OKGAN:线上训练GAN的方法

2020 年 8 月 23 日 PaperWeekly


©PaperWeekly 原创 · 作者|尹娟
学校|北京理工大学博士生
研究方向|随机过程、复杂网络

论文标题:Online Kernel based Generative Adversarial Networks

论文链接:https://arxiv.org/abs/2006.11432


引言

GAN 从 2014 年被 Goodfellow 提出来之后至今已经 6 年了,并且 GAN 的应用已经遍地开花,比如有图像生成,图像风格迁移,数据增强,生成对抗样本等等。

但是 GAN 训练过程中自身有两个顽疾一直没有很好地被处理掉,一个是模型训练不稳定,另一个是模式塌缩,其中 WGAN,DualGAN,WGAN-GP 都在解决这两个问题中做出过贡献,然而它们都是针对 GAN 的线下训练,该论文是一种线上稳定训练 GAN 的方法。


论文的贡献

本文的贡献可以归纳为如下几点:

  • 首先作者提出了一种基于非参数的鉴别器(它是一种基于核的分类器),可以有效地在线训练,直观感觉基于核的分类器会大大降低模型训练的成本而且训练更稳定,因为参数量较小(比如 SVM 会比神经网络更好训练)。

  • 鉴别器的优化公式是一个凸优化的形式,在基于核的预测器的计算和统计特性方面都有大量的结果。要知道神经网络是一个非凸函数,在优化过程中会遇到陷入局部最优解和梯度消失的问题,但是凸函数就不会遇到这些让人头疼的问题。

  • 核分类器可以选择内核或组合内核目的是在数据表示上增加灵活性。论文中发现不同半径的高斯核的混合在复杂的图像数据集(如 CelebA)中表现最好。


模型介绍

要知道在 GAN 的经典形式中,鉴别器通常被视为一个神经网络分类器,其目的是区分数据是真是假。而该论文所用到鉴别器模型是再生核 Hilbert 空间的函数类的分类器,它跟深层网络相比有许多优点。

学习任务是一个凸问题,它提供了有保证的收敛速度和充分理解的速度。其次,利用边缘理论和 RKHS 范数度量函数大小,有一种有效的方法来衡量从 RKHS 中选择的分类器的泛化能力,从而对其进行适当的正则化,并且它们非常适合快速在线训练。

是一个抽象的数据空间,它通常是有限维的实向量空间,有一个核 是半正定和对称的。对于一组样本 ,其中 是半正定,所以在 Hilbert 空间中有:

则函数的范数为:

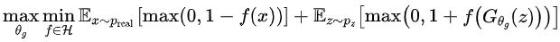
假定有一个凸函数 ,其中 的预测损失函数, 是真实的标签,则 OKGAN 的对抗损失函数为:

其中生成 的优化目标函数为:

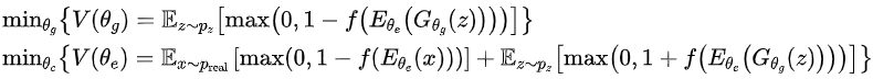
OKGAN 在低维数据(如二维合成数据集)上具有优越的性能。但是如果没有额外的表现能力,它很难生成高质量的图像,而这正是其他 GAN 架构的特点,然而如果通过添加编码器层来弥补的,可以发现编码器能够计算高维数据,如复杂的图像数据集的内核,其中编码器也是一个神经网络,此时 OKGAN 的对抗损失为:

其中生成器  和编码器  分别对应的目标函数为:

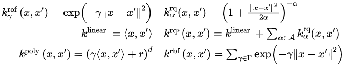
作者探讨了很多核函数,分别有高斯核函数,线性核函数,多项式核函数,有理二次型核函数,混合高斯核函数和混合 RQ 线性核函数,具体形式如下:


实验结果

作者从定量和定性两方面提供了 OKGANs 的实验结果,采用二维合成数据集对模式崩溃进行定量分析,用 MNIST、SVHN 和 CelebA 均用于定性分析,其中评估指标为:

如下表所示,在缓解模式崩溃方面 OKGAN 显示出了最好的性能。与其他 GANs 相比,OKGAN 捕捉所有 2D 合成数据集的所有模式,并且 OKGAN 的反向 KL 散度在这三个数据集中是最低的,这就说明了 OKGAN 能够缓解模式塌缩(即 GAN 能够多样性学习样本数据)。

下图为 OKGAN 和其它 GANs 比较多样性学习的比较,可以看出 OKGAN 学习的分布与原来数据分布是最相似的。

稍微扩展一下,在 DualGAN 中,作者创造性的把 KL 散度和反向 KL 散度综合到一起应用来提高 GAN 的学习多样性的能力,要知道 KL 散步是一个有很大缺陷的度量方法,因为其该度量方法不对成,即 KL (A,B) 不等于 KL (B,A)。所以该论文中多用了一个反向 KL 散度来评估 OKGAN 缓解模式塌缩的效果。

下图为 OKGAN 训练过程中的反向 KL 散度的图示,可以看出 OKGAN 的伪分布比 BourGAN 更快地收敛到真实分布,并且以更稳定的方式训练 OKGAN,由此可知 OKGAN 通过利用基于核的非参数鉴别器来增加生成样本的多样性。

下图为 OKGAN 和 DCGAN 在 MNIST,SVHN,CeleBA 数据集上样本生成的对比示意图,可以看出 OKGAN 生成的样本细节更丰富。




更多阅读




#投 稿 通 道#

 让你的论文被更多人看到 



如何才能让更多的优质内容以更短路径到达读者群体,缩短读者寻找优质内容的成本呢?答案就是:你不认识的人。


总有一些你不认识的人,知道你想知道的东西。PaperWeekly 或许可以成为一座桥梁,促使不同背景、不同方向的学者和学术灵感相互碰撞,迸发出更多的可能性。 


PaperWeekly 鼓励高校实验室或个人,在我们的平台上分享各类优质内容,可以是最新论文解读,也可以是学习心得技术干货。我们的目的只有一个,让知识真正流动起来。


📝 来稿标准:

• 稿件确系个人原创作品,来稿需注明作者个人信息(姓名+学校/工作单位+学历/职位+研究方向) 

• 如果文章并非首发,请在投稿时提醒并附上所有已发布链接 

• PaperWeekly 默认每篇文章都是首发,均会添加“原创”标志


📬 投稿邮箱:

• 投稿邮箱:hr@paperweekly.site 

• 所有文章配图,请单独在附件中发送 

• 请留下即时联系方式(微信或手机),以便我们在编辑发布时和作者沟通



🔍


现在,在「知乎」也能找到我们了

进入知乎首页搜索「PaperWeekly」

点击「关注」订阅我们的专栏吧



关于PaperWeekly


PaperWeekly 是一个推荐、解读、讨论、报道人工智能前沿论文成果的学术平台。如果你研究或从事 AI 领域,欢迎在公众号后台点击「交流群」,小助手将把你带入 PaperWeekly 的交流群里。



登录查看更多
0

相关内容

GAN:生成性对抗网,深度学习模型的一种,在神经网络模型中引入竞争机制,非常流行。
【ACM MM2020】对偶注意力GAN语义图像合成
专知会员服务
36+阅读 · 2020年9月2日
生成对抗网络GAN的发展与最新应用
专知会员服务
127+阅读 · 2020年8月13日
【ICML2020-浙江大学】对抗性互信息的文本生成
专知会员服务
44+阅读 · 2020年7月4日
专知会员服务
109+阅读 · 2020年5月21日
生成式对抗网络GAN异常检测
专知会员服务
118+阅读 · 2019年10月13日
从DCGAN到SELF-MOD:GAN的模型架构发展一览
PaperWeekly
4+阅读 · 2019年4月22日
基于GAN的极限图像压缩框架
论智
12+阅读 · 2018年4月15日
探幽深度生成模型的两种方法:VAE和GAN
AI前线
15+阅读 · 2018年3月10日
在TensorFlow中对比两大生成模型:VAE与GAN
机器之心
12+阅读 · 2017年10月23日
GAN | GAN介绍(2)
中国科学院网络数据重点实验室
44+阅读 · 2017年8月4日
GAN猫的脸
机械鸡
11+阅读 · 2017年7月8日
A Probe into Understanding GAN and VAE models
Arxiv
9+阅读 · 2018年12月13日
Arxiv
4+阅读 · 2018年9月25日
Arxiv
5+阅读 · 2018年5月21日
Arxiv
4+阅读 · 2018年4月26日
Arxiv
7+阅读 · 2018年3月12日
Arxiv
9+阅读 · 2018年1月4日
VIP会员
相关资讯
从DCGAN到SELF-MOD:GAN的模型架构发展一览
PaperWeekly
4+阅读 · 2019年4月22日
基于GAN的极限图像压缩框架
论智
12+阅读 · 2018年4月15日
探幽深度生成模型的两种方法:VAE和GAN
AI前线
15+阅读 · 2018年3月10日
在TensorFlow中对比两大生成模型:VAE与GAN
机器之心
12+阅读 · 2017年10月23日
GAN | GAN介绍(2)
中国科学院网络数据重点实验室
44+阅读 · 2017年8月4日
GAN猫的脸
机械鸡
11+阅读 · 2017年7月8日
相关论文
A Probe into Understanding GAN and VAE models
Arxiv
9+阅读 · 2018年12月13日
Arxiv
4+阅读 · 2018年9月25日
Arxiv
5+阅读 · 2018年5月21日
Arxiv
4+阅读 · 2018年4月26日
Arxiv
7+阅读 · 2018年3月12日
Arxiv
9+阅读 · 2018年1月4日
Top
微信扫码咨询专知VIP会员