2019AACR |KEYNOTE-006研究5年随访数据公布: 黑色素瘤治疗迈进长期生存,帕博利珠单抗再次引领免疫治疗新探索!

2019 年 4 月 8 日 肿瘤资讯
整理:肿瘤资讯
来源:肿瘤资讯

美国癌症研究协会(AACR)年会是全球历史最悠久、规模最大的肿瘤研究学术会议之一。会议关注高质量肿瘤研究及创新的各个方面,是全球肿瘤研究的焦点,将汇集肿瘤领域的最前沿的研究成果。3月29日至4月3日,2019年AACR年会在美国亚特兰大召开,今年的主题为“综合性癌症科学•全球影响•个性化患者护理”。免疫治疗仍然是本次大会的热点,黑色素瘤作为免疫治疗最早应用的领域被誉为“Leanding Tumor”,免疫治疗区别于其他治疗方案的长期生存获益再一次在黑色素瘤领域被证实,同时回答了免疫治疗的最佳疗程和第二周期治疗问题。

【KEYNOTE-006】接受帕博利珠单抗治疗患者5年随访显示:约40%的患者仍然存活

研究背景

在靶向治疗和免疫治疗问世之前,晚期黑色素瘤的预后较差,5年生存率<10%。2011年,伊匹木单抗在美国上市并迅速成为黑色素瘤晚期治疗的金标准。KEYNOTE-006研究于2013年8月启动,研究中头对头比较了帕博利珠单抗与伊匹木单抗治疗晚期黑色素瘤的疗效差别,研究主要终点为PFS和OS。研究结果显示:相对于伊匹木单抗,帕博利珠单抗可以显著改善患者的PFS和OS。因此,目前帕博利珠单抗已经成为晚期黑色素瘤的一线治疗标准方案。

KEYNOTE-006研究分别在2015年、2017年、2018年发布了不同时间的随访数据。在2018年ASCO上公布的KEYNOTE-006研究4年随访数据显示:帕博利珠单抗用于总体人群的4年OS率为42%,其中一线接受帕博利珠单抗治疗的患者,4年OS率达到44%。虽然免疫治疗的长期生存获益被证实,但仍有一些研究问题需要继续探索。在本次的AACR大会上,除了讨论KEYNOTE-006研究的5年生存率问题,还就其他热点问题进行了讨论。KEYNOTE-006研究的主要目的如下:

研究目的

1.   评估帕博利珠单抗治疗5年后的随访结果。

2.   评估完成2年帕博利珠单抗治疗的患者疗效。

3.   评估第二周期帕博利珠单抗治疗的疗效和安全性。

研究方法

KEYNOTE-006研究是一项III期、开放、多中心的研究,旨在对比帕博利珠单抗和伊匹木单抗治疗既往未接受过伊匹木单抗治疗的不可切除III期或IV期黑色素瘤。同时,研究也允许在晚期阶段接受过≤1线系统性治疗,BRAF V600突变状态已知的患者入组。所有适合入组的患者随机1∶1∶1分配接受帕博利珠单抗10mg/kg,q2w或q3w治疗直至2年或伊匹木单抗3mg/kg,q3w治疗4个疗程。帕博利珠单抗治疗24个月或直至疾病进展、不可耐受的毒性或患者/医生决定停止治疗。对于接受帕博利珠单抗治疗达到完全缓解(CR)的患者,如果已经接受了≥6个月的帕博利珠单抗治疗,且在影像学第一次确认取得CR后再接受过2个剂量治疗的患者,可以考虑停药。完成了2年帕博利珠单抗治疗且至少取得疾病稳定(SD)的患者,认为是完成了方案既定的治疗疗程。对于完成了全疗程的帕博利珠单抗治疗或因为取得CR停药的患者,在疾病进展后可以接受额外12个月的帕博利珠单抗治疗(定义为第二周期治疗);对于那些因为治疗相关不良事件(TRAE)或在停止帕博利珠单抗后接受其他新的抗肿瘤治疗的患者,则不符合再次接受第二程治疗的要求。KEYNOTE-006研究的主要终点为独立评估委员会采用免疫相关疗效评价标准评估的OS、PFS和ORR。

研究结果

该研究在16个国家87个研究中心共入组834例患者,分别有556例和278例患者接受帕博利珠单抗或伊匹木单抗治疗。两组患者的基线特征均衡,总结见表1。患者的中位随访时长为57.7个月(范围:0.03~62.1个月)。

表1. 患者的基线特征

 长期生存获益 

OS数据分析:帕博利珠单抗组和伊匹木单抗组的中位OS分别为32.7个月vs 15.9个月,HR=0.73,P=0.00049,见图1A。对于接受免疫治疗作为一线治疗的患者,帕博利珠单抗组和伊匹木单抗组的中位OS分别为38.7个月vs 17.1个月,HR=0.73,见图1B。

图1. 总体人群(A)和一线治疗人群(B)的OS分析

 长效阻断疾病进展 

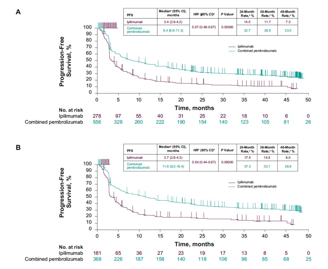
PFS数据分析:总体人群中,帕博利珠单抗和伊匹木单抗的中位PFS分别为8.4个月和3.4个月,差异具有统计学意义,HR=0.57,P<0.0001,见图2A;两组的4年PFS率分别为23.0%和7.3%。对于一线治疗的患者,帕博利珠单抗和伊匹木单抗的中位PFS分别为11.6个月和3.7个月,HR=0.54,见图2B。

图2. 总体人群(A)和一线治疗人群(B)的PFS分析

 2年拟成为最佳免疫治疗疗程 

完成2年帕博利珠单抗治疗人群的疗效分析:556例接受帕博利珠单抗治疗的患者,103例(18.5%)完成了2年治疗;其中76例(78.3%)患者仍未出现疾病进展,27例(26.2%)患者出现疾病进展,见图3。在大多数取得CR(76.2%)或PR(76.8%),以及多数SD(53.8%)的患者中,疗效仍然持续。在停用帕博利珠单抗治疗后,8例(8%)PR的患者转化为CR。在完成2年帕博利珠单抗治疗的患者中,24个月和36个月的OS率分别为85.4%和82.3%,见图4。那些取得CR后提前终止帕博利珠单抗治疗的患者(n=23)以及未完成2年帕博利珠单抗治疗的患者,在停药后的24个月的PFS率为85%。

图3. 完成2年帕博利珠单抗治疗患者的治疗结局

图4. 完成2年帕博利珠单抗治疗的患者中,根据患者最佳疗效分析PFS

 第二周期探索 

第二周期帕博利珠单抗治疗的疗效:13例患者接受了第二周期帕博利珠单抗治疗,这13例患者接受第一周期帕博利珠单抗治疗的疗效分别为:CR 6例(46.2%)、PR 6例(46.2%)、SD 1例(7.7%)。4例患者在未完成12个月治疗前终止了帕博利珠单抗治疗,其中2例是因为疾病进展,1例为2度肺炎,1例为研究者决定。9例患者完成了12个月的第二周期帕博利珠单抗治疗,目前5例仍持续有疗效。第二周期帕博利珠单抗治疗的中位时长为9.7个月。在这13例患者中,11例可以评估疗效,分别为CR 3例(27.3%)、PR 4例(36.4%)、SD 3例(27.3%)、PD 1例(9.1%),见图5。

图5. 接受第二周期帕博利珠单抗治疗患者的疗效持续时间

 安全性分析 

总体人群的安全性分析:帕博利珠单抗和伊匹木单抗组中分别有443例(79.6%)和190例(74.2%)患者出现任意级别的TRAE;两组3~4度的TRAE发生率分别为17.3%(96例)和19.5%(50例)。延长随访时间观察到的安全性与既往报道相似。

完成第二周期帕博利珠单抗治疗患者的安全性分析:在第二周期帕博利珠单抗治疗过程中,6例患者出现1或2度的TRAE。观察到的1~2度TRAE包括:乏力(3例)、皮疹(2例)、味觉障碍、头痛、瘙痒、皮质醇水平降低、肌肉无力、肌痛、皮肤干燥、白癜风、高敏感、甲状腺炎、甲状腺功能减退(甲减)、贫血、转氨酶升高、碱性磷酸酶升高(各1例)。研究过程中未观察到3~4度TRAE或死亡。4例患者出现免疫相关不良事件,包括严重皮肤反应、甲状腺炎、输液反应和甲减。

总结

在晚期黑色素瘤患者中,帕博利珠单抗对比伊匹木单抗显示出持久的OS获益,随访5年的结果显示,整体人群中接受帕博利珠单抗和伊匹木单抗治疗的患者分别有38.7%和31.0%的患者仍然存活,在接受一线治疗的人群中,接受帕博利珠单抗和伊匹木单抗治疗的患者分别有43.2%和33.0%的患者仍然存活。在完成2年帕博利珠单抗治疗的患者(18.5%)和取得CR(无论是否完成2年治疗)的患者中,疗效非常持久:完成2年帕博利珠单抗治疗的患者中,78.3%的患者仍未出现疾病进展,93.8%的患者在3年时仍持续存活;在取得CR的患者中,大多数(85%~86%)患者在停药后2年未进展。13例接受第二周期帕博利珠单抗治疗的患者,耐受性好,且仍可观察到额外的抗肿瘤活性。

斯璐教授点评:KEYNOTE-006研究5年随访数据再次引领免疫治疗探索

               
斯璐
主任医师、副教授、硕士生导师

北京大学肿瘤医院肾癌黑色素瘤内科   
教育部新世纪优秀人才
亚洲黑色素瘤协作组秘书
CSCO黑色素瘤专家委员会副主委
CSCO青年专家委员会常委
CSCO免疫治疗专家委员会委员
北京市自然科学基金评审专家
《CSCO黑色素瘤诊疗指南》执笔人
Clinical Cancer Research 审稿专家
《肿瘤学杂志》副主编兼青年编委

对比此前的化疗,5年生存率不足5%,一线免疫治疗患者生存率可以达到40%以上,这是前所未有的突破性进展。以帕博利珠单抗为代表的PD-1单抗,引领了肿瘤治疗的变革,最早的免疫治疗研究皆起源于黑色素瘤领域。KEYNOTE-006研究再次证实了免疫治疗最显著的特点——长效,即免疫治疗的有效时间可以长达数年,即使停止治疗,疗效依然持续,这与帕博利珠单抗另外两项5年随访研究KEYNOTE-001、KEYNOTE-002结果一致,且随着随访时间的延长,即使停止用药部分PR患者可转化为CR。免疫治疗的疗程问题一直是研究的热点,不同瘤种也就此问题进行了深入的研究和探讨,KEYNOTE-006研究似乎回答了大家的疑问,2年目前被认为是免疫治疗的最佳疗程,这一研究结果已被借用到其他瘤种治疗,坚持2年的足疗程用药对长期获益是十分必要的。对于PD-1首次应用有效,2年后疾病进展是否可以再次使用PD-1也有了答案,第二周期免疫治疗的疗效仍然很显著,为进展的患者提供了再次治疗的希望!

参考文献

5-Year survival and other long-term outcomes from the KENNOTE-006 study of pembrolizumab for ipilimumab-naïve advanced melanoma[R/OL]. 2019 AACR.               

41本肿瘤患者指南丛书

点击下方图片即可免费阅读


70个肿瘤相关临床试验招募患者


点击下方图片或识别图片二维码即可查看详情


登录查看更多
1

相关内容

Keynote 是一个演示幻灯片应用软件,由苹果电脑公司出品,运行于 OS X 操作系统。最早发布于 2003 年 1 月。 Keynote 现在与 Pages、Numbers 组成工具软件套装 iWork.
ACL2020接受论文列表公布,571篇长文208篇短文
专知会员服务
67+阅读 · 2020年5月19日
大数据安全技术研究进展
专知会员服务
96+阅读 · 2020年5月2日
专知会员服务
29+阅读 · 2020年3月6日
【学科交叉】抗生素发现的深度学习方法
专知会员服务
25+阅读 · 2020年2月23日
【上海交大】半监督学习理论及其研究进展概述
专知会员服务
71+阅读 · 2019年10月18日
Star-Transformer
Arxiv
5+阅读 · 2019年2月28日
Arxiv
5+阅读 · 2018年4月13日
Arxiv
7+阅读 · 2018年1月18日
VIP会员
Top
微信扫码咨询专知VIP会员