雾霾太重?深度神经网络教你如何图像去雾(附直播微信群)

2017 年 8 月 7 日 AI研习社 蔡博仑

本文作者蔡博仑,华南理工大学在读博士研究生。主要研究方向,机器学习,计算机视觉,图像处理等。目前已在TIP、ICCV、ICIP等期刊会议上发表论文10余篇,曾获第17届PCM最佳学生论文。现为TIP、TCSVT、Neurocomputing等期刊审稿人。(https://caibolun.github.io/

  图像去雾的核心

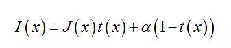
现有的图像去雾(Image Dehazing)技术离不开一个简单的自然模型——大气散射模型(Atmospheric Scattering Model)。大气散射模型描述了,在雾霾和光照的共同作用下的成像机制:

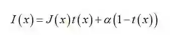
阳光在物体表面形成反射光 J(x),反射光在穿过雾霾的过程发生散射,只有部分能量 J(x)t(x) 能到达摄像头。与此同时,阳光也在悬浮颗粒表面散射形成大气光 α 被摄像头接收。因此,摄像头中的成像 I(x) 可由两部分组成,透射的物体亮度 J(x)t(x) 和散射的大气光照 α(1-t(x)):

其中,t(x) 是媒介透射率(medium transmission),顾名思义表示能顺利透过雾霾到达摄像头的比率。因此,透射率跟物体与摄像头距离 d(x) 成反比,离摄像头越远的物体受雾霾影响更大。当距离 d(x) 趋于无穷大时,透射率 t(x) 趋于零,I(x) 趋近于 αα=maxy∈{x|t(x)≤t0}I(y)。综上所述,去雾的核心是如何更精确地估计媒介透射率 t(x)。

  基于人工特征

手工特征是传统机器视觉的基础,讲究的是熟能生巧,依赖的是实践出真知。通过“观察→经验→设计”构建各式各样的特征来满足各式各样的任务需求。图像去雾技术也是沿着手工特征逐步地发展起来。

(1)暗通道先验[2](Dark Channel Prior,DCP)

说起去雾特征,不得不提起的暗通道先验(DCP)。大道之行在于简,DCP作为CVPR 2009的最佳论文,以简洁有效的先验假设解决了雾霾浓度估计问题。

观察发现,清晰图像块的RGB颜色空间中有一个通道很暗(数值很低甚至接近于零)。因此基于暗通道先验,雾的浓度可由最暗通道的数值近似表示:

(2)最大对比度[3](Maximum Contrast,MC)

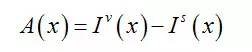
根据大气散射模型,雾霾会降低物体成像的对比度:ΣxΔI(x)=tΣxΔJ(x)≤ΣxΔJ(x)‖。因此,基于这个推论可利用局部对比度来近似估计雾霾的浓度。同时,也可以通过最大化局部对比度来还原图像的颜色和能见度。

(3)颜色衰减先验[4](Color Attenuation Prior,CAP)

颜色衰减先验(CAP)是一种与暗通道先验(DCP)相似的先验特征。观察发现雾霾会同时导致图像饱和度的降低和亮度的增加,整体上表现为颜色的衰减。根据颜色衰减先验,亮度和饱和度的差值被应用于估计雾霾的浓度:

  基于深度智能

人的视觉系统并不需依赖这些显式的特征变换,便可以很好地估计雾的浓度和场景的深度。DehazeNet是一个特殊设计的深度卷积网络,利用深度学习去智能地学习雾霾特征,解决手工特征设计的难点和痛点。

(1)特征提取(Feature Extraction)

特征提取有别于传统卷积神经网络,DehazeNet采用“卷积+Maxout[5]”的结构作为网络第一层:

并且可以证明,“卷积+Maxout”等价于传统的手工去雾特征:

当W1是反向(Opposite)滤波器,通道的最大等价于通道的最小值,等价于暗通道先验(DCP);当W1是环形(Round)滤波器, 等价于对比度提取,等价于最大对比度(MC);当W1同时包含反向(Opposite)滤波器和全通(All-pass)滤波器,等价于RGB到HSV颜色空间转换,等价于颜色衰减先验(CAP)。

此外,从机器学习角度看,Maxout是一种样条函数,具有更强的非线性拟合能力,如下图(d)。

(2)多尺度映射(Multi-scale Mapping)与局部极值(Local Extremum)

多尺度特征会提高不同分辨率下特征提取的鲁棒性。传统去雾方法中也会采用不同尺度的滤波器(均值、中值、最小值)来增强特征在不同尺度下的鲁棒性。借鉴于GoogLeNet中的inception结构,采用3组不同尺度(3×3,5×5,7×7)的滤波器实现DehazeNet的尺度鲁棒性:

局部极值(MAX Pooling)是深度卷积神经网络的经典操作。局部极值约束了透射率的局部一致性,可以有效抑制透射率的估计噪声。此外,局部极值也对应于暗通道先验(DCP)的局部最小值和最大对比度(MC)的局部最大值。

(3)非线性回归(Non-linear Regression)

大气透射率是一个概率(0到1),不可能无穷大,也不可能无穷小。受到Sigmoid和ReLU激励函数的启发,提出双边纠正线性单元(Bilateral Rectified Linear Unit,BReLU),在双边约束的同时,保证局部的线性。

BReLU的非线性回归对应于传统去雾方法中的边缘抑制操作(如DCP和CAP)。双边约束引入先验信息缩小参数搜索空间,使得网络更加容易训练;局部线性避免Sigmoid函数梯度不一致带来的收敛困难。

DehazeNet基于手工特征,又超出传统方法,从人工到智能。因此,DehazeNet取得了更好的去雾结果,更多的对比实验和代码资源:

  • 项目主页

    http://caibolun.github.io/DehazeNet/

  • GitHub代码

     https://github.com/caibolun/DehazeNet

  • BReLU+Caffe

     https://github.com/zlinker/mycaffe

  • 其他复现

    (1)https://github.com/zlinker/DehazeNet

    (2)https://github.com/allenyangyl/dehaze

参考文献

[1] Cai B, Xu X, Jia K, et al. DehazeNet: An End-to-End System for Single Image Haze Removal [J]. IEEE Transactions on Image Processing, 2016, 25(11): 5187-5198.

[2] He K, Sun J, Tang X. Single image haze removal using dark channel prior[J]. IEEE transactions on pattern analysis and machine intelligence, 2011, 33(12): 2341-2353.

[3] Tan R T. Visibility in bad weather from a single image[C]//Computer Vision and Pattern Recognition, 2008. CVPR 2008. IEEE Conference on. IEEE, 2008: 1-8.

[4] Zhu Q, Mai J, Shao L. A fast single image haze removal algorithm using color attenuation prior[J]. IEEE Transactions on Image Processing, 2015, 24(11): 3522-3533.

[5] Goodfellow I J, Warde-Farley D, Mirza M, et al. Maxout networks[J]. ICML (3), 2013, 28: 1319-1327.

文章还不够?来看直播吧!


 扫码进入直播间

关注 AI 研习社(okweiwu),回复 1 领取

【超过 1000G 神经网络/AI/大数据、教程、论文!】

后台回复 “我要进群” 加入 AI 技术讨论群


论黑科技的极致,大概就是谷歌DeepMind吧

▼▼▼

登录查看更多
5

相关内容

IEEE图像处理事务涵盖了新颖的理论,算法和体系结构,可在各种应用中形成、捕获、处理、通信、分析和显示图像、视频和多维信号。感兴趣的主题包括但不限于数学、统计和感知建模、表示、形成、编码、过滤、增强、还原、渲染、半色调、搜索和分析图像、视频和多维信号。感兴趣的应用包括图像和视频通信、电子成像、生物医学成像、图像和视频系统以及遥感。 官网地址:http://dblp.uni-trier.de/db/journals/tip/
最新《多任务学习》综述,39页pdf
专知会员服务
266+阅读 · 2020年7月10日
基于视觉的三维重建关键技术研究综述
专知会员服务
166+阅读 · 2020年5月1日
轻量级神经网络架构综述
专知会员服务
97+阅读 · 2020年4月29日
基于深度神经网络的少样本学习综述
专知会员服务
173+阅读 · 2020年4月22日
机器学习速查手册,135页pdf
专知会员服务
345+阅读 · 2020年3月15日
 图像内容自动描述技术综述
专知会员服务
88+阅读 · 2019年11月17日
已删除
将门创投
12+阅读 · 2018年6月25日
使用CNN生成图像先验实现场景的盲图像去模糊
统计学习与视觉计算组
10+阅读 · 2018年6月14日
一文读懂图像压缩算法
七月在线实验室
17+阅读 · 2018年5月2日
如何设计基于深度学习的图像压缩算法
论智
41+阅读 · 2018年4月26日
CNN图像风格迁移的原理及TensorFlow实现
数据挖掘入门与实战
5+阅读 · 2018年4月18日
【干货】卷积神经网络中的四种基本组件
深度学习如何影响运筹学?
AI研习社
5+阅读 · 2017年12月24日
Deformable Style Transfer
Arxiv
14+阅读 · 2020年3月24日
Local Relation Networks for Image Recognition
Arxiv
4+阅读 · 2019年4月25日
Arxiv
3+阅读 · 2012年11月20日
VIP会员
相关VIP内容
最新《多任务学习》综述,39页pdf
专知会员服务
266+阅读 · 2020年7月10日
基于视觉的三维重建关键技术研究综述
专知会员服务
166+阅读 · 2020年5月1日
轻量级神经网络架构综述
专知会员服务
97+阅读 · 2020年4月29日
基于深度神经网络的少样本学习综述
专知会员服务
173+阅读 · 2020年4月22日
机器学习速查手册,135页pdf
专知会员服务
345+阅读 · 2020年3月15日
 图像内容自动描述技术综述
专知会员服务
88+阅读 · 2019年11月17日
相关资讯
已删除
将门创投
12+阅读 · 2018年6月25日
使用CNN生成图像先验实现场景的盲图像去模糊
统计学习与视觉计算组
10+阅读 · 2018年6月14日
一文读懂图像压缩算法
七月在线实验室
17+阅读 · 2018年5月2日
如何设计基于深度学习的图像压缩算法
论智
41+阅读 · 2018年4月26日
CNN图像风格迁移的原理及TensorFlow实现
数据挖掘入门与实战
5+阅读 · 2018年4月18日
【干货】卷积神经网络中的四种基本组件
深度学习如何影响运筹学?
AI研习社
5+阅读 · 2017年12月24日
Top
微信扫码咨询专知VIP会员