适用于少量数据的深度学习结构

2020 年 8 月 15 日 AINLP

作者:Gorkem Polat

编译:ronghuaiyang

导读

一些最常用的few shot learning的方案介绍及对比。


传统的CNNs (AlexNet, VGG, GoogLeNet, ResNet, DenseNet…)在数据集中每个类样本数量较多的情况下表现良好。不幸的是,当你拥有一个小数据集时,它们通常不能很好地工作。但是,在许多真实的场景中,收集数据是很有挑战性的。例如,在人脸识别系统中,通常每个人的图像都很少,或者在医学领域中,一些罕见疾病的病例也很有限。

那么,当你的类别中只有5个样本,甚至每个类别只有一个样本时,深度学习能提供什么呢?这个问题被称为few-shot learning。这是一个活跃的研究领域,有许多成功的方法可以采用。在本文中,我将只提到一些最有前途的体系结构。

这篇文章不会深入地解释架构,因为这会使文章变得很长。相反,我将只介绍架构的主要思想,以便任何希望处理小数据集的人都可以对模型有一个大致的了解。

Siamese Neural Networks

Siamese Neural Networks的结构

Siamese神经网络以两个样本作为输入,输出给定输入是否属于同一类的概率(或损失)。输入样本通过相同的网络(共享权值),它们的嵌入在损失函数中进行比较(通常使用基于嵌入的差异的度量)。在训练过程中,“网络”学会以更稳健的方式对输入进行编码。首先,在支持集(验证步骤)上对模型进行训练,以学习相同/不同的配对。然后,将测试样本与训练集中的每个样本进行比较,得到基于学习的编码后的测试样本与每个类(one-shot task)的相似度。它是在few-shot学习领域中第一个成功的模型之一,并成为其他模型的基础。

Siamese Neural Networks的步骤

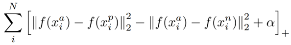
Triplet Network and Triplet Loss

Triplet Networks

Triplet Network是对Siamese 网络的扩展。Triplet网络不使用两个样本,而是使用三个样本作为输入:positiveanchornegative样本。Positive样本和anchor样本来自同一类,negative样本来自不同类。Triplet损失的安排使得anchor的嵌入靠近positive而远离negative。通过这种方式,网络在提取嵌入信息时变得更加健壮。Triplet Networks已应用于人脸识别数据集,显示出非常好的性能。

Triplet Loss

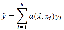
Matching Networks

Matching Networks

匹配网络将嵌入和分类相结合,形成端到端可微的最近邻分类器。对于模型的预测,是标签的加权和,yᵢ是训练集。权重是成对相似性函数a(𝑥̂, xᵢ),查询(测试)样本和支持(训练)样本之间的相似性。匹配网络的关键是相似函数的可微性。

其中C代表了余弦相似度函数,k是在训练集中的样本总数,函数f* g是嵌入函数。总体而言,在测试样本𝑥̂的嵌入和训练集样本xᵢ的嵌入之间计算相似性。这个工作的主要创新点就是对嵌入函数优化得到最大的分类精度。

Prototypical Networks

Prototypical Networks

原型网络不将测试样本与所有训练样本进行比较,而是将测试样本与类原型(或平均类嵌入)进行比较。其关键假设是对于每个类别,存在一个嵌入,簇样本的表示是分布在这个原型的嵌入cₖ的周围的。在他们的论文中,证明了它的性能优于匹配网络。

Meta-Learning

模型不可知Meta-Learning

元学习意味着学会学习。元学习试图训练模型的参数,使其通过一个或多个梯度步骤(像人类一样)在新任务中表现最佳。模型的参数根据更新后的特定于任务的参数进行更新,使得任何任务在完成单一步骤后,其性能都是最高的。

与模型无关的元学习(MAML)的目的是学习一个通用的模型,这个模型可以很容易地对许多任务进行微调,只需要几个迭代步骤。对于元批处理中的每个任务,使用基模型的权重初始化一个模型。采用随机梯度下降(SGD)算法更新特定任务的权值。然后,使用更新后权重的损失总和来更新元学习者的权重。这里的目标是,对于几个不同的任务,这些参数的损失将会很小。

模型不可知Meta-Learning算法

Bonus: MetaFGNet

MetaFGNet

除了目标任务网络外,MetaFGNet还使用辅助数据训练网络。这两个网络共享初始层(基础网络)以学习一般信息。这种方法也被称为多任务学习。将辅助数据(S)与目标数据(T)进行训练,对目标训练产生正则化效果。MetaFGNet还使用了一个名为sample selection的过程。辅助数据中的样本通过网络,对目标分类器的相似度打分,同时也计算源分类器。如果相似性高,得分也会高。只选择得分阈值以上的样本进行训练。这里主要假设辅助数据S应该具有与目标集T类似的分布。结果表明,该过程提高了整体性能。使用元学习方法进行训练效果有提升。


END

英文原文:https://medium.com/swlh/deep-learning-architectures-that-you-can-use-with-a-very-few-data-8e5b4fa1d5da




欢迎加入AINLP技术交流群
进群请添加AINLP小助手微信 AINLPer(id: ainlper),备注NLP技术交流


推荐阅读

这个NLP工具,玩得根本停不下来

征稿启示| 200元稿费+5000DBC(价值20个小时GPU算力)

完结撒花!李宏毅老师深度学习与人类语言处理课程视频及课件(附下载)

从数据到模型,你可能需要1篇详实的pytorch踩坑指南

如何让Bert在finetune小数据集时更“稳”一点

模型压缩实践系列之——bert-of-theseus,一个非常亲民的bert压缩方法

文本自动摘要任务的“不完全”心得总结番外篇——submodular函数优化

Node2Vec 论文+代码笔记

模型压缩实践收尾篇——模型蒸馏以及其他一些技巧实践小结

中文命名实体识别工具(NER)哪家强?

学自然语言处理,其实更应该学好英语

斯坦福大学NLP组Python深度学习自然语言处理工具Stanza试用

关于AINLP

AINLP 是一个有趣有AI的自然语言处理社区,专注于 AI、NLP、机器学习、深度学习、推荐算法等相关技术的分享,主题包括文本摘要、智能问答、聊天机器人、机器翻译、自动生成、知识图谱、预训练模型、推荐系统、计算广告、招聘信息、求职经验分享等,欢迎关注!加技术交流群请添加AINLPer(id:ainlper),备注工作/研究方向+加群目的。


阅读至此了,分享、点赞、在看三选一吧🙏

登录查看更多
0

相关内容

最新《图神经网络实用指南》2020论文,28页pdf
专知会员服务
222+阅读 · 2020年10月17日
专知会员服务
33+阅读 · 2020年10月2日
深度学习目标检测方法综述
专知会员服务
280+阅读 · 2020年8月1日
专知会员服务
101+阅读 · 2020年7月20日
深度学习目标检测方法及其主流框架综述
专知会员服务
148+阅读 · 2020年6月26日
【CVPR2020-北京大学】自适应间隔损失的提升小样本学习
专知会员服务
85+阅读 · 2020年6月9日
【伯克利-滴滴出行】深度学习多源领域自适应综述论文
专知会员服务
54+阅读 · 2020年2月28日
科研人员提出海量虚拟数据生成新方法
中科院之声
6+阅读 · 2019年9月25日
从数据结构到算法:图网络方法初探
机器之心
7+阅读 · 2019年8月12日
虚拟对抗训练:一种新颖的半监督学习正则化方法
人工智能前沿讲习班
8+阅读 · 2019年6月9日
实战经验分享-少量数据NLP场景下进行深度学习训练的建议
简述多种降维算法
算法与数学之美
11+阅读 · 2018年9月23日
从手工提取特征到深度学习的三种图像检索方法
迁移学习在深度学习中的应用
专知
24+阅读 · 2017年12月24日
[学习] 这些深度学习网络调参技巧,你了解吗?
菜鸟的机器学习
7+阅读 · 2017年7月30日
Arxiv
0+阅读 · 2020年10月13日
Arxiv
0+阅读 · 2020年10月12日
Arxiv
13+阅读 · 2019年1月26日
Meta-Transfer Learning for Few-Shot Learning
Arxiv
8+阅读 · 2018年12月6日
Arxiv
3+阅读 · 2018年8月27日
Arxiv
11+阅读 · 2018年7月8日
VIP会员
相关VIP内容
最新《图神经网络实用指南》2020论文,28页pdf
专知会员服务
222+阅读 · 2020年10月17日
专知会员服务
33+阅读 · 2020年10月2日
深度学习目标检测方法综述
专知会员服务
280+阅读 · 2020年8月1日
专知会员服务
101+阅读 · 2020年7月20日
深度学习目标检测方法及其主流框架综述
专知会员服务
148+阅读 · 2020年6月26日
【CVPR2020-北京大学】自适应间隔损失的提升小样本学习
专知会员服务
85+阅读 · 2020年6月9日
【伯克利-滴滴出行】深度学习多源领域自适应综述论文
专知会员服务
54+阅读 · 2020年2月28日
相关资讯
科研人员提出海量虚拟数据生成新方法
中科院之声
6+阅读 · 2019年9月25日
从数据结构到算法:图网络方法初探
机器之心
7+阅读 · 2019年8月12日
虚拟对抗训练:一种新颖的半监督学习正则化方法
人工智能前沿讲习班
8+阅读 · 2019年6月9日
实战经验分享-少量数据NLP场景下进行深度学习训练的建议
简述多种降维算法
算法与数学之美
11+阅读 · 2018年9月23日
从手工提取特征到深度学习的三种图像检索方法
迁移学习在深度学习中的应用
专知
24+阅读 · 2017年12月24日
[学习] 这些深度学习网络调参技巧,你了解吗?
菜鸟的机器学习
7+阅读 · 2017年7月30日
相关论文
Arxiv
0+阅读 · 2020年10月13日
Arxiv
0+阅读 · 2020年10月12日
Arxiv
13+阅读 · 2019年1月26日
Meta-Transfer Learning for Few-Shot Learning
Arxiv
8+阅读 · 2018年12月6日
Arxiv
3+阅读 · 2018年8月27日
Arxiv
11+阅读 · 2018年7月8日
Top
微信扫码咨询专知VIP会员