把因果干预用到弱监督语义分割上!这篇NeurIPS 2020 oral论文不简单

2020 年 10 月 2 日 AI科技评论
作者 | 张冬 
编辑 | 陈大鑫
本文介绍一篇今年被NeurIPS 2020收录的一篇oral文章:
《 Causal Intervention for Weakly-Supervised Semantic Segmentation》
这篇论文提出的基于因果干预的Context Adjustment (CONTA)模型主要有以下几个优势:
1、CONTA是 第一个使用因果图来分析弱监督语义分割模型中各component之间的关系 ,从而找出了造成现有的pseudo-mask不准确的本质原因是因为数据集中的上下文先验是混淆因子。在此基础上,作者又进一步提出了使用因果干预切断上下文先验和图像之间的关联,从而提升pseudo-mask的质量。
2、不同于以往的基于graph neural network或复杂的attention机制的弱监督语义分割模型, CONTA的设计简洁,并没有很复杂的操作和训练步骤在其中。
3、作者在4种不同的弱监督语义分割模型上都进行了实验,结果表明 CONTA可以提升模型CAM、pseuso-mask和segmentation mask的质量 ,从而验证了CONTA的通用性和有效性。
作者 相信CONTA在将来也可以被应用到其他的弱监督语义分割模型上。

论文第一作者张冬:
南京理工大学IMAG实验室博士4年级学生,导师为唐金辉教授。 2018年9月至2020年9月国家公派留学至南洋理工大学MReaL实验室,跟随张含望教授。
主要研究领域包括: 模式识别、目标检测和语义分割
论文链接:https://arxiv.org/pdf/2009.12547.pdf
代码链接:https://github.com/ZHANGDONG-NJUST/CONTA
接下来是作者张冬对本论文的亲自解读。


1

背景简介

语义分割(Semantic Segmentation)任务需要对输入图像中的每一个像素都进行类别预测。因此想要训练一个全监督的segmentation模型,则首先需要消耗大量的人力、财力对训练图像进行逐像素的标注。
为缓解这个问题,人们利用一些较容易获取的弱标签(Weak Label)作为图像的监督信息来训练segmentation模型。比如,常见的弱标签有Bounding Box、Scribble、Point以及Image-level class label。
我们的研究内容是基于image-level class label的,其是这些弱标签中是容易获取但也是最难处理的,因为image-level class label本身只提供了图像的类别信息而没有目标在图像中的位置信息。
目前流行的基于image-level class label的弱监督segmentation模型主要分为以下三个步骤进行,如图1所示:
1、首先通过multi-label image classification模型获取图像的类响应激活图(Class Activation Map)作为种子区域(Seed Area);
2、在种子区域的基础上,通过计算像素之间的语义相似性对种子区域进行扩张(Exoansion)得到图像的伪标签(Pseudo-Mask);
3、使用伪标签作为Ground-Truth训练一个全监督的语义分割模型,并在训练好的模型上对val/test集合进行预测。
图 1. 目前流行的基于image-level class label的弱监督segmentation模型

2

伪标签中存在的问题

从以上的介绍中,我们很容易可以看出,获取种子区域,以及对种子区域进行扩张是弱监督语义分割中最重要的两个步骤,其决定了我们得到的pseudo-mask的质量。那么我们能否只使用弱标签而获取和ground-truth完全一致的pasudo-mask ?
答案是否定的。
因为我们通过image classification模型只能获取目标在分类过程中一部分最具有判别性的区域,比如狗的头、猫的耳朵、车的轮子等。
而仅仅通过种子扩张的方法去准确cover到目标的所有区域并不超出目标的边界显然是不可能的。
而对于一个具体的object而言,其不完美的pseudo-mask无非就以下两种基本的情况,如图2所示:
1) 没cover到完整的区域 (Incomplete Foreground);
2) 超出了本身的区域 。对于第二种情况我们又将其分为两种具体的case:超出到了其他前景目标区域中(Object Ambiguity),以及超出到了背景区域中(Incomplete Background)。在实际生成的pseudo-mask中,以上的三种情况往往是混合在一起出现的。
另外,图2中的“context”是我们把数据集中每个类对应的目标区域使用mask扣出来后求mean的结果,其能反映出来当前类在图像中的一个大概的位置、形状等信息。
图 2. 伪标签中存在的三种基本问题. (a) Object Ambiguity; (b) Incomplete Background; (c) Incomplete Foreground.

3

结构化因果图

为了解决伪标签中存在的问题,我们首先需要知道的是什么原因产生了这些问题。因果关系作为可以用来分析模型component之间因果效应的工具,被理论和实践验证是有用的,并已经被成功应用在多个计算机视觉任务中。
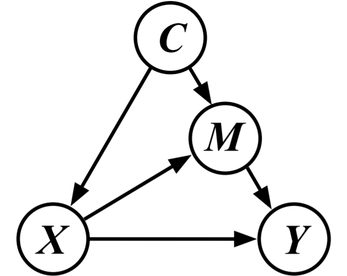
在我们的论文中, 我们通过建立结构化因果图(Structural Causal Model)分析弱监督语义分割模型中各个component之间的因果关系,从而发掘导致不完美的pseudo-mask的原因。
图3就是我们提出的结构化因果关系图,其中C是数据集的上下文先验,X是输入图像,Y是图像对应的类别标签,M被认为是X在上下文先验C下的一个具体的表示。至于为什么这四个components之间的因果关系可以这么表示,以及各个component之间的具体的关系,大家可以去查看我们的论文 Section 3.1,里面有详细的解释。另外,关于因果关系的一些背景知识,建议大家可以参考[1,2]。
图 3. 本文提出的结构化因果图

4

因果干预

通过以上的结构化因果图,我们可以很清楚的发现,上下文先验C在整个模型中是一个混淆因子,其导致了弱监督语义分割模型在分类的过程中将标签Y和一些存在于X中的和Y无关的像素“虚假关联”了起来。
例如,在PASCAL VOC 2012数据集中,只要有“马”出现的时候,那么一般同时都会有“人”的存在,那么分类模型就会把“马”和“人”进行关联,导致马的部分的CAM会落到人所在的像素区域中,可视化的例子大家可以参照图2中的Object Ambiguity。
为了消除这种混淆因子,一个最直接的方法就是我们可以获得这样一个数据集:其中不同种类的目标的各种角度均被放在所有可能的上下文中进行了拍摄,显然这是不可能实现的。退一步讲,即使我们可以这么做,那也是得不偿失的。
为了达到相同的目的,我们只能使用因果干预来达到近似的效果。如图4所示,通过切断上下文先验C和图像X之间的关联,使得X能和每一种C都公平地进行结合,从而打破弱监督语义分割模型在分类过程中的X和Y之间的虚假关联,以产生质量更高的CAM用于seed area。
图 4. 干预的结构化因果图
然而在弱监督语义分割的task中,上下文先验C本身是不可知的。我们能拿到的所有的信息只有图像X,图像类别标签Y,以及通过X和Y产生的pseudo-mask。
为此,在本文提出的Context Adjustment方法中,我们使用Class-Specific Average Mask来近似构建一个Confounder set,其中Confounder Set中的每一项是通过对每个类的mask进行平均后获得的均值。
在已知X和C的情况下,M则可以被表示为C的一种线性组合。如图5所示,包含类别信息“car”,“person”,和“bicycle”的图像X可以被表示为0.12“bird” + 0.13“bottle” + ... + 0.29“person”,其中“bird”,"person"和“bottle”均为数据集中提供的目标类别。
图 5. CONTA中每个component的可视化

5

实施步骤

以上分析的干预后的因果图,其本质上是一个包含了mask信息的多标签分类模型。那我们如何把这个分类模型再次用到弱监督的分割任务中?
由于mask在当前步骤中已经被使用了,所以很容易想到的就是把模型设计为一种循环的模式。
如图6,首先,通过初始化弱监督语义分割模型获取图像的mask信息;
然后,构建Confounder set并去除confounder。 该步骤参考了我们组之前的几个工作[3,4];
最后将去除confounder后的mask拼接到下一轮的分类模型的backbone中以产生更高质量的CAM。
产生的CAM又可以用来产生更高质量的mask,以此形成一个良性循环(其收敛性可以由EM算法保证)。

图 6. 本文提出的CONTA模型


6

实验结果

我们在PASCAL VOC 2012和COCO数据集上都进行了实验,在以SEAM [5]和IRNet [6]为baseline的基础上,我们的模型在PASCAL VOC 2012和COCO均取得了当前最好的效果。
除了在两个SOTA模型上进行实验之外,我们还在SEC和DSRG模型上进行了实验,并report了在training set上的CAM和pseudo-mask的量化结果。实验结果均验证了CONTA的有效性。
最后,提供一些分割的可视化结果。
可以看到在CONTA的帮助下,原本一些错误分割的目标可以被准确的分割,比如“狗”。
一些较小和较细的目标的mask也得到了改善,比如“牛腿”和远处的“人”等等。
除此之外,我们还可视化两个失败的例子:自行车和植物。
造成这种目标分割失败的原因是由于目标本身太细了,而我们的分割模型最后的特征图是8倍下采样的,因此这类目标不能被很好的分割。
这些问题可以通过使用一些更细粒度的特征得到解决。


7

总结

以往的弱监督语义分割模型往往都是一锤子买卖,使用pseudo-mask训练好了语义分割模型后就结束了,下游的模型并没有用来反哺上游的模型,但是下游的模型本身却往往包含着自己想要的重要信息。
CONTA或许可以给大家提供这样一种思路,不仅仅适用于弱监督的语义分割模型中, 怎么样可以使得这种类似的“multi-stage”任务活起来,使用一些自带的信息进行补充后,再用到下一轮的循环中解决存在的问题。
本文经作者授权转载自知乎:
https://zhuanlan.zhihu.com/p/260967655

参考链接:

  • [1] https://zhuanlan.zhihu.com/p/111306353
  • [2] https://zhuanlan.zhihu.com/p/259569655
  • [3] Xu Yang, Hanwang Zhang, and Jianfei Cai. Deconfounded image captioning: A causal retrospect. In arXiv, 2020.
  • [4] Jiaxin Qi, Yulei Niu, Jianqiang Huang, and Hanwang Zhang. Two causal principles for improving visual dialog. In CVPR, 2020.
  • [5] Yude Wang, Jie Zhang, Meina Kan, Shiguang Shan, and Xilin Chen. Self-supervised equivariant attention mechanism for weakly supervised semantic segmentation. In CVPR, 2020.
  • [6] Jiwoon Ahn, Sunghyun Cho, and Suha Kwak. Weakly supervised learning of instance segmentation with inter-pixel relations. In CVPR, 2019.

[博文视点赠书福利]

10月1日头条留言区留言,谈一谈你对这两本书的看法或有关的学习、竞赛等经历。

AI 科技评论将会在留言区选出15名读者,送出《阿里云天池大赛赛题解析——机器学习篇》10本,《集成学习:基础与算法》5本,每人最多获得其中一本。

活动规则:

1. 在留言区留言,留言点赞最高的前 15 位读者将获得赠书,活动结束后,中奖读者将按照点赞排名由高到低的顺序优先挑选两本书中的其中一本,获得赠书的读者请添加AI科技评论官方微信(aitechreview)。

2. 留言内容会有筛选,例如“选我上去”等内容将不会被筛选,亦不会中奖。

3. 本活动时间为2020年10月1日 - 2020年10月8日(23:00),活动推送内仅允许中奖一次


AI科技评论现建立摸鱼划水群,供大家闲聊一些学术以及非学术问题(禁广告、禁敏感话题,群满请加微信aitechreview

登录查看更多
0

相关内容

专知会员服务
10+阅读 · 2020年11月12日
专知会员服务
46+阅读 · 2020年10月22日
【NeurIPS 2020】对比学习全局和局部医学图像分割特征
专知会员服务
44+阅读 · 2020年10月20日
【NeurIPS 2020】生成对抗性模仿学习的f-Divergence
专知会员服务
26+阅读 · 2020年10月9日
【NeurIPS 2020】基于因果干预的小样本学习
专知会员服务
70+阅读 · 2020年10月6日
专知会员服务
47+阅读 · 2020年10月5日
【CVPR2020-北京大学】自适应间隔损失的提升小样本学习
专知会员服务
85+阅读 · 2020年6月9日
专知会员服务
42+阅读 · 2020年2月20日
AAAI 2020 | 樊峻菘:弱监督语义分割(视频解读)
AI科技评论
11+阅读 · 2020年1月29日
CVPR 2019 Oral 论文解读 | 无监督域适应语义分割
AI科技评论
49+阅读 · 2019年5月29日
【学界】AAAI 2019 论文解读 | 基于区域分解集成的目标检测
GAN生成式对抗网络
8+阅读 · 2019年3月4日
CVPR 2018 论文解读 | 基于GAN和CNN的图像盲去噪
PaperWeekly
13+阅读 · 2019年1月22日
见微知著:语义分割中的弱监督学习
深度学习大讲堂
11+阅读 · 2017年12月6日
Arxiv
0+阅读 · 2020年12月3日
Arxiv
0+阅读 · 2020年12月1日
Arxiv
0+阅读 · 2020年11月27日
Hierarchy Parsing for Image Captioning
Arxiv
6+阅读 · 2019年9月10日
W-net: Bridged U-net for 2D Medical Image Segmentation
Arxiv
20+阅读 · 2018年7月12日
Arxiv
5+阅读 · 2016年10月24日
VIP会员
相关VIP内容
专知会员服务
10+阅读 · 2020年11月12日
专知会员服务
46+阅读 · 2020年10月22日
【NeurIPS 2020】对比学习全局和局部医学图像分割特征
专知会员服务
44+阅读 · 2020年10月20日
【NeurIPS 2020】生成对抗性模仿学习的f-Divergence
专知会员服务
26+阅读 · 2020年10月9日
【NeurIPS 2020】基于因果干预的小样本学习
专知会员服务
70+阅读 · 2020年10月6日
专知会员服务
47+阅读 · 2020年10月5日
【CVPR2020-北京大学】自适应间隔损失的提升小样本学习
专知会员服务
85+阅读 · 2020年6月9日
专知会员服务
42+阅读 · 2020年2月20日
Top
微信扫码咨询专知VIP会员