广东省疾病预防控制中心:新型冠状病毒R值为2.90和2.92,AI驱动算法成功预警武汉肺炎

2020 年 1 月 27 日 新智元



  新智元报道  

来源:柳叶刀等

编辑:张佳

【新智元导读】日前,国际顶尖期刊《柳叶刀》主编Richard Horton在推特上呼吁媒体不要夸大2019新型肺炎的危害,因为根据现在掌握的情况该新型病毒只有中等的传染性和较低的致病性,没必要夸大其词制造恐慌。今天分享关于新型冠状病毒的三篇新研究和AI驱动算法成功预警武汉肺炎的案例。戳右边链接上 新智元小程序 了解更多!


武汉肺炎来势汹汹,引发了全球的关注和担忧。


日前,国际顶尖期刊《柳叶刀》主编Richard Horton在推特上呼吁媒体不要夸大2019新型肺炎的危害,因为根据现在掌握的情况该新型病毒只有中等的传染性和较低的致病性,没必要夸大其词制造恐慌。



此外,《柳叶刀》(Lancet)特意开辟了一个关于新型冠状病毒的专栏,分享相关研究和社论。今天,我们选取其中两篇备受关注的研究论文和大家分享。



第一篇论文为遗传论文研究,统计一家七口感染者的感染情况。


研究显示:冠状病毒已经出现第四代传播,七口之家中已有六例感染;部分携带者感染后并无症状,他们可能在不知道自己被感染状态的情况下在社区内传播疾病。



第二篇论文从流行病学、临床表现、实验室检查、影像学特征、治疗和患者预后分析了2019年12月16日至2020年1月2日首批确诊的41例感染者。


研究显示:大部分感染者为青壮年和健康人,25-49岁感染者比例为49%;已经被2019-nCoV病毒(即新型冠状病毒)感染的危重患者,免疫系统已经出现致命的细胞因子风暴现象。

新型冠状病毒出现第四代传播,携带者可能无症状


第一篇研究聚焦一个七口之家,2019年12月29日至2020年1月4日,七口之家中的6人从深圳前往武汉。在前往武汉的6名家庭成员中,有5名被确定感染了新型冠状病毒。


只有一个7岁的孩子未被感染,其母亲表示,在武汉停留的大部分时间内孩子都戴着外科口罩。 


此外,一名未到武汉的家庭成员在与四名家庭成员接触几天后被该病毒感染。


暴露后3至6天,有5名家庭成员(年龄在36-66岁之间)出现发烧,上呼吸道或下呼吸道症状、腹泻或二者皆有。他们在症状发作后6-10天去香港大学深圳医院就诊。


一家七口感染记录


重要的是,另一名感染的10岁孩子并未表现出临床症状,这暗示携带者可能在不知道自己被感染状态的情况下在社区内传播疾病。


所有患者(包括无症状儿童)在胸部CT中均发现肺内磨玻璃影。其中,66岁的老人系统性症状更明显,包括肺内磨玻璃影更重、淋巴细胞减少、血小板减少、反应蛋白和乳酸脱氢酶水平升高。


对感染者鼻咽拭子采样,经RT-PCR检测对所有已知呼吸道微生物阴性。但5位家庭成员(4名成人和1名儿童)显示新型冠状病毒阳性。基因亲缘分析显示,其与在中华菊头蝠中发现的冠状病毒SARS具有相似性。


在武汉期间,这家人没有去过食品市场或与动物接触。作者认为,该家庭感染最有可能的原因是,这名65岁的妇女在武汉的医院探望1岁的亲属时感染了2019-nCoV,然后在7天的旅行中将其传播给了其他四名家庭成员,并在飞回深圳后,传播给了另外一位家庭成员。不过,当地卫生部门仍在对该家庭进行进一步的接触追踪。 


这个七口之家案例显示,冠状病毒已经出现第三代传播和第四代传播。而那名无任何症状的感染儿童意味着,虽然对已经表现症状的感染者采取措施,还有部分携带者可能在不知道自己被感染状态的情况下在社区内传播疾病。


“此前,这种新型冠状病毒在医院和家庭环境中出现人际传播(人传人),且其他国家报告了受感染旅客的病例,我们研究的发现与这些是一致的”。本研究的主持人、香港大学深圳医院的袁国勇教授说,“由于可能会出现无症状感染,控制新型冠状病毒的流行还依赖于隔离患者、尽早追踪和隔离接触者,对公众进行食品和个人卫生宣传教育,并确保医护人员遵守感染控制措施等。


大部分感染者为青壮年和健康人,重症感染者出现“细胞因子风暴”


第二篇论文聚焦2019年12月16日至2020年1月2日首批确诊的41例感染者,并从流行病学、临床表现、实验室检查、影像学特征、治疗和患者预后对他们进行了分析。



 研究结果显示,25-49岁患者占比为49%,50-64岁患者占比为34%,患者中位年龄49岁,多数去过华南海鲜市场(66%,27例),以男性为主(73%,30例)。 


与SARS一样,大多数感染者为健康人,仅有不到三分之一的病例有慢性疾病,例如糖尿病(20%,8例),高血压(15%,6例)和心血管疾病(15%,6例)。


 相似的,2019-nCoV感染患者也表现出较多临床症状。入院的所有患者均患有肺炎,大多数患者临床表现有发热(98%,40例),咳嗽(76%,31例)和疲劳(44%,18例)。超过一半的患者还出现呼吸困难(55%,22例),但头痛(8%,3例)和腹泻(3%,1例)少见。 


本研究的通讯作者,中日友好医院及首都医科大学的曹彬教授解释:“虽然有些症状与SARS相似(例如发热、干咳、呼吸困难),但是还有一些重要的区别,比如2019-nCoV感染患者不存在上呼吸道症状(例如流涕、打喷嚏、喉咙疼痛)和肠道症状(例如腹泻,见于20-25%SARS患者)”。


论文作者表示虽然41例感染者绝大部分去过华南海鲜市场(66%,27例),但感染的最初来源目前仍然不明,目前的研究表明,2019-nCoV很可能与中国马蹄蝠携带的冠状病毒密切相关


此外,在首批确诊的2019-nCoV重症感染者里面,大量的患者出现了“细胞因子风暴”(cytokine storm)。


此前非典,中东呼吸综合征和埃博拉病毒等感染疾病案例证明,细胞因子风暴才是真正的夺命杀手,可以触发免疫系统对身体的猛烈攻击。


注:细胞因子风暴(cytokine storm)是指机体感染微生物后引起体液中多种细胞因子如TNF-α、IL-1、IL-6、IL-12、IFN-α、IFN-β、IFN-γ、MCP-1和IL-8等迅速大量产生的现象,是引起急性呼吸窘迫综合症和多器官衰竭的重要原因。


广东省疾病预防控制中心新研究:新型冠状病毒R值为2.90和2.92


1月26日,广东省疾病预防控制中心(CDC)发表了一篇《2019年新型冠状病毒的传播动力学(2019-nCoV)》的研究(未经同行评审),研究显示:新型冠状病毒R值为2.90和2.92。


论文地址:https://www.biorxiv.org/content/10.1101/2020.01.25.919787v1


这项研究应用指数增长(EG)和最大似然估计(ML)估计2019-nCoV和SARS的基本传染数(R)。研究的主要发现:


1、2019-nCoV感染的平均潜伏期为4.8天。从症状发作到分离出2019-nCoV和SARS病例的平均时间分别为2.9天和4.2天。


2、使用EG和ML估计的2019-nCoV的R值分别为2.90(95%CI:2.32-3.63)和2.92(95%CI:2.28-3.67),而SARS-CoV的相应R值为1.77(95% CI:1.37-2.27)和1.85(95%CI:1.32-2.49)。


3、研究人员观察到从发作到隔离的时期以及2019-nCoV和SARS-CoV的R值都有下降的趋势。


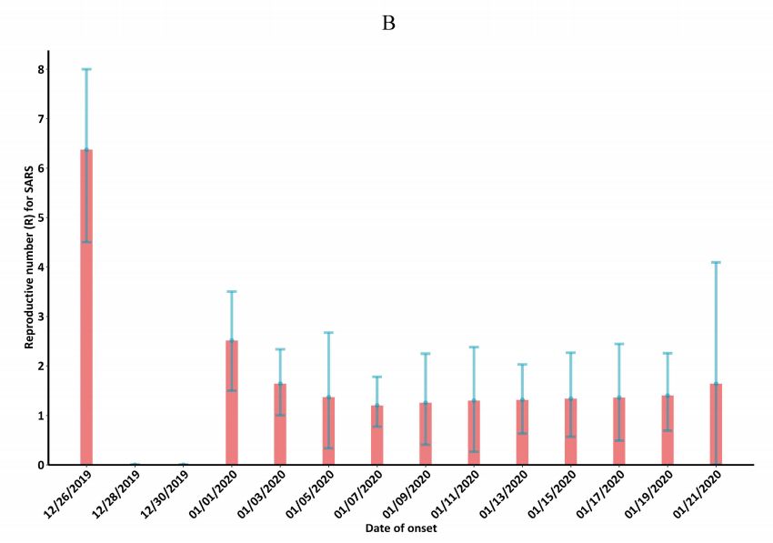
2019-nCoV的基本传染数(R)


SARS的基本传染数(R)


R是指平均一个传染者可以传给几个人。若R值为1,传染病初期会以指数增长方式散布,成为流行病。上面的图表将新型冠状病毒和2003年非典的R值进行比较:2019新型冠状病毒的R值为2.90和2.92,高于非典的1.77和1.85


AI驱动算法成功预警武汉肺炎


其实,AI在预防流行病爆发上也在发挥作用,加拿大的一个名叫BlueDot的健康监测就通过AI驱动的算法,在12月31日就早早向其客户发出了疫情的消息。


通过使用AI驱动的算法,可以搜索外语新闻报道、动植物疾病网络以及官方公告,以向其客户发出提前警告,以避开武汉等危险区域。



BlueDot的创始人兼首席执行官Kamran Khan表示,该算法不使用社交媒体发布内容,因为该数据太乱了。但是他们确实有一个窍门:访问全球机票数据,可以帮助预测下一个受感染居民的去向和时间。它正确预测该病毒在首次出现后的几天内将从武汉传播到曼谷、汉城、台北和东京。


“我们所做的是使用自然语言处理和机器学习来训练该引擎进行识别。”Khan说:“一旦完成自动数据筛选,人工分析就将接手。流行病学家从科学的角度检查得出的结论是否合理,然后将报告发送给政府,企业和公共卫生客户。”

写在最后:疫情告急,举国之力都在行动,科学家们正在抓紧研制特效药,中国科学院两上海团队发现30种可能应对新型肺炎药品,中国超算也在做抵抗新型冠状病毒的药物筛选和病毒突变预测上贡献力量,中国疾控中心正在研发新型冠状病毒疫苗,所以大家不要恐慌,相信我们众志成城一定能够战胜这次疫情。


参考链接:

https://www.wired.com/story/ai-epidemiologist-wuhan-public-health-warnings/

https://tech.ifeng.com/c/7tXm6KKqji4


2020,新智元继续与您一起探索🐹于你的AI新天地!AI技术干货,B站风格直播,就在新智元We站小程序!AI🐹你,新智元祝您2020新春快乐!🐹🐹

登录查看更多
0

相关内容

2019新型冠状病毒 (Novel coronavirus),为新兴传染病“严重特殊传染性肺炎”病原,由世界卫生组织命名为2019-nCoV,又名武汉冠状病毒(Wuhan coronavirus)、武汉肺炎(Wuhan pneumonia)等,是一种具有包膜的正链单股RNA冠状病毒。2019-2020年新型冠状病毒肺炎事件爆发期间,研究人员在对肺炎阳性患者样本进行核酸检测以及基因组测序后发现了这一病毒。 https://zh.wikipedia.org/wiki/2019%E6%96%B0%E5%9E%8B%E5%86%A0%E7%8B%80%E7%97%85%E6%AF%92
计算机视觉用于新冠病毒COVID-19的控制综述,25页pdf
专知会员服务
53+阅读 · 2020年4月22日
【ICMR2020】持续健康状态接口事件检索
专知会员服务
18+阅读 · 2020年4月18日
专知会员服务
29+阅读 · 2020年3月6日
广东疾控中心《新型冠状病毒感染防护》,65页pdf
专知会员服务
19+阅读 · 2020年1月26日
Science:脂肪细胞外泌体对巨噬细胞发挥调节功能
外泌体之家
19+阅读 · 2019年3月7日
华为和其“公关危机”下的5G发布会
1号机器人网
7+阅读 · 2019年1月27日
苦尽甘来:AI为更有效地治疗抑郁症带来希望
英伟达NVIDIA中国
10+阅读 · 2018年3月1日
Arxiv
4+阅读 · 2019年12月2日
Arxiv
26+阅读 · 2019年3月5日
Arxiv
6+阅读 · 2018年10月3日
W-net: Bridged U-net for 2D Medical Image Segmentation
Arxiv
20+阅读 · 2018年7月12日
VIP会员
Top
微信扫码咨询专知VIP会员