黑客帝国「缸中之脑」有眉目了?培养皿中百万人脑细胞学会打乒乓球,仅用了5分钟

2021 年 12 月 20 日 机器之心
机器之心报道
编辑:张倩、杜伟
既然生物神经元如此高效,为什么不拿来用呢?


最新版本的《黑客帝国》还有两天才会上映,但最近的一些科技进展总让我们觉得,导演描述的世界似乎离我们越来越近了。

其中一个进展来自前段时间 Epic Games 放出的一段游戏 demo——《黑客帝国觉醒》 。在这段 demo 中,技术人员利用虚幻引擎 5 创造了一个虚拟的电影世界,人物、场景都高度逼真,网友看后高呼:还想再活 100 年!


这个 demo 让我们看到了计算机软硬件的力量,它们可以在极短的时间里渲染出大量的虚拟场景,驱动成百上千的人物和车辆。

但计算机再厉害,在很多方面仍然比不上人类神经元,比如能耗、学习效率等方面。于是就有研究者提出:既然人类神经元那么高效,为什么不拿来用呢?

澳大利亚生物科技初创公司 Cortical Labs 一直都持有这种想法。早在两年前就有媒体报道称,这家公司正致力于把真正的生物神经元嵌入到一个特殊的计算机芯片中,构成一个微型的体外大脑。他们希望这些合成迷你大脑能够在消耗较少能量的同时,完成很多人工智能软件可以执行的任务。

他们使用两种方法来制造硬件:或从胚胎中提取小鼠神经元,或使用某种技术将人类的皮肤细胞逆向转化为干细胞,然后诱导它发育成人类神经元。

当时,该公司的联合创始人兼首席执行官钟宏文(Hon Weng Chong)说,开发人员正尝试教迷你大脑玩雅达利经典乒乓游戏 Pong。


两年过去,他们果然做到了:在该公司实验室的培养皿里,上百万个人类大脑细胞组成的「迷你大脑」正乐此不疲地玩乒乓。


这些细胞玩的是一个简易版的 Pong,没有对手。它们的下面是一些微电极阵列。「我们认为把它们叫做『半机械脑(cyborg brain)』非常合适。」Cortical Labs 的首席科学官 Brett Kagan 表示。

在游戏启动后,系统会向微电极阵列的左边或右边发送电子信号来指示球的位置。迷你大脑则会激发自己的神经元,根据球的位置来回移动球拍。

Brett Kagan 等人还给这个系统取了个名字——「DishBrain(碟脑)」。这使人联想到了《黑客帝国》等电影中描述的缸中之脑。

「缸中之脑」是希拉里 · 普特南(Hilary Putnam)1981 年在他的《理性,真理与历史》(Reason、Truth、and History)一书中阐述的假想:「一个人(可以假设是你自己)被邪恶科学家施行了手术,他的脑被从身体上切了下来,放进一个盛有维持脑存活营养液的缸中。脑的神经末梢连接在计算机上,这台计算机按照程序向脑传送信息,以使他保持一切完全正常的幻觉。对于他来说,似乎人、物体、天空还都存在,自身的运动、身体感觉都可以输入。这个脑还可以被输入或截取记忆(截取掉大脑手术的记忆,然后输入他可能经历的各种环境、日常生活)。他甚至可以被输入代码,『感觉』到他自己正在这里阅读一段有趣而荒唐的文字。」

电影《黑客帝国》中呈现的「缸中之脑」。

「我们经常说,它们就好像生活在《黑客帝国》里。在打乒乓游戏的时候,它们相信自己就是球拍。」 Kagan 说道。

在学习效率方面,DishBrain 的表现令人满意,仅用 5 分钟就掌握了游戏,比 AI 学习速度(90 分钟)快得多,但后面还是会输给 AI。

「我们的研究结果表明,在模拟的游戏世界中,一层体外皮层神经元可以自组织并表现出智能、有感知的行为。」Kagan 表示。

相关研究可以在预印本平台 bioRxiv 上读到。


论文链接:https://www.biorxiv.org/content/10.1101/2021.12.02.471005v2.full

除了 Cortical Labs,国内外很多实验室也在做类似的研究。8 月,德国科学家公布了他们实验室培育出的大脑,这些大脑能发展自己的基本眼睛结构来感知光线,并与大脑的其他部分进行交流。德国杜塞尔多夫大学人类遗传学研究所的研究人员则使用干细胞培养出了视杯(optic cups),这是眼睛形成的早期阶段,在胎儿大约五周时发育。

DishBrain 系统如何运作

DishBrain 系统利用神经元的固有属性来共享彼此之间的脑电(突触)活动『语言』,以通过电刺激和记录将硅和 BNN 系统连接起来。鉴于硬件与细胞、湿件(wetware)的兼容性,智能系统中的感知行为需要两个相互关联的过程。

因此,该系统首先必须了解外部状态如何通过感知来影响内部状态,以及内部状态如何通过行动影响外部状态。然后,该系统必须基于感官状态来推断它何时应该采取特定行为。简而言之,系统必须能够预测其行为如何影响环境。

为了解决第一个问题,研究者开发了一个自定义软件驱动器来创建低延迟闭环反馈系统,该系统通过电刺激来模拟与 BNN 环境的交换。该闭环系统通过提供关于细胞培养行为因果效应的反馈,提供了体外培养具身(embodiment),而这又需要内部与外部状态的分离。以往的体外和硅研究表明,电生理闭环反馈系统展现出了显著的网络可塑性和潜在的行为适应性,超出了开环系统所能实现的。

研究者在活体内发现了对具身和功能行为之间关联的进一步支持,其中通过解耦视觉反馈和运动输出破坏闭环系统会破坏小鼠初级视觉皮层中视觉处理的功能发育。这有力地支持了生物神经网络中反馈与功能行为最终发育之间存在着重要关联。

下图为 DishBrain 系统原理和实验示意图。如图左上所示,神经元培养物有两个来源,要么是通过双重 SMAD 抑制和 NGN2 慢病毒属定向分化形成的人类诱导性多能干细胞(iPSC),要么是 E15.5 小鼠胚胎的初级脑皮层细胞,它们被移植到 HD-MEA 芯片上,并通过 DishBrain 系统嵌入到受激的『pong』游戏世界。

此外,研究者还利用 DishBrain 系统演示了如下操作:

  • 低延迟闭环反馈系统(刺激 STIM 和沉默 SIL 两种状态);

  • 无反馈系统,用于展示开环(Open-loop)反馈装置;

  • 休息 RST 装置,用于展示缺少感官信息时的系统。


DishBrain system and experimental protocol schematic.

下图 A 为 DishBrain 装置的概览图。此外,DishBrain 环境是一个与 MaxOne 软件交互的低延迟实时系统,使得应用时可以扩展其原始功能,下图 B 即为 DisBrain 闭环系统中的软件组件和数据流。


DishBrain 系统可以记录神经细胞培养中的脑电活动,并以类似于通过内部电刺激产生动作电位的方式提供外部(非侵入性)电刺激。使用方法中描述的编码方案,外部电刺激传达了一系列信息,包括可预测的、随机或感官信息。具体如下图 A 所示。

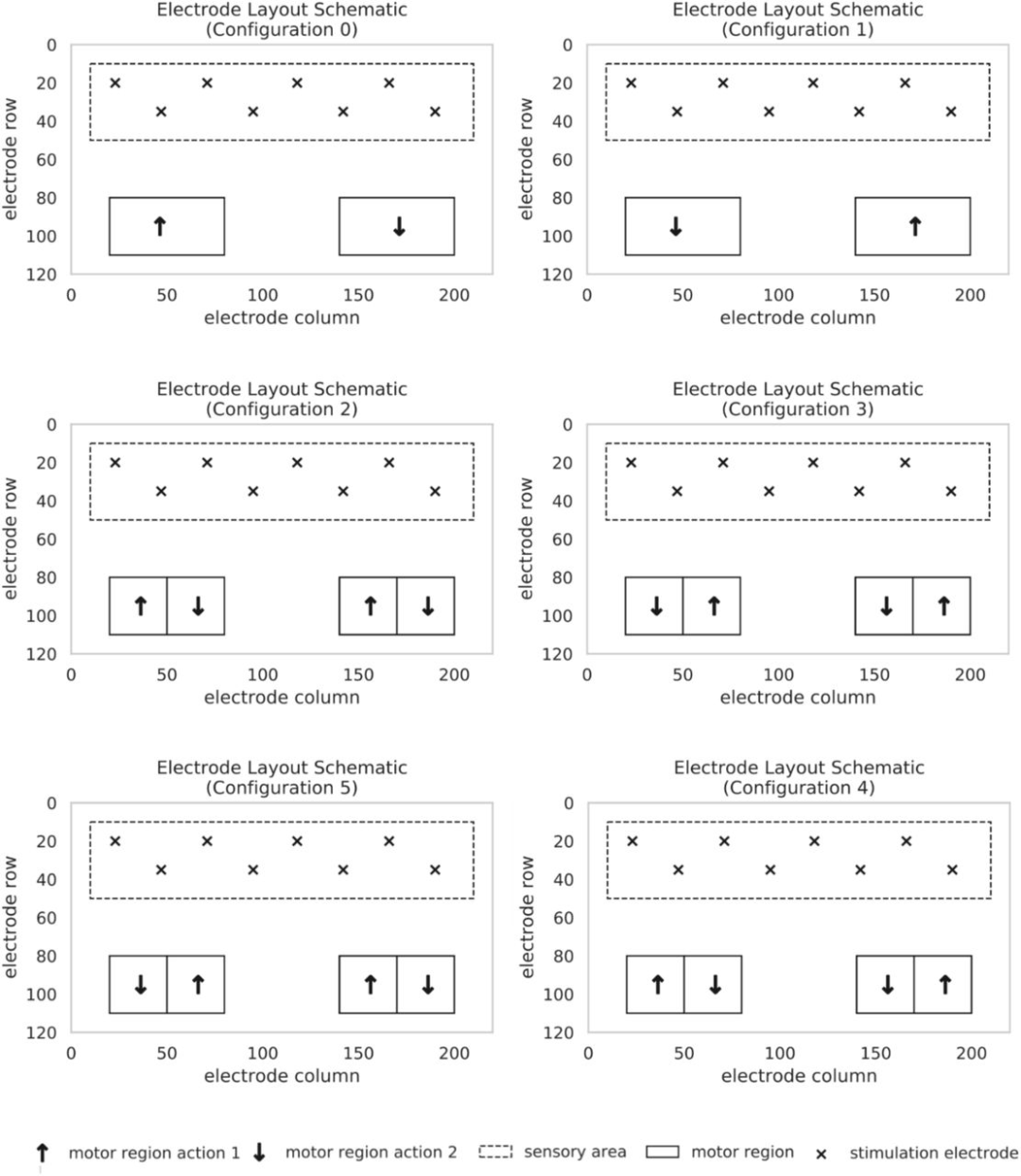
这种设置使得不仅能够从神经培养中『读取』信息,还能将感官数据『写入』其中。使用 DishBrain 的最初原理证明是为了通过向预定义的感官区域提供输入来模拟经典街机游戏『pong』。同样地,研究者通过实时收集预定义运动趋于的电生理活动来移动球拍。初步调查使用 EXP3 算法对比了不同的运动区域配置,旨在通过选择实现更高击中率的设置来确定神经培养是否在特定配置下生成成功率更高的活动。与 media-only 控制相比,实验培养物对不同配置具有明显的偏好,具体如下图 B 所示。

media-only 控制对最大化偏置时的配置具有偏好,其中单独的感官刺激可以引导游戏实现更高的性能(之后)。实验培养物则对侧抑制的配置具有偏好,具体如下图 C 所示。


下图为 DisBrain 平台的不同配置示意图:


研究团队

Cortical Labs 由钟宏文(中)和 Andy Kitchen(左二)等人联合创建。


钟宏文是一名注册医师和软件工程师,曾就读于约翰霍普金斯大学信息学系,他利用自己丰富的经验和多学科背景促进生物学和计算机科学领域的合作。除了担任 Cortical Labs 的 CEO,钟宏文还曾参与创建医疗硬件公司 CliniCloud 并担任该公司 CTO。

Andy Kitchen 则是一名计算机科学家、研究员和软件工程师,已经发表了几篇关于人工智能的同行评议论文。除了参与创办 Cortical Labs,他还是一位长期的社区组织者,也是备受尊敬的 Melbourne ML/AI Meetup 的创始人,该 Meetup 有超过 6000 名成员。

参考链接:https://corticallabs.com/
https://www.biorxiv.org/content/10.1101/2021.12.02.471005v2.full
https://www.timedoo.com/19277.html
https://www.dailymail.co.uk/sciencetech/article-10322247/Human-brain-cells-grown-petri-dish-learn-play-Pong-faster-AII.html



© THE END 

转载请联系本公众号获得授权

投稿或寻求报道:content@jiqizhixin.com

登录查看更多
0

相关内容

【PAISS 2021 教程】概率散度与生成式模型,92页ppt
专知会员服务
34+阅读 · 2021年11月30日
专知会员服务
38+阅读 · 2021年5月29日
《行为与认知机器人学》,241页pdf
专知会员服务
54+阅读 · 2021年4月11日
【Cell 2020】神经网络中的持续学习
专知会员服务
62+阅读 · 2020年11月7日
黑客帝国「上映」了,是用虚幻引擎5在PS5上跑的
机器之心
0+阅读 · 2021年12月11日
国家自然科学基金
0+阅读 · 2014年12月31日
国家自然科学基金
0+阅读 · 2013年12月31日
国家自然科学基金
0+阅读 · 2012年12月31日
国家自然科学基金
0+阅读 · 2012年12月31日
国家自然科学基金
0+阅读 · 2012年12月31日
国家自然科学基金
0+阅读 · 2012年12月31日
国家自然科学基金
0+阅读 · 2012年12月31日
国家自然科学基金
0+阅读 · 2008年12月31日
Arxiv
0+阅读 · 2022年4月17日
Arxiv
13+阅读 · 2022年4月12日
VIP会员
相关基金
国家自然科学基金
0+阅读 · 2014年12月31日
国家自然科学基金
0+阅读 · 2013年12月31日
国家自然科学基金
0+阅读 · 2012年12月31日
国家自然科学基金
0+阅读 · 2012年12月31日
国家自然科学基金
0+阅读 · 2012年12月31日
国家自然科学基金
0+阅读 · 2012年12月31日
国家自然科学基金
0+阅读 · 2012年12月31日
国家自然科学基金
0+阅读 · 2008年12月31日
Top
微信扫码咨询专知VIP会员