吴恩达团队:神经网络如何正确初始化?

2019 年 5 月 15 日 AI100


来源 | deeplearning.ai

编译 | 刘静

转载自图灵TOPIA(ID:turingtopia)


初始化对训练深度神经网络的收敛性有重要影响。简单的初始化方案可以加速训练,但是它们需要小心避免常见的陷阱。


近期,deeplearning.ai就如何有效地初始化神经网络参数发表了交互式文章,图灵君将结合这篇文章与您一起探索以下问题:


1、有效初始化的重要性

2、梯度爆炸或消失的问题

3、什么是正确的初始化?

4、Xavier初始化的数学证明


一、有效初始化的重要性


要构建机器学习算法,通常需要定义一个体系结构(例如Logistic回归,支持向量机,神经网络)并训练它来学习参数。 以下是神经网络的常见训练过程:


1、初始化参数

2、选择优化算法

3、重复这些步骤:

a、正向传播输入

b、计算成本函数

c、使用反向传播计算与参数相关的成本梯度

d、根据优化算法,使用梯度更新每个参数


然后,给定一个新的数据点,您可以使用该模型来预测它的类。


初始化步骤对于模型的最终性能至关重要,它需要正确的方法。 为了说明这一点,请考虑下面的三层神经网络。 您可以尝试使用不同的方法初始化此网络,并观察它对学习的影响。



(网址:https://www.deeplearning.ai/ai-notes/initialization/

感兴趣的同学可直接登陆、操作体验。



当初始化方法为零时,对于梯度和权重,您注意到了什么?


用零初始化所有权重会导致神经元在训练期间学习相同的特征。


实际上,任何常量初始化方案的性能表现都非常糟糕。 考虑一个具有两个隐藏单元的神经网络,并假设我们将所有偏差初始化为0,并将权重初始化为一些常数α。 如果我们在该网络中正向传播输入(x1,x2),则两个隐藏单元的输出将为relu(αx1+αx2)。 因此,两个隐藏单元将对成本具有相同的影响,这将导致相同的梯度。 


因此,两个神经元将在整个训练过程中对称地进化,有效地阻止了不同的神经元学习不同的东西。


在初始化权重时,如果值太小或太大,关于成本图,您注意到了什么?


尽管打破了对称性,但是用值(i)太小或(ii)太大来初始化权重分别导致(i)学习缓慢或(ii)发散。


为高效训练选择适当的初始化值是必要的。 我们将在下一节进一步研究。


二、梯度的爆炸或消失问题


考虑这个9层神经网络。



在优化循环的每次迭代(前向,成本,后向,更新)中,我们观察到当您从输出层向输入层移动时,反向传播的梯度要么被放大,要么被最小化。 如果您考虑以下示例,此结果是有意义的。


假设所有激活函数都是线性的(标识函数)。 然后输出激活是:



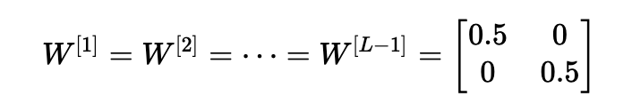
其中,L=10,W[1],W[2],…,W[L−1] 都是大小为(2,2)的矩阵,因为层[1]到[L-1]有2个神经元,接收2个输入。考虑到这一点,为了便于说明,如果我们假设W[1]=W[2]=⋯=W[L−1]=W,输出预测是y^=W[L]WL−1x (其中  WL−1 将矩阵 W取为L-1的幂,而W[L] 表示Lth矩阵)。


初始化值太小,太大或不合适的结果是什么?


情形1:过大的初始化值会导致梯度爆炸


考虑这样一种情况:初始化的每个权重值都略大于单位矩阵。


这简化为y^=W[L]1.5L−1x,并且a[l] 的值随l呈指数增加。 当这些激活用于反向传播时,就会导致梯度爆炸问题。 也就是说,与参数相关的成本梯度太大。 这导致成本围绕其最小值振荡。


情形2:初始化值太小会导致梯度消失


类似地,考虑这样一种情况:初始化的每个权重值都略小于单位矩阵。



这简化为 y^=W[L]0.5L−1x,并且激活a [l]的值随l呈指数下降。 当这些激活用于反向传播时,这会导致消失的梯度问题。 相对于参数的成本梯度太小,导致在成本达到最小值之前收敛。


总而言之,使用不适当的值初始化权重将导致神经网络训练的发散或减慢。 虽然我们用简单的对称权重矩阵说明了梯度爆炸/消失问题,但观察结果可以推广到任何太小或太大的初始化值。


三、如何找到合适的初始化值


为了防止网络激活的梯度消失或爆炸,我们将坚持以下经验法则:


1、激活的平均值应为零。


2、激活的方差应该在每一层保持不变。


在这两个假设下,反向传播的梯度信号不应该在任何层中乘以太小或太大的值。 它应该移动到输入层而不会爆炸或消失。


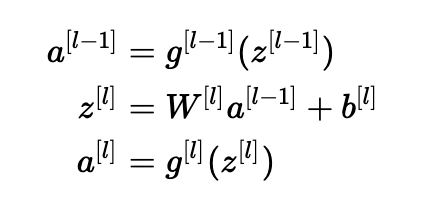
更具体地考虑层l, 它的前向传播是:

我们希望以下内容:


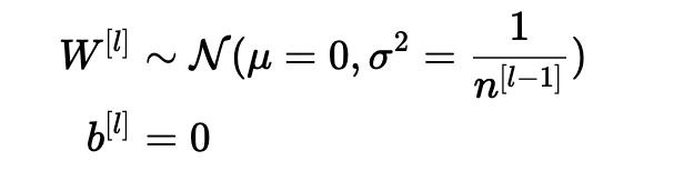
确保零均值并保持每层输入方差的值不会产生爆炸/消失信号,我们稍后会解释。 该方法既适用于前向传播(用于激活),也适用于反向传播传播(用于激活成本的梯度)。 推荐的初始化是Xavier初始化(或其派生方法之一),对于每个层l:



换句话说,层l的所有权重是从正态分布中随机选取的,其中均值μ= 0且方差σ2= n [l-1] 1其中n [l-1]是层l-1中的神经元数。 偏差用零初始化。


下面的可视化说明了Xavier初始化对五层全连接神经网络的每个层激活的影响。



您可以在Glorot等人中找到这种可视化背后的理论。(2010年)。 下一节将介绍Xavier初始化的数学证明,并更准确地解释为什么它是一个有效的初始化。


四、Xavier初始化的合理性


在本节中,我们将展示Xavier初始化使每个层的方差保持不变。 我们假设层的激活是正态分布在0附近。 有时候,理解数学原理有助于理解概念,但不需要数学,就可以理解基本思想。


让我们对第(III)部分中描述的层l进行处理,并假设激活函数为tanh。 前向传播是:



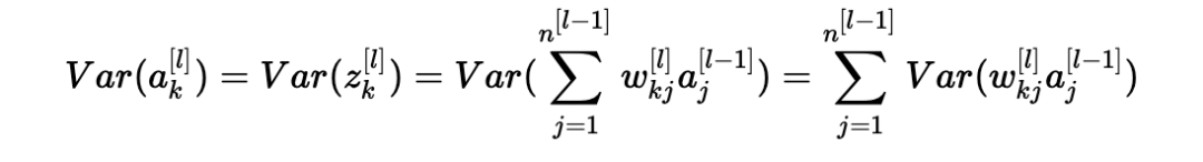
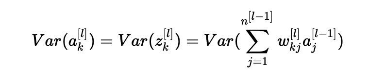
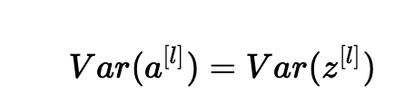
目标是导出Var(a [l-1])和Var(a [l])之间的关系。 然后我们将理解如何初始化我们的权重,使得: Var(a[l−1])=Var(a[l])。


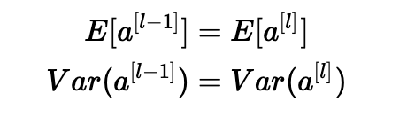
假设我们使用适当的值初始化我们的网络,并且输入被标准化。 在训练初期,我们处于tanh的线性状态。 值足够小,因此tanh(z[l])≈z[l],意思是:



此外,z[l]=W[l]a[l−1]+b[l]=向量(z1[l],z2[l],…,zn[l][l])其中 zk[l]=∑j=1n[l−1]wkj[l]aj[l−1]+bk[l]。 为简单起见,我们假设b[l]=0 (考虑到我们将选择的初始化选择,它将最终为真)。 因此,在前面的方程Var(a[l−1])=Var(a[l]) 中逐个元素地看,现在给出:

常见的数学技巧是在方差之外提取求和。 为此,我们必须做出以下三个假设:


1、权重是独立的,分布相同;

2、输入是独立的,分布相同;

3、权重和输入是相互独立的。


因此,现在我们有:



另一个常见的数学技巧是将乘积的方差转化为方差的乘积。公式如下:



使用X=wkj[l]和Y=aj[l−1]的公式,我们得到:



我们差不多完成了! 第一个假设导致E[wkj[l]]2=0,第二个假设导致E[aj[l−1]]2=0,因为权重用零均值初始化,输入被归一化。 从而:



上述等式源于我们的第一个假设,即:



同样,第二个假设导致:



同样的想法:


总结一下,我们有:


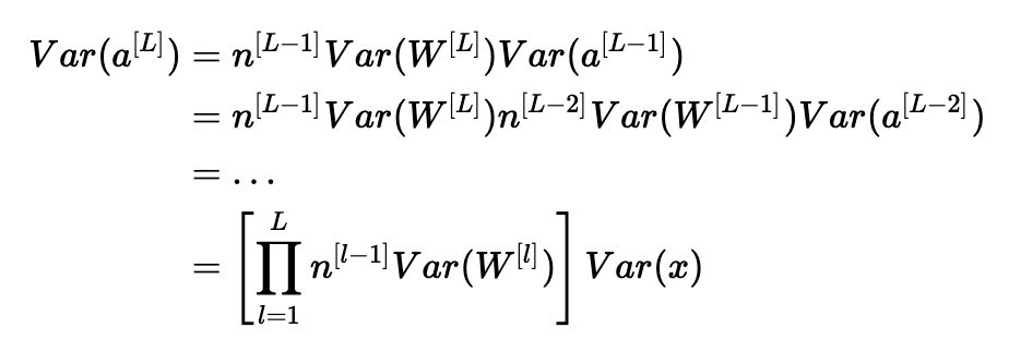
瞧! 如果我们希望方差在各层之间保持不变(Var(a[l])=Var(a[l−1])),我们需要Var(W[l])=n[l−1]1。 这证明了Xavier初始化的方差选择是正确的。


请注意,在前面的步骤中,我们没有选择特定的层ll。 因此,我们已经证明这个表达式适用于我们网络的每一层。 让LL成为我们网络的输出层。 在每一层使用此表达式,我们可以将输出层的方差链接到输入层的方差:



根据我们如何初始化权重,我们的输出和输入的方差之间的关系会有很大的不同。 请注意以下三种情况。



因此,为了避免正向传播信号的消失或爆炸,我们必须通过初始化Var(W[l])=n[l−1]1来设置n[l−1]Var(W[l])=1。


在整个证明过程中,我们一直在处理在正向传播期间计算的激活。对于反向传播的梯度也可以得到相同的结果。这样做,您将看到,为了避免梯度消失或爆炸问题,我们必须通过初始化 Var(W[l])=n[l]1来设置n[l]Var(W[l])=1。


结论


实际上,使用Xavier初始化的机器学习工程师会将权重初始化为N(0,n[l−1]1) 或N(0,n[l−1]+n[l]2)。 后一分布的方差项是n [l-1] 1和n [1] 1的调和平均值。


这是Xavier初始化的理论依据。 Xavier初始化与tanh激活一起工作。 还有许多其他初始化方法。 例如,如果您正在使用ReLU,则通常的初始化是He初始化(He et al,Delving Deep into Rectifiers),其中权重的初始化方法是将Xavier初始化的方差乘以2。虽然这种初始化的理由稍微复杂一些,但它遵循与tanh相同的思考过程。


参考链接:

https://www.deeplearning.ai/ai-notes/initialization/


(*本文为 AI科技大本营转载文章,转载请联系原作者)

 

CTA核心技术及应用峰会


5月25-27日,由中国IT社区CSDN与数字经济人才发展中心联合主办的第一届CTA核心技术及应用峰会将在杭州国际博览中心隆重召开,峰会将围绕人工智能领域,邀请技术领航者,与开发者共同探讨机器学习和知识图谱的前沿研究及应用。


更多重磅嘉宾请识别海报二维码查看。目前会议8折预售票抢购中,点击阅读原文即刻抢购。添加小助手微信15101014297,备注“CTA”,了解票务以及会务详情。




推荐阅读



登录查看更多
11

相关内容

梯度的本意是一个向量(矢量),表示某一函数在该点处的方向导数沿着该方向取得最大值,即函数在该点处沿着该方向(此梯度的方向)变化最快,变化率最大(为该梯度的模)。
[ICML-Google]先宽后窄:对深度薄网络的有效训练
专知会员服务
36+阅读 · 2020年7月5日
【CVPR 2020-商汤】8比特数值也能训练卷积神经网络模型
专知会员服务
26+阅读 · 2020年5月7日
麻省理工学院MIT-ICLR2020《神经网络能推断出什么?》
专知会员服务
51+阅读 · 2020年2月19日
谷歌机器学习速成课程中文版pdf
专知会员服务
147+阅读 · 2019年12月4日
神经网络中的权重初始化一览:从基础到Kaiming
大数据文摘
12+阅读 · 2019年4月18日
7个实用的深度学习技巧
机器学习算法与Python学习
16+阅读 · 2019年3月6日
深度学习面试100题(第41-45题)
七月在线实验室
15+阅读 · 2018年7月18日
理解神经网络的激活函数
论智
7+阅读 · 2018年1月8日
从零开始:教你如何训练神经网络
机器之心
5+阅读 · 2017年12月11日
【教程】如何估算深度神经网络的最优学习率
GAN生成式对抗网络
5+阅读 · 2017年11月18日
深度学习面试你必须知道这些答案
AI研习社
18+阅读 · 2017年10月31日
Anomalous Instance Detection in Deep Learning: A Survey
Object detection on aerial imagery using CenterNet
Arxiv
6+阅读 · 2019年8月22日
Augmentation for small object detection
Arxiv
13+阅读 · 2019年2月19日
Arxiv
18+阅读 · 2019年1月16日
dynnode2vec: Scalable Dynamic Network Embedding
Arxiv
15+阅读 · 2018年12月6日
Arxiv
22+阅读 · 2018年8月30日
Arxiv
11+阅读 · 2018年7月8日
Arxiv
6+阅读 · 2018年3月29日
VIP会员
相关资讯
神经网络中的权重初始化一览:从基础到Kaiming
大数据文摘
12+阅读 · 2019年4月18日
7个实用的深度学习技巧
机器学习算法与Python学习
16+阅读 · 2019年3月6日
深度学习面试100题(第41-45题)
七月在线实验室
15+阅读 · 2018年7月18日
理解神经网络的激活函数
论智
7+阅读 · 2018年1月8日
从零开始:教你如何训练神经网络
机器之心
5+阅读 · 2017年12月11日
【教程】如何估算深度神经网络的最优学习率
GAN生成式对抗网络
5+阅读 · 2017年11月18日
深度学习面试你必须知道这些答案
AI研习社
18+阅读 · 2017年10月31日
相关论文
Anomalous Instance Detection in Deep Learning: A Survey
Object detection on aerial imagery using CenterNet
Arxiv
6+阅读 · 2019年8月22日
Augmentation for small object detection
Arxiv
13+阅读 · 2019年2月19日
Arxiv
18+阅读 · 2019年1月16日
dynnode2vec: Scalable Dynamic Network Embedding
Arxiv
15+阅读 · 2018年12月6日
Arxiv
22+阅读 · 2018年8月30日
Arxiv
11+阅读 · 2018年7月8日
Arxiv
6+阅读 · 2018年3月29日
Top
微信扫码咨询专知VIP会员