经典书「统计学习要素(The Elements of Statistical Learning)」笔记与习题解答,139页pdf

2020 年 2 月 9 日 专知

【导读】斯坦福《统计学习要素》一直是机器学习领域公认经典的教材,是一本在机器学习、统计推理和模式识别领域有影响力和被广泛研究的书。而这本书一直没有得到中文翻译。近期由mit的John L. Weatherwax和David Epstein†博士撰写了The Elements of Statistical Learning (ESL)的学习笔记及其习题解答公开,非常值得学习!


地址:

https://waxworksmath.com/Authors/G_M/Hastie/hastie.html


The Elements of Statistical Learning 笔记习题解答

  • 第一章:导言

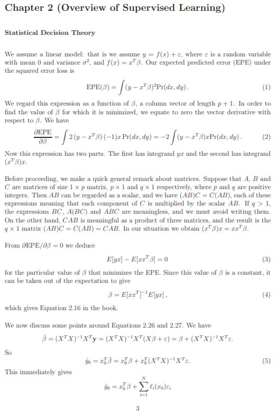
  • 第二章:监督学习的综述

  • 第三章:回归的线性方法(新:LAR算法和lasso的一般化)

  • 第四章:分类的线性方法(新:逻辑斯蒂回归的lasso轨迹)

  • 第五章:基本的扩展和正则化(新:RKHS的补充说明)RKHS(再生核希尔伯特空间)

  • 第六章:核光滑方法

  • 第七章:模型评估与选择(新:交叉验证的长处与陷阱)

  • 第八章:模型推论与平均

  • 第九章:补充的模型、树以及相关的方法

  • 第十章:Boosting和Additive Trees(新:生态学的新例子,一些材料分到了16章)

  • 第十一章:神经网络(新:贝叶斯神经网络和2003年神经信息处理系统进展大会(NIPS)的挑战)

  • 第十二章:支持向量机和灵活的判别式(新:SVM分类器的路径算法)

  • 第十三章:原型方法和邻近算法

  • 第十四章:非监督学习(新:谱聚类,核PCA,离散PCA,非负矩阵分解原型分析,非线性降维,谷歌pagerank算法,ICA的一个直接方法)

  • 第十五章:随机森林

  • 第十六章:实例学习

  • 第十七章:无向图模型

  • 第十八章:高维问题



这是一本关于统计学习理论的优秀教材,我将向任何从事统计学习、模式识别或机器学习领域工作的人高度推荐它。更多关于这本书(和电子版)的信息可以在这里找到。


你可以在下面的链接中找到该书不同部分的注释、所选问题的解决方案、问题的数字代码和第二版中的一些示例。






The Elements of Statistical Learning中文版


ESL中文版是由香港中文大学Lijun Wang博士创作的,统计学专业,包括中文翻译、代码实现及其习题解答。


项目地址:

https://github.com/szcf-weiya/ESL-CN

https://esl.hohoweiya.xyz/


便捷查看请关注专知公众号(点击上方蓝色专知关注


  • 后台回复“ESL” 就可以获取《统计学习要素(The Elements of Statistical Learning)》电子书pdf和习题解答笔记下载链接~ 



专知便捷查看

便捷下载,请关注专知公众号(点击上方蓝色专知关注)

  • 后台回复“ESL” 就可以获取统计学习要素(The Elements of Statistical Learning)》电子书pdf和习题解答笔记下载链接~ 

专知,专业可信的人工智能知识分发,让认知协作更快更好!欢迎注册登录专知www.zhuanzhi.ai,获取5000+AI主题干货知识资料!
欢迎微信扫一扫加入专知人工智能知识星球群,获取最新AI专业干货知识教程资料和与专家交流咨询
点击“ 阅读原文 ”,了解使用 专知 ,查看获取5000+AI主题知识资源
登录查看更多
13

相关内容

【经典书】机器学习:贝叶斯和优化方法,1075页pdf
专知会员服务
414+阅读 · 2020年6月8日
【经典书】机器学习高斯过程,266页pdf
专知会员服务
235+阅读 · 2020年5月2日
【经典书】统计学习导论,434页pdf,斯坦福大学
专知会员服务
238+阅读 · 2020年4月29日
【经典书】Python数据数据分析第二版,541页pdf
专知会员服务
197+阅读 · 2020年3月12日
【新书】Python中的经典计算机科学问题,224页pdf
专知会员服务
149+阅读 · 2019年12月28日
推荐几本学习自然语言处理相关的书籍
AINLP
7+阅读 · 2016年10月12日
Arxiv
15+阅读 · 2020年2月6日
Optimization for deep learning: theory and algorithms
Arxiv
106+阅读 · 2019年12月19日
Arxiv
18+阅读 · 2019年1月16日
Deep Learning for Generic Object Detection: A Survey
Arxiv
14+阅读 · 2018年9月6日
Arxiv
6+阅读 · 2018年6月21日
VIP会员
Top
微信扫码咨询专知VIP会员