置向量使用的是零向量初始化,并且,在进行梯度消失的时候,使用了梯度截断,阈值为1。

作者比较了三种不同的注意力机制,结果如下表所示,可以看到,采用了注意力平滑+trigram的语言模型表现最好。

总体而言,小米发表的这篇论文亮点不是很足,更多像一个技术报告,而且缺乏公开的数据集实验结果。但是论文传递了一个信号,那就是基于注意力机制的seq2seq模型可以在中文语音识别中成功应用。

题图:Book or Facebook?


你可能会感兴趣的文章有:

动态层归一化(Dynamic Layer Normalization)

端对端的深度卷积神经网络在语音识别中的应用

SampleRNN语音合成模型

详述DeepMind wavenet原理及其TensorFlow实现

Layer Normalization原理及其TensorFlow实现

Batch Normalization原理及其TensorFlow实现

Maxout Network原理及其TensorFlow实现

时延神经网络(TDNN)原理及其TensorFlow实现

ConvLSTM原理及其TensorFlow实现

Network-in-Network原理及其TensorFlow实现

如何基于TensorFlow实现ResNet和HighwayNet

常见的两种注意力机制

深度残差学习框架(Deep Residual Learning)

深度残差学习框架(续)

语音识别领域三十年来重要论文合集及其下载地址

推荐阅读 | 如何让TensorFlow模型运行提速36.8%

推荐阅读 | 如何让TensorFlow模型运行提速36.8%(续)

拥有1200多star的项目是什么样的心情

深度学习每日摘要|坚持技术,追求原创

微信ID:deeplearningdigest
长按二维码关注我
登录查看更多
5

相关内容

语音识别是计算机科学和计算语言学的一个跨学科子领域,它发展了一些方法和技术,使计算机可以将口语识别和翻译成文本。 它也被称为自动语音识别(ASR),计算机语音识别或语音转文本(STT)。它整合了计算机科学,语言学和计算机工程领域的知识和研究。
Sklearn 与 TensorFlow 机器学习实用指南,385页pdf
专知会员服务
131+阅读 · 2020年3月15日
Transformer文本分类代码
专知会员服务
118+阅读 · 2020年2月3日
知识图谱更新技术研究及其应用,复旦大学硕士论文
专知会员服务
106+阅读 · 2019年11月4日
如何理解模型的过拟合与欠拟合,以及如何解决?
七月在线实验室
12+阅读 · 2019年4月23日
如何用 RNN 实现语音识别?| 分享总结
AI研习社
3+阅读 · 2017年12月15日
语音识别现状与工程师必备技能
CSDN云计算
7+阅读 · 2017年11月21日
一文读懂语音识别史
机械鸡
9+阅读 · 2017年10月16日
十分钟掌握Keras实现RNN的seq2seq学习
机器学习研究会
11+阅读 · 2017年10月13日
语音识别之--扑朔迷“离”
微信AI
6+阅读 · 2017年8月9日
端对端的深度卷积神经网络在语音识别中的应用
深度学习每日摘要
6+阅读 · 2017年7月18日
Adversarial Transfer Learning
Arxiv
12+阅读 · 2018年12月6日
Neural Architecture Optimization
Arxiv
8+阅读 · 2018年9月5日
Arxiv
3+阅读 · 2018年5月28日
Arxiv
5+阅读 · 2018年5月21日
Arxiv
11+阅读 · 2018年5月13日
Arxiv
4+阅读 · 2018年4月30日
Arxiv
3+阅读 · 2017年10月1日
VIP会员
相关资讯
如何理解模型的过拟合与欠拟合,以及如何解决?
七月在线实验室
12+阅读 · 2019年4月23日
如何用 RNN 实现语音识别?| 分享总结
AI研习社
3+阅读 · 2017年12月15日
语音识别现状与工程师必备技能
CSDN云计算
7+阅读 · 2017年11月21日
一文读懂语音识别史
机械鸡
9+阅读 · 2017年10月16日
十分钟掌握Keras实现RNN的seq2seq学习
机器学习研究会
11+阅读 · 2017年10月13日
语音识别之--扑朔迷“离”
微信AI
6+阅读 · 2017年8月9日
端对端的深度卷积神经网络在语音识别中的应用
深度学习每日摘要
6+阅读 · 2017年7月18日
相关论文
Adversarial Transfer Learning
Arxiv
12+阅读 · 2018年12月6日
Neural Architecture Optimization
Arxiv
8+阅读 · 2018年9月5日
Arxiv
3+阅读 · 2018年5月28日
Arxiv
5+阅读 · 2018年5月21日
Arxiv
11+阅读 · 2018年5月13日
Arxiv
4+阅读 · 2018年4月30日
Arxiv
3+阅读 · 2017年10月1日
Top
微信扫码咨询专知VIP会员