《DA Sequence Labeling using Hierarchical encoder with CRF》阅读笔记

2018 年 4 月 17 日 极市平台 那啥那小谁

↑ 点击蓝字关注极市平台 识别先机 创造未来


来源:学习ML的皮皮虾

           https://zhuanlan.zhihu.com/p/35421555

论文来源:AAAI2018

论文地址:https://arxiv.org/pdf/1709.04250.pdf



本文要解决的问题主要是对话动作的识别问题,对话动作(Dialogue Acts ,简称DA)是指在对话中说话人在说这些话语时的意图。 DA的识别简化了对话语的解释,能够帮助机器理解对话。


DAs的主要应用之一是用来构建一个自然语言对话系统,了解DA过去的话语有助于对当前的话语预测走向,从而当前回合生成的话语添加了限制条件。


例如,如果之前的话语是问候类型,那么下一个话语最有可能是相同类型的,即问候语。下图展示的一个会话片段,显示了这些DA之间的依赖关系。



本文将DA识别的问题看做为一个序列标注的问题,通过采用bi-lstm作为基础单元的层级RNN网络提取特征(词级别,话语级别,会话级别,个人认为这里因为多轮对话本身相对丰富的原因无字符级别),顶层通过CRF层将每个话语识别为对应的DA。


采用CRF作为输出层的原因是不仅能够捕捉到语句之间的依存关系,还能够兼顾到DA之间的依存关系(作者论文的立足点)。实验证明在Switchboard和Meeting Recorder Dialogue Act数据及上分别比SoTA提高了2.2%,4.1%。


本文的主要贡献:


  1. 采用了一个层级的Bi-LSTM-CRF模型,同时捕捉DA和话语之间的依存关系;


  2. 在两个数据及上做了对比,其中一个数据集上已经很接近人工标注了;


  3. 分别做了加入语言特征和intra-attention加入原始文本的方法,实验结果显示除了收敛速度加快对模型提升并没有什么用。


Models

 


整个回话可以被看做一个非常长的词链,这样会带来在极限长度下的题图消失/爆炸问题。为了消除这个问题,本文采用了层级的递归编码。


编码器第一层采用Bi-LSTM对话语中的每个单词进行编码,通过一个LastPooling(最后一个节点的隐层神经元状态理论上编码了完全的的句子语义),输入第二个Bi-LSTM层作为对话层级的编码,并将其输出作为CRF层的输入,以捕捉标签间的依赖关系,同时捕捉话语和DA标签间的依存关系。


  • Hierarchical Recurrent Encoder

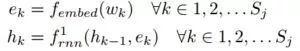
对于每个话语包含的单词,进行如下操作:



其中, 表示embedding层,用每个时间步双向的RNN拼接而成, 表示层级编码器的utterance-level 层,作者提到理想情况下embedding层能够获得更细粒度的表示,所以在此就没有加入字符级别或者词根级别的信息。


每个话语的表示 获得的方式有很多种,例如average-pooling, max-pooling等。这里采用的是last-pooling,如上文提到的原因,最后一个节点的隐层神经元状态理论上编码了完全的的句子语义。


得到之后,再将他通过另一个bi-LSTM层获得每个话语的另一个表示,并将其输入到最后的分类层:



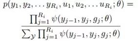
  • Linear Chain CRF

为了捕捉DA标签之间的依存关系,采用了线性链CRF,给出标签预测的概率:



其中,  是之前第二层获得的向量表示,  是特征方程,提供unary and pairwise potential。对数似然函数:



Experiments

 

  • Datasets:MRDA SwDA5


  • Hyperparameter Tuning



从模型对比可以看出,比SoTA提高了2.2%。



上图中,行表示真正的标签,列表示预测的标签。文中提到通过上图的标签分析,一部分原因是ground truth 中的bias,一部分是标注者的主观判断。


  • Effect of Hierarchy and Label Dependency



从上表中可以清晰地看出每一层对最终结果的贡献。


  • Effect of Linguistic Features and Context



语言特征和文本信息在之前的一些研究中都对模型效果的提升产生了一定的贡献。但在这个实验中加入之后并没有产生预期的效果,作者认为本文中的模型已经学到了大多数需要的信息。


Conclusion

 

本文显示了模型迁移在不同问题上的强大作用,通过丰富的对比试验来证明模型有效性的方法也值得我们学习。




*推荐文章*

PS.极市平台正寻求与开发者视觉算法的合作,欢迎联系小助手(微信:Extreme-Vision)沟通合作~   填写表单http://form.mikecrm.com/wcotd9,即可加入极市CV开发者群,与CV大牛切磋交流~



登录查看更多
1

相关内容

条件随机域(场)(conditional random fields,简称 CRF,或CRFs),是一种判别式概率模型,是随机场的一种,常用于标注或分析序列资料,如自然语言文字或是生物序列。 如同马尔可夫随机场,条件随机场为具有无向的图模型,图中的顶点代表随机变量,顶点间的连线代表随机变量间的相依关系,在条件随机场中,随机变量 Y 的分布为条件机率,给定的观察值则为随机变量 X。原则上,条件随机场的图模型布局是可以任意给定的,一般常用的布局是链结式的架构,链结式架构不论在训练(training)、推论(inference)、或是解码(decoding)上,都存在效率较高的算法可供演算。
【MIT深度学习课程】深度序列建模,Deep Sequence Modeling
专知会员服务
78+阅读 · 2020年2月3日
六篇 EMNLP 2019【图神经网络(GNN)+NLP】相关论文
专知会员服务
72+阅读 · 2019年11月3日
笔记 | Deep active learning for named entity recognition
黑龙江大学自然语言处理实验室
24+阅读 · 2018年5月27日
Hierarchical Imitation - Reinforcement Learning
CreateAMind
19+阅读 · 2018年5月25日
基础 | 一文轻松搞懂-条件随机场CRF
黑龙江大学自然语言处理实验室
16+阅读 · 2018年3月24日
干货|从LSTM到Seq2Seq
全球人工智能
15+阅读 · 2018年1月9日
完全图解RNN、RNN变体、Seq2Seq、Attention机制
AI研习社
12+阅读 · 2017年9月5日
干货|完全图解RNN、RNN变体、Seq2Seq、Attention机制
机器学习研究会
12+阅读 · 2017年8月5日
RNN | RNN实践指南(1)
KingsGarden
21+阅读 · 2017年4月4日
Arxiv
6+阅读 · 2019年9月25日
Arxiv
5+阅读 · 2018年5月10日
Arxiv
13+阅读 · 2017年12月5日
VIP会员
相关VIP内容
【MIT深度学习课程】深度序列建模,Deep Sequence Modeling
专知会员服务
78+阅读 · 2020年2月3日
六篇 EMNLP 2019【图神经网络(GNN)+NLP】相关论文
专知会员服务
72+阅读 · 2019年11月3日
相关资讯
笔记 | Deep active learning for named entity recognition
黑龙江大学自然语言处理实验室
24+阅读 · 2018年5月27日
Hierarchical Imitation - Reinforcement Learning
CreateAMind
19+阅读 · 2018年5月25日
基础 | 一文轻松搞懂-条件随机场CRF
黑龙江大学自然语言处理实验室
16+阅读 · 2018年3月24日
干货|从LSTM到Seq2Seq
全球人工智能
15+阅读 · 2018年1月9日
完全图解RNN、RNN变体、Seq2Seq、Attention机制
AI研习社
12+阅读 · 2017年9月5日
干货|完全图解RNN、RNN变体、Seq2Seq、Attention机制
机器学习研究会
12+阅读 · 2017年8月5日
RNN | RNN实践指南(1)
KingsGarden
21+阅读 · 2017年4月4日
Top
微信扫码咨询专知VIP会员